br_1_ (522412)
Текст из файла
3
Лекция 1. КИНЕМАТИКА
Предмет кинематики; радиус-вектор и перемещение; скорость; ускорение;
обратная задача кинематики; движение по окружности
1. Предмет кинематики
Механика — раздел физики, где изучается
простейший вид движения материи —
механическое движение тел в пространстве и во
времени.
Движение тел в механике рассматривается
относительно выбранной системы отсчета.
Система отсчета (СО) — это тело, условно
считающееся неподвижным, относительно
которого рассматривается движение исследуемого
тела, плюс часы, по которым отсчйтывается время.
С выбранным в качестве СО телом жестко
связана система координат (чаще всего
прямоугольная декартова система XYZ).
В механике важную . роль играют два
абстрактных идеальных понятия: материальная
точка (частица) и абсолютно твердое тело.
Материальная точка — это тело, размерами
которого можно пренебречь в условиях данной
конкретной задачи. Абсолютно твердое тело —
это тело, форма и размеры которого не меняются
под воздействием других тел. Абсолютно твердое
тело можно рассматривать как совокупность
жестко связанных между собой материальных
точек, т.е. как систему материальных точек,
расстояния между которыми не изменяются в
процессе движения тела.
Если движение тел происходит со скоростями,
значительно меньшими скорости света в вакууме
с = 3108 м/с (движение ракет, спутников, планет
и т.д.), то такое движение с практически
стопроцентной точностью описывается
нерелятивистской ньютоновской механикой,
основные законы которой были сформулированы
еще Ньютоном.
Законы Ньютона перестают работать, когда
скорость тела становится сравнимой со скоростью
света (например, при движении частиц в
современных ускорителях заряженных частиц). В
этом случае движение материальной точки
описывается релятивистской механикой
Эйнштейна. Следует помнить, что ньютоновская
механика вытекает из релятивистской при
скоростях v « с. В этом семестре мы будем
изучать основные законы ньютоновской механики
применительно к движению материальных точек
и абсолютно твердого тела и попытаемся усвоить
основные положения механики Эйнштейна.
Позже мы узнаем, что механика Ньютона
оказывается бессильной и при рассмотрении
движения микрочастиц в областях, размеры
которых ~10~10 м (движение электрона в атоме).
Такое движение подчиняется законам
квантовой механики, которые Вы узнаете в
третьем семестре.
Изучение механики Ньютона мы начинаем с
кинематики материальной точки — раздела
механики, в котором рассматривается движение
материальной точки без выяснения причин,
вызывающих то или иное ее движение.
2. Радиус-вектор и перемещение
Положение материальной точки (частицы) в
пространстве в данный момент времени t
однозначно определяется в выбранной СО
заданием ее трех координат. Поэтому и говорят,
что частица обладает тремя степенями свободы.
Вообще говоря, число степеней свободы — это
минимальное число независимых координат, с
помощью которых можно однозначно определить
положение тела в пространстве. Так, например,
ясно, что положение в пространстве абсолютно
твердого тела произвольной формы нельзя
однозначно задать лишь с помощью трех
координат. Обычно поступают следующим
образом. С твердым телом связывают систему
координат O'X'Y'Z', и положение тела в
пространстве в неподвижной системе координат
OXYZ определяют заданием трех координат х0, Уо(
z0 начала отсчета О' системы, связанной с телом, и
трех углов а, Р, у между осями ОХ и О'Х', OY и
O'Y', OZ и O'Z'. Следовательно, абсолютно твердое
тело произвольной формы обладает шестью
степенями свободы.
Положение материальной точки в
пространстве удобно задавать не только ее тремя
координатами х, у, z, но и ее радиус-вектором —
вектором г , проведенным из начала координат к
материальной точке. Ясно, что проекции радиус-
вектора на оси OX, OY, OZ совпадают с
координатами частицы х, у, z, т.е.
где i, j,k — единичные векторы (орты) вдоль осей
OX, OY, OZ.
При движении материальной точки ее
координаты изменяются со временем, а конец
радиус-вектора описывает в пространстве
некоторую линию, которая называется
траекторией.
которой эквивалентны три уравнения:
x = x(t); y = y(t); z = z(t). (1.1)
Уравнением траектории в векторной форме
называется зависимость радиус-вектора г
материальной точки от времени:
4
Для получения уравнения траектории частицы
в явном виде из системы (1.1) необходимо
исключить время t. Если при своем движении
материальная точка находится все время в одной
плоскости, то такое движение называется
плоским.
Пусть за время At частица переместилась из
точки М(х, у, z), где она находилась в момент
времени t, в точку М'(х', у', z'), пройдя вдоль
траектории отрезок пути As (рис. 1.1).
