br_1_ (522412), страница 5
Текст из файла (страница 5)
энергию частицы в произвольной точке P(z)
(рис.4.5) как работу постоянной силы mg ,
направленной вертикально вниз, при
перемещении частицы из точки Р в точку О по
любому пути. Выбираем путь РАО. Тогда
так как АРА = mgz и ААО = 0 (здесь сила
перпендикулярна перемещению). Если точка Р
Причем нулевому уровню, как видно из (4.22),
соответствует состояние, когда пружина
недеформирована, т.е. когда х = 0.
5. Закон сохранения энергии
Вернемся теперь снова к теореме о
кинетической энергии (4.9). Пусть среди сил \ ,
действующих на частицу т, часть сил является
20
Следует помнить при решении конкретных
задач, что типичными неконсервативными силами
являются силы трения и силы сопротивления. Из
(4.23) следует закон сохранения энергии для
материальной точки: полная энергия частицы не
изменяется, если на нее действуют только
консервативные силы.
Рассмотрим теперь систему из п
взаимодействующих между собой материальных
точек. Полная механическая энергия системы Е
складывается теперь из кинетической энергии
системы
Потенциальная энергия взаимодействия частиц
системы UB3 определяется следующим образом:
потенциальной энергии взаимодействия UR3
частиц системы, которая определяется их
консервативными силами взаимодействия, и
потенциальных энергий частиц в поле всех
находится их энергия взаимодействия U^ подобно
Итак, полная механическая энергия системы
тому, как это делалось при выводе формулы (4.21)
для энергии взаимодействия двух масс,
притягивающихся согласно закону всемирного
тяготения. После этого
неконсервативных, как внутренних, так и
внешних сил. Если таких сил нет, полная энергия
Е (4.27) системы не изменяется со временем
(закон сохранения энергии для системы).
Используем теперь полученные соотношения
(4.25) — (4.27) для абсолютно твердого тела,
рассматривая его как совокупность жестко
связанных материальных точек. Полную энергию
тела на основании (4.27) можно записать в
следующем виде (полагая UB3 частиц тела равной
нулю):
21
Следует отметить, что при плоском движении
и скорость vt, и viBp находятся в плоскости XOY
неподвижной системы координат,
перпендикулярной оси вращения OZ. Для
нахождения кинетической энергии тела
момент инерции тела относительно оси вращения
OZqi проходящей через центр масс тела.
Итак, при плоском движении твердого тела его
полная энергия
22
Лекция 5. МЕХАНИЧЕСКИЕ КОЛЕБАНИЯ
Одномерный гармонический осциллятор; энергия гармонического осциллятора;
математический маятник; физический маятник.
1. Одномерный гармонический
осциллятор.
Колебания являются широко
распространенным видом движения и
наблюдаются в системах самой разнообразной
природы. Колебания относятся к процессам, точно
повторяющимся через одинаковый промежуток
времени То, который называется периодом
колебаний. При механических колебаниях,
например, повторяются положения тел в
пространстве и их скорости. Электрические
колебания — это повторяющиеся изменения
напряжений и сил токов в электрических цепях.
Однако, несмотря на разную физическую
природу, в колебаниях проявляются одни и те же
закономерности, которые исследуются общими
методами.
Важной кинематической характеристикой
является форма колебаний. Она определятся
видом той функции времени t, которая описывает
изменение той или иной физической величины
при колебаниях. Наиболее важными (и наиболее
простыми) являются так называемые
гармонические колебания. Они описываются
гармоническим законом
Здесь x(t) характеризует изменение какой— либо
физической величины при колебаниях, например,
x(t) может быть смещением маятника от
положения равновесия, мгновенным значением
заряда на конденсаторе в электрическом
колебательном контуре или плотностью воздуха в
звуковой волне.
Система, закон движения которой имеет вид
(5.1) называется одномерным классическим
гармоническим осциллятором. Циклическая
частота со0 связана с периодом колебаний по
формуле:
Полученное дифференциальное уравнение для
x(t)
23
свойству: колебания могут возникнуть в любой
системе, обладающей положением устойчивого
равновесия. При выводе системы из равновесия
она начнет колебаться около положения
равновесия (не обязательно, конечно, по
гармоническому закону!). Для механической
системы в положении равновесия сумма сил,
Рассмотрим одномерное (вдоль оси х)
движение материальной точки массой т,
обладающей положением устойчивого равновесия,
куда мы поместим начало координат х = 0. При
смещении частицы вправо на х на частицу
начинает действовать сила fx = -f(x),
направленная к началу координат. Эта сила
называется возвращающей силой. Запишем
второй закон Ньютона (в проекции на ось х) для
нашей частицы:
Сравнивая полученное уравнение (5.7) с
уравнением гармонических колебаний (5.3), мы
видим, что материальная точка будет колебаться
около положения равновесия по гармоническому
закону (5.1) только в том случае, если
возвращающая сила линейно зависит от х:
f(x) = kx. (5.8)
где коэффициент пропорциональности к, который
определяется свойствами конкретной системы,
называется коэффициентом возвращающей силы.
