br_1_ (522412), страница 9
Текст из файла (страница 9)
После столкновения они слипаются, образуя
новую частицу. Так как до столкновения
39
новая частица после столкновения покоится
то есть масса новой частицы М превысила
исходную массу 2т на
В другой системе К', движущейся
относительно К со скоростью и :
Подставляя (9.13) в (9.17), получим
так как кинетическая энергия превратилась в
массу. Изменение массы AM, связанное с
превращением кинетической энергии в массу, в
повседневных процессах обычно очень мало и не
поддается измерениям.
имеющих
Так, при столкновении и слипании двух
шариков массой
добавочная
одинаковые по величине и противоположные по
направлению скорости
масса
С учетом (9.15), (9.16) имеем
Этот результат свидетельствует о том, что в
СТО, в отличие от ньютоновской механики,
энергия при неупругом столкновении сохраняется.
Поскольку
частица покоится, то есть Е3 — ее энергия покоя,
мы вынуждены на основании (9.19) утверждать,
что масса образовавшейся частицы М>2т, так как
из (9.19) следует, что
Мы получили новый важный результат: в СТО,
в отличие от механики Ньютона, нет закона
сохранения массы системы частиц - она может
возрастать или уменьшаться, в зависимости от
того, какие превращения происходят с
кинетической энергией входящих в систему
частиц. В данном примере кинетическая энергия
после
исходных частиц
Эта величина значительно меньше ошибки, с
которой может быть измерена масса в 1г.
Совсем другая ситуация наблюдается в
процессах, происходящих внутри атомного ядра,
состоящего из элементарных частиц протонов и
нейтронов, массы которых хорошо известны:
частицы удерживаются так называемыми
ядерными силами. Так, ядро тяжелого водорода
(дейтерия) состоит из одного протона и одного
Откуда взялась эта разница? Дело в том, что
для разделения ядра дейтерия на протон и
нейтрон необходимо затратить энергию, чтобы
преодолеть мощные ядерные силы,
удерживающие эти частицы в ядре. Эта энергия
называется энергией связи ядра. Для ядра
дейтерия экспериментально измеренная энергия
связи Есв = 2,226 МэВ. Разделяя ядро дейтерия, мы
увеличиваем массу ядра на величину
столкновения обратилась в нуль, то есть
изменилась на
или, на основании (9.20),
что совпадает с (9.22).
Взаимное превращение энергии и массы
играет фундаментальную роль в ядерных
реакциях деления и синтеза. Так, например,
важнейшим источником энергии Солнца и
большинства звезд является ядерное "сжигание"
протонов с образованием ядер гелия.
40
Лекция 10. ВВЕДЕНИЕ В МОЛЕКУЛЯРНО-КИНЕТИЧЕСКУЮ
ТЕОРИЮ
Количество вещества; абсолютная температура, макроскопические
параметры; основное уравнение кинетической теории идеального газа,
уравнение состояния идеального газа.
Число молекул в одном моле получается
делением молярной массы (10.4) на массу одной
молекулы (10.3)
1. Количество вещества
Любое вещество (газообразное, жидкое или
твердое) состоит из огромного числа мельчайших
частиц, сохраняющих все химические свойства
данного вещества. Эти мельчайшие частицы
называются молекулами. Сами молекулы могут
состоять из нескольких более простых частиц —
атомов.
Если различных видов молекул известно
огромное число (миллионы), то различных атомов
всего 105, причем в природе их встречается 88, а
17 получены искусственным путем. Это атомы так
называемых химических элементов. Размеры
молекул и атомов чрезвычайно малы, порядка
велико. В одном
Зато число их в веществе необычайно
грамме воды, например,
содержится примерно
Согласно современным измерениям
Массы атомов и молекул тоже малы, поэтому
их удобней измерять не в килограммах, а в
специальных единицах. Эта единица называется
атомной единицей массы (а.е.м.). По
определению
Масса атома, выраженная в а.е.м., называется
относительной атомной массой А и приведена в
таблице Менделеева. Масса молекулы,
выраженная в а.е.м., называется относительной
молекулярной массой |i' и равна, очевидно, сумме
относительных масс атомов, составляющих
данную молекулу. Для нахождения массы
молекулы в килограммах m нужно ее
относительную молекулярную массу ц' умножить
на то, то есть
В молекулярной физике широко используется
понятие количества вещества. Единица
количества вещества называется молем. По
определению моль вещества — это такое
количество вещества, масса которого в
килограммах численно равна 10~3ц\ где ц' —
относительная молекулярная масса данного
вещества. Масса одного моля ц называется
молярной массой вещества, причем
Следовательно, в моле любого вещества
содержится одинаковое число молекул (при
получении (10.5) ц' сократилась!), равное 6,02-1023.
