br_2 (522413)
Текст из файла
42
Деля силу F на площадь сферы получим:
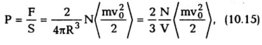
Из (10.15) следует, что для идеального газа
3. Основное уравнение кинетической
теории идеального газа. Уравнение
состояния идеального газа.
Идеальным газом называется такой газ, в котором силами взаимодействия молекул между собой можно пренебречь, а сами молекулы следует считать материальными точками. Время от времени молекулы сталкиваются, но столкновения происходят настолько редко, что большую часть времени молекулы газа движутся равномерно и прямолинейно. Чем более разрежен реальный газ, тем ближе его свойства и идеальному.
Для такого газа оказывается возможным
получить зависимость между его
макроскопическими параметрами Р, V и Т, рассматривая движение одной молекулы, а затем усредняя это движение по огромному числу составляющих этот газ молекул — пои обычных
При упругом столкновении молекулы со стенкой ее импульс изменяется на величину
Столкновения молекул со стенкой происходят через время
Пусть имеется сферический сосуд радиусом R, в котором содержится N одинаковых молекул идеального газа массой т, движущихся хаотически (см. рис. 10.1). Рассмотрим какую-либо i-ую молекулу, центр масс которой движется со
Это уравнение называется основным уравнением кинетической теории идеального газа.
Если теперь воспользоваться определением абсолютной температуры (10.8), то уравнение (10.16) можно записать в виде:
Это и есть уравнение состояния идеального газа, причем оно записано в такой форме, которая не содержит никаких специфических свойств того или иного конкретного газа. Так, из (10.17) следует, что при заданных давлении Р и температуре Т концентрации молекул любого газа одинаковы и равны Р/кТ.
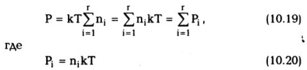
Если в сосуде содержится смесь из г различных идеальных газов, то полное число молекул в единице объема
где П| — концентрация молекул i-ro сорта.
Подставляя (10.18) в (10.17) и учитывая, что все газы находятся в равновесии (то есть обладают одинаковой температурой Т), получим:
поэтому на стенку со стороны i-ой молекулы действует сила
а со стороны N молекул газа
так называемое парциальное давление i-oro компонента смеси. Уравнение (10.19) является математической записью закона Дальтона для
смеси идеальных газов, который гласит, что давление смеси газов равно сумме парциальных давлений компонентов смеси.
Вернемся снова к уравнению состояния (10.17) для идеального газа, состоящего из N одинаковых молекул массой т. Если масса всего газа в сосуде М и его молярная масса ц, то число молекул (см. (10.6)).
энергия поступательного движения молекулы газа.
Подставляя это выражение в (10.15) и
43
универсальная газовая постоянная, получим так называемое уравнение Менделеева-Клапейрона
для идеального газа:
Это уравнение, в отличие от (10.17), содержит специфическое свойство конкретного газа — его молярную массу.
При изменении состояния заданного
количества газа (v = const), все три параметра газа
Р, V и Т изменяются согласно уравнению (10.21).
Если бы мы попытались изобразить графически
эти изменения, то получили бы некоторую
поверхность в трехмерной системе координат, на
осях которой откладывались бы величины Р, V и Т
(рис. 10.2). Поскольку пространственное
построение на практике чрезвычайно неудобно, ограничиваются обычно построением плоских
графиков, которые получаются сечением
трехмерной поверхности плоскостями,
перпендикулярными той или иной координатной оси Р, V, Т.
Так, пересекая поверхность плоскостями, перпендикулярными оси Т (при этом Т = const), мы получим семейство кривых PV = const,
изображающих зависимость Р от V при различных значениях температуры Т. Такие кривые называются изотермами (см. рис. 10.3).
зависимость Р от Т при фиксированных значениях объема V (рис. 10.5).
44
Лекция 11. РЕАЛЬНЫЙ ГАЗ. ПЕРВОЕ НАЧАЛО ТЕРМОДИНАМИКИ. ТЕПЛОЕМКОСТЬ
Реальный газ, уравнение Ван-дер-Ваальса; первое начало термодинамики; работа при изменении объема; теплоемкость; внутренняя энергия газа.
