Главы 12-14 стр 420-508 (559886), страница 3
Текст из файла (страница 3)
Необходимость срочной эвакуации определяется также тем обстоятельством, что пожары могут сопровождаться взрывами, деформациями и обрушением конструкций, вскипанием и выбросом различных жидкостей, в том числе легковоспламеняющихся и сильно ядовитых.
К открытым относятся пожары газовых и нефтяных фонтанов, складов древесины, пожары на открытых технологических установках, лесные, степные, торфяные пожары, пожары на складах каменного угля и др.
Общей особенностью всех открытых пожаров является отсутствие накопления теплоты в газовом пространстве. Теплообмен происходит с неограниченным окружающим пространством. Газообмен не ограничивается конструктивными элементами зданий и сооружений, он более интенсивен. Процессы, протекающие на открытых пожарах, в значительной степени зависят от интенсивности и направления ветра.
Зона горения на открытом пожаре в основном определяется распределением горючих веществ в пространстве и формирующими зону горения газовыми потоками. Зона теплового воздействия - в основном лучистым тепловым потоком, так как конвективные тепловые потоки уходят вверх и мало влияют на зону теплового воздействия на поверхности земли. За исключением лесных и торфяных пожаров зона задымления на открытых пожарах несущественно препятствует тушению пожаров. В среднем максимальная температура пламени открытого пожара для горючих газов составляет 1200-1350, для жидкостей - 1100-1300 и для твердых горючих материалов органического происхождения -1100-1250°С.
Оценка поражающих факторов ЧС при пожарах. Возможность возгорания конструкций и материалов под действием потоков горячего воздуха и лучистого излучения пожара, а также безопасное удаление сооружений и людей от очага пожара являются главными показателя. МИ, характеризующими обстановку при ЧС.
При открытых пожарах главным источником распространения пожара является лучистый теплообмен. Плотность лучистого теплового потока Qл (Вт/м2) зависит от большого числа факторов, характеризующих как сам процесс формирования теплового излучения, так и его воздействие на окружающие тела. Учесть каждый из этих факторов в аналитическом выражении, описывающем процесс теплообмена, не представляется возможным, поэтому при проведении расчетов учитываются только основные из них. Расчеты проводятся по формуле (6.1) при значении параметров, приведенных ниже.
Взаимное размещение факела пламени и облучаемого тела учитывается с помощью коэффициента ψ. Значение этого коэффициента зависит от формы и размеров факела пламени, а также от расположения облучаемой поверхности по отношению к факелу пламени.
Для упрощения процедуры определения значения ψ может быть использован график, приведенный на рис. 12.1.
Вычисляемое по уравнению (6.1) значение плотности теплового потока существенно зависит от продолжительности воздействия. Минимально необходимая для возгорания материала плотность теплового излучения, воздействующая на тело в течение определенного времени, называется критической (Qл.кр.) и определяется в лабораторных экспериментах. В табл. 12.1 приведены значения Qл.кр. для различных материалов при продолжительности воздействия 3,5 и 15 мин.
Рис. 12.1. Графики зависимости ψ от а, Ь (линейные размеры факела пламени) и r (расстояние до точки возгорания)
Т а б л и ц а 12.1. Значения критической плотности теплового потока, Вт/м2
Сравнение значений Qл.кр., полученных расчетом по формуле (6.1) с данными из табл. 12.1, позволяет сделать вывод о возможности возгорания за заданное время или определить безопасные расстояния от очага пожара при заданном времени воздействия.
Взрыв: физико-химические основы, виды ВВ, пожаровзрывоопасость технологических процессов на производстве.
Взрыв - быстро протекающий процесс физического или химического превращения веществ, сопровождающийся высвобождением большого количества энергии в ограниченном объеме, в результате которого в окружающем пространстве образуется и распространяется ударная волна, способная создать угрозу жизни и здоровью людей, нанести материальный ущерб и ущерб окружающей среде, стать источником ЧС.
Источником энергии при взрыве могут быть как химические, так и физические процессы. В подавляющем большинстве взрывов источником выделения энергии являются химические превращения веществ, связанные с окислением. Установились определенные подходы и терминология при рассмотрении пожаров, взрывов и связанных с ними проблем: в случаях, когда процессы окисления протекают сравнительно медленно, без образования ударной волны, явления рассматриваются как горение. Аналогичные процессы во взрывчатых средах протекают значительно быстрее и определяются как взрывное горение или взрыв.
Примерами взрывов, энерговыделение при которых обусловлено физическими процессами, могут служить, во-первых, аварийное выливание расплавленного металла в воду, при котором испарение протекает взрывным образом вследствие чрезвычайно быстрой теплоотдачи, и, во-вторых, взрывы сжатых или сжиженных газов. В этом случае энергия, выделяющаяся при взрыве, определяется процессами, связанными с адиабатическим расширением парогазовых сред и перегревом жидкостей.