При этом частота колебаний
2. Энергия гармонического
осциллятора.
Полная энергия одномерного гармонического
осциллятора
Если между f (х) их нет линейной зависимости,
колебания не будут гармоническими. Такие
колебания называются ангармоническими. Для
таких колебаний принцип суперпозиции не
выполняется, и мы не будем их рассматривать.
Особая важность гармонических колебаний
связана, как можно доказать, с тем, что любая
система будет колебаться по гармоническому
закону, если ее вывести из положения
устойчивого равновесия на очень маленькую
величину. Такие гармонические колебания
называются малыми.
Таким образом, мы показали, что частота и
период гармонического осциллятора не зависят от
начальных условий, а определяются только
свойствами конкретной механической системы —
ее массой и коэффициентом возвращающей силы
к.
Сравнивая (5.21) с (5.13), находим
коэффициент возвращающей силы
математического маятника при малых колебаниях:
4. Физический маятник.
Его образует твердое тело, подвешенное в поле
тяжести на закрепленной горизонтальной оси,
которую примем за ось OZ (см. рис. 5.2).
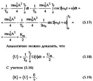
то есть средние значения кинетической и
потенциальной энергии гармонического
осциллятора равны друг другу и каждое из них
составляет половину полной энергии. Этот вывод
используется в молекулярной физике.
3. Математический маятник.
Его образует материальная точка массой т,
подвешенная в поле тяжести к определенной
точке на невесомой и нерастяжимой нити длиной
L.
направлена в сторону положения равновесия
(положение равновесия устойчивое).
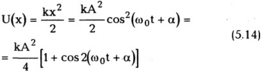
Найдем потенциальную энергию материальной
точки в отклоненном положении, полагая U=0 в
положении равновесия. Тогда
На рис. 5.2 ось OZ направлена к нам. Центр
тяжести тела находится в точке О на расстоянии а
от оси вращения OZ. Тело вращается вокруг
закрепленной оси, поэтому для него нужно писать
уравнение (3.9) из лекции 3:
25
Сравнив эти выражения с формулами (5.22),
относящимися к математическому маятнику, мы
видим, что свойства движения физического
маятника совпадают со свойствами движения
математического маятника с длиной
Из этого выражения можно сделать следующее
интересное заключение. Отложим на прямой ZO
(Рис. 5.2) отрезок ZO' = L > а . Представим себе
теперь, что маятник подвешивается за
горизонтальную ось, проходящую через точку О'.
Приведенная длина полученного таким образом
нового маятника будет равна (см. (5.30))
Ее называют приведенной длиной
физического маятника.
На основании теоремы Штейнера (см. (3.10) из
лекции 3)
приведенные длины, а поэтому и периоды
колебаний маятников, подвешенных на осях,
находящихся на расстоянии L друг от друга,
одинаковы.
26
Лекция 6. ЗАТУХАЮЩИЕ И ВЫНУЖДЕННЫЕ КОЛЕБАНИЯ
Затухающие колебания; вынужденные колебания.
1. Затухающие колебания.
До сих пор мы рассматривали колебательное
движение тела так, как если бы оно происходило
совершенно беспрепятственно. Однако, если
движение происходит в какой либо среде, то эта
среда оказывает сопротивление движению,
стремящееся замедлить его. Взаимодействие тела
со средой представляет собой сложный процесс,
приводящий, в конце концов, к переходу энергии
движущегося тела в тепло,— как говорят в
физике, к рассеянию или диссипации энергии.
Этот процесс не является уже чисто
механическим и его детальное изучение требует
привлечения также и других разделов физики. С
чисто механической точки зрения он может быть
описан путем введения дополнительной (кроме
возвращающей) силы, появляющейся в результате
движения и направленной противоположно ему.
Эту силу называют силой трения. При достаточно
малых скоростях движения она пропорциональна
скорости тела, и ее проекция на ось х
где г — некоторая положительная постоянная,
характеризующая взаимодействие тела со средой,
а знак минус указывает, что сила направлена в
сторону, обратную скорости.
