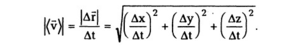
Вектор скорости (мгновенной) материальной
точки v(t) в данный момент времени t
определяется как предел, к которому стремится
вектор средней скорости (v) за время от t до
t + At при безграничном уменьшении промежутка
времени At:
Здесь точка сверху означает производную по
времени, которую принято записывать в виде:
где dr = dxi + dyj + dzk — бесконечно малый
вектор перемещения частицы за бесконечно
малый промежуток времени dt. Заметим, что при
At -» О вектор Аг -> dr и направлен по
касательной к траектории частицы в момент
времени t в сторону движения, а по абсолютной
не
отличается от бесконечно малого отрезка пути
частицы ds за время dt, т.е. |dr| = ds. Итак,
Таким образом, вектор скорости частиц v(t)
направлен по касательной к траектории в момент
времени t в сторону движения, его проекции на
оси OX, OY, OZ определяются соотношениями
(1.26), а абсолютная величина — соотношением
(1.3).
4. Ускорение
5
Вектор ускорения частицы a(t) в момент
времени t определяется как предел отношения Av
к At при At->0:
где dv — бесконечно малое изменение вектора
скорости за бесконечно малый промежуток
времени dt. Выражение (1.4) можно записать в
виде:
а модуль вектора ускорения
Следовательно, проекции вектора ускорения
на координатные оси (с учетом (1.2))
Если движение материальной точки плоское
(будем в дальнейшем считать, что траектория
частицы лежит в плоскости ХОУ), то вектор
ускорения а всегда можно разложить на две
взаимно перпендикулярные составляющие (см.
рис. 1.3):
б
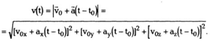
При равноускоренном движении
Откуда
5. Обратная задача кинематики
Задача кинематики бывает прямой и обратной.
В прямой задаче задается закон движения г (t), из
которого требуется получить все кинематические
характеристики движения материальной точки:
Обратная задача гораздо сложнее прямой. Это
связано не только с тем, что при ее решении
необходимо овладеть навыками интегрирования
(интегрировать всегда сложней, чем вычислять
производную), но, в основном, с тем, что заданное
ускорение а зависит, как правило, не только от
времени t, но и от координат и скорости
движущейся частицы. В результате решение
подобной задачи сводится, как правило, к
решению дифференциальных уравнений. В
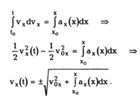
простейшем случае, когда заданное ускорение а
зависит лишь от времени, решение обратной
задачи выглядит следующим образом. Из (1.4)
dv = adt, следовательно,
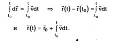
Далее из (1.2а) следует, что dr = vdt, поэтому
Результат интегрирования правой части
зависит от конкретного вида зависимости а от t.
В частности, при равноускоренном движении,
когда а = const
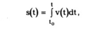
Путь, пройденный за время t, находится с
помощью формулы (1.3), записанной в виде
Так как s(t0) = 0, следовательно,
где под интегралом (не следует забывать!)
а затем интегрируют
7
Интеграл
в принципе вычисляется.
6. Движение по окружности
Рассмотрим теперь дополнительные
кинематические характеристики частицы,
удобные при изучении движения последней по
окружности.
Пусть за время dt частица, двигаясь по
окружности радиусом R, повернулась на
бесконечно малый угол d<p, пройдя путь ds = Rd(p
(рис. 1.5). Вводим вектор бесконечно малого
поворота dcp, модуль которого |dcp| = d(p, a
направление совпадает с осью поворота OZ
(причем так, что направление поворота отвечает
правилу правого винта по отношению к
направлению dcp). Отношение dcp к dt
называется вектором угловой скорости частицы
вектором скорости частицы v (направленным по
касательной к окружности) и вектором угловой
скорости со (направленным по оси вращения)
дается выражением
Характеристики
Тип файла документ
Документы такого типа открываются такими программами, как Microsoft Office Word на компьютерах Windows, Apple Pages на компьютерах Mac, Open Office - бесплатная альтернатива на различных платформах, в том числе Linux. Наиболее простым и современным решением будут Google документы, так как открываются онлайн без скачивания прямо в браузере на любой платформе. Существуют российские качественные аналоги, например от Яндекса.
Будьте внимательны на мобильных устройствах, так как там используются упрощённый функционал даже в официальном приложении от Microsoft, поэтому для просмотра скачивайте PDF-версию. А если нужно редактировать файл, то используйте оригинальный файл.
Файлы такого типа обычно разбиты на страницы, а текст может быть форматированным (жирный, курсив, выбор шрифта, таблицы и т.п.), а также в него можно добавлять изображения. Формат идеально подходит для рефератов, докладов и РПЗ курсовых проектов, которые необходимо распечатать. Кстати перед печатью также сохраняйте файл в PDF, так как принтер может начудить со шрифтами.
