Суммарное выделение энергии при взрыве называется энергетическим потенциалом взрыва и определяет его масштабы и последствия. Существует много веществ, в которых в том или ином виде запасено большое количество энергии, например в виде внутримолекулярных или межмолекулярных связей. В нормальных условиях эти вещества достаточно устойчивы и могут находиться в твердом, жидком, газообразном или аэрозольном состоянии. Однако в результате инициирующего воздействия (теплом, трением, ударом или каким-либо другим способом) в них начинаются экзотермические процессы, протекающие с большой скоростью и приводящие к взрывчатому превращению. К взрывчатым веществам могут быть отнесены любые вещества, способные к взрывчатому превращению, однако на практике к ВВ относят вещества, обладающие следующими свойствами:
- достаточно высокое содержание энергии в единице массы и большая мощность, развиваемая при взрыве;
- пределами чувствительности к внешнему воздействию, обеспечивающие как достаточную безопасность, так и легкость возбуждения взрыва.
На промышленных предприятиях наиболее взрывоопасными являются образующиеся в нормальных или аварийных условиях газовоздушные и пылевоздушные смеси (ГВС и ПлВС).
Из ГВС наиболее опасны взрывы смесей с воздухом углеводородных газов, а также паров легковоспламеняющихся жидкостей. Взрывы ПлВС происходят на мукомольном производстве, на зерновых элеваторах, при обращении с красителями, при производстве пищевых продуктов, лекарственных препаратов, на текстильном производстве.
Пожаровзрывоопасность производства определяется параметрами пожароопасности и количеством используемых в технологических процессах материалов и веществ, конструктивными особенностями и режимами работы оборудования, наличием возможных источников зажигания и условий для быстрого распространения огня в случае пожара.
Согласно НПБ 105-95, все объекты в соответствии с характером технологического процесса по взрывопожарной и пожарной опасности подразделяются на пять категорий (табл. 12.2).
Обозначенные ниже нормы не распространяются на помещения и здания для производства и хранения взрывчатых веществ, средств инициирования взрывчатых веществ, здания и сооружения, проектируемые по специальным нормам и правилам, утвержденным в установленном порядке.
Категории помещений и зданий, определяемые в соответствии с табл. 12.2, применяют для установления нормативных требований по обеспечению взрывопожарной и пожарной безопасности указанных зданий и сооружений в отношении планировки и застройки, этажности, площадей, размещения помещений, конструктивных решений, инженерного оборудования и т. д.
Т а б л и ц а 12.2. Категории помещений и зданий по пожарной и взрывной опасности
Оценка поражающих факторов ЧС при взрывах. На практике чаще других встречаются свободные воздушные взрывы, наземные (приземные) взрывы, взрывы внутри помещений (внутренний взрыв), а также взрывы больших облаков ГВС.
К свободным воздушным взрывам относят взрывы, происходящие на значительной высоте от поверхности Земли, при этом не происходит усиления ударной волны между центром взрыва и объектом за счет отражения. Избыточное давление на фронте и длительность фазы сжатия τ зависят от энергии взрыва (массы С заряда ВВ), высоты центра взрыва над поверхностью Земли, условий взрыва и расстояния R от эпицентра. Параметры взрыва подчиняются законам подобия согласно следующим соотношениям:
,где С1 и С2 - массы первого и второго заряда; R1 и R2 - расстояния до рассматриваемых точек.
Предыдущее соотношение можно записать в виде:
, где
- приведенное расстояние, С* - тротиловый эквивалент. Для воздушных взрывов на высоте Н из условий подобия имеем
, где
- приведенная высота.
Давление Рф (МПА) для свободно распространяющейся сферической воздушной ударной волны
, в которой вид взрывчатого вещества учитывается тротиловым эквивалентом.
Для ядерных взрывов величина С представляет тротиловый эквивалент по ударной волне. Если обозначить Сп - полный тротиловый эквивалент, то для свободно распространяющейся в атмосфере ударной волны воздушного взрыва С = О,5Сп, а для наземного и приземного ядерных взрывов - С= 2* 0.5Сп.
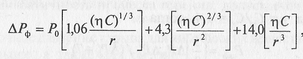
Наземные и приземные взрывы. Если взрыв происходит на поверхности Земли, то воздушная ударная волна от взрыва усиливается за счет отражения. Параметры ударной волны рассчитывают по формулам воздушного взрыва, однако величину энергии взрыва удваивают; в случае конденсированных ВВ избыточное давление взрыва можно рассчитывать по соотношению
где Р0 - атмосферное давление, МПа; r - расстояние от центра взрыва; С - мощность заряда, кг; η - свойства поверхности, на которой происходит взрыв. Значения коэффициента η приведены ниже:
