Это число называется числом Авогадро NA.
Если тело обладает массой М, то оно содержит
молекул.
2. Абсолютная температура.
Макроскопические параметры
Между молекулами вещества существуют силы
взаимодействия: на больших расстояниях друг от
друга молекулы притягиваются, а при сближении
они отталкиваются. На это указывает сам факт
существования различных агрегатных состояний
вещества. В твердом и жидком состояниях
молекулы притягиваются друг к другу настолько,
что тела сохраняют свой объем, а в случае
твердого тела — еще и форму. В газообразном же
состоянии силы взаимодействия значительно
меньше, так что газ заполняет весь
предоставленный ему какой угодно объем.
Последний факт указывает еще на одну
характерную особенность частиц любого
вещества: молекулы вещества находятся всегда в
постоянном движении. Отличительной чертой
этих движений является их полная
беспорядочность, хаотичность. Это хаотическое
движение молекул носит название теплового
движения. В твердых телах тепловое движение
состоит из беспорядочных колебаний молекул
около своих положений равновесия, образующих
правильную кристаллическую решетку. Именно в
хаотическом тепловом движении молекул
заключена природа теплоты и тепловых явлений.
Если привести в соприкосновение два тела, то
их молекулы в месте контакта будут передавать
друг другу энергию. Тело, которое при этом
теряет энергию, называют более нагретым, а тело,
к которому энергия переходит, — менее
нагретым. Как показывает опыт, такой переход
41
движения, приходящаяся на одну степень
свободы молекулы
В технике и быту часто используется не шкала
Кельвина, а шкала Цельсия. Температура t (°C) по
этой шкале связана с температурой Т
соотношением
энергии продолжается до тех пор, пока не
установится определенное состояние — состояние
теплового равновесия. Время т, в течение
которого устанавливается равновесие, называется
временем релаксации.
Для характеристики степени нагретости тел в
состоянии равновесия служит понятие
температуры. В физике в качестве температурной
шкалы пользуются так называемой абсолютной
шкалой, имеющей глубокий физический смысл.
Дело в том, что физическое определение
температуры должно основываться не на
случайной величине, а на величине, которая
выравнивается для двух любых тел, приходящих в
состояние теплового равновесия друг с другом.
Оказывается, что таким замечательным свойством
обладает средняя кинетическая энергия
поступательного движения частиц (молекул или
выбрана в качестве мерила температуры, где m —
масса молекулы, v0 — скорость ее центра масс и
значок ( ) означает усреднение по всем
молекулам, движущимися с разными скоростями.
По определению абсолютная температура Т в
Кельвинах
переводящий температуру в Джоулях в Кельвины,
называется постоянной Больцмана.
Из (10.7) следует, что в состоянии теплового
равновесия при температуре Т средняя
кинетическая энергия поступательного движения
молекулы
Следует отметить, что эта формула
справедлива не только для молекул вещества, но и
для частиц больших, макроскопических размеров,
например, мелких пылинок, взвешенных в
жидкости, которые можно наблюдать через
микроскоп (так называемое броуновское
движение).
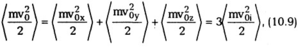
Поскольку любая молекула обладает тремя
поступательными степенями свободы (три
координаты х0, у0, z0 ее центра масс) и все они
равноправны
поступательного движения, приходящаяся на одну
(i-ую) степень свободы. Сравнивая (10.9) с (10.8),
заключаем, что в состоянии теплового равновесия
средняя кинетическая энергия поступательного
Поскольку кинетическая энергия молекулы
является положительной величиной, абсолютная
температура Т — величина положительная и
стремится к нулю, когда хаотическое тепловое
движение молекул прекращается (по шкале
Цельсия это происходит при t = —273,15°).
Благодаря тепловому движению молекул, газ
(или жидкость) оказывает давление на стенки
заключающего его сосуда. Молекулы вещества,
сталкиваясь со стенкой, передают ей часть своего
импульса. Изменение же импульса стенки в
единицу времени (вспомним механику!)
определяет действующую на нее силу. Отношение
проекции силы Afn на нормаль к площадке на
стенке AS называется давлением газа (или
жидкости) на этом участке:
