1. Реальный газ. Уравнение Ван-дер-Ваал ьса
Полученное в предыдущей лекции уравнение состояния идеального газа не является универсальным. Оно оказывается справедливым при достаточно малых давлениях (и плотностях) и выполняется тем точнее, чем меньше давление. По мере же увеличения давления газа его свойства все более отклоняются от свойств идеального газа и, в конце концов, наступает его конденсация в жидкость.
В этом нет ничего удивительного, если
вспомнить те допущения, которые были сделаны
при выводе уравнения состояния идеального газа.
В самом деле, идеальный газ мы определили как
газ, состоящий из молекул, не
взаимодействующих между собой, а сами молекулы при этом считали материальными точками, т.е. мы пренебрегали их размерами и объемом. Однако оба эти допущения являются приближенными.
Так, например, если при атмосферном давлении среднее расстояние между молекулами в 10 раз превосходит их собственные размеры, то при давлении в 100 атм молекулы газа в среднем удалены друг от друга на расстояние, которое только вдвое больше их размеров. В этих условиях объемом молекул нельзя пренебречь, а силы взаимодействия должны уже сказываться не только в моменты столкновений.
Начнем с того, что учтем в уравнении состояния (которое мы будем писать для одного моля газа) ограниченную сжимаемость газа. Для этого надо в уравнении идеального газа Р = RT/V
заменить объем V разностью (V-b), где b -
некоторая положительная постоянная,
учитывающая размеры молекул. Уравнение
показывает, что объем не может быть сделан меньшим, чем Ь, поскольку при V -» b давление Р обращается в бесконечность.
Учтем теперь притяжение молекул. Это притяжение должно приводить к уменьшению давления газа, поскольку на каждую молекулу, находящуюся вблизи стенки сосуда, будет действовать со стороны остальных молекул сила, направленная внутрь сосуда. В грубом приближении эта сила будет пропорциональна числу молекул в единице объема, то есть концентрации газа.
С другой стороны, давление само пропорционально этому же числу. Поэтому общее уменьшение давления, связанное с взаимным
или, иначе,
Это — так называемое уравнение Ван-дер-Ваальса, или уравнение состояния реального газа, записанное для одного моля. Для произвольного
притяжением молекул, будет обратно пропорционально квадрату его объема. В соответствии с этим вычтем из (11.1) выражение
При большом разрежении газа (большие объемы V) величинами а и b можно пренебречь, и мы возвращаемся к уравнению Менделеева — Клапейрона. Ниже мы увидим, что уравнение (11.3) правильно описывает характер явлений и в обратном предельном случае больших сжатий.
Для исследования поведения реального газа, описываемого уравнением Ван-дер-Ваальса, рассмотрим определяемые этим уравнением изотермы - кривые зависимости Р от V при заданных значениях Т. С этой целью перепишем лтавнение М1.2) (лля олного моля) в виде
При заданных значениях Р и Т - это уравнение третьей степени относительно неизвестного V.
Как известно, уравнение третьей степени имеет три корня, из которых вещественными могут быть либо все три, либо один (в последнем случае уравнение имеет также два комплексно сопряженных корня). Физическим смыслом объема могут обладать, разумеется, лишь вещественные (причем положительные) корни. Поэтому заданным значениям Р и Т по уравнению Ван-дер-Ваальса соответствуют либо три различных, либо одно значение объема.
Второй случай всегда имеет место при
достаточно высоких температурах.
Соответствующие изотермы мало отличаются от
45
изотерм идеального газа и являются монотонно спадающими кривыми (кривая 1 на рис.11.1; увеличение номера кривых соответствует убыванию температуры). При более же низких температурах изотермы имеют максимум и минимум (кривые 3, 4Г), так что для каждой из них существуют такие интервалы давлений, в которых кривая определяет три различных значения V (три точки пересечения изотермы с горизонтальной прямой).
Рассмотрим изотерму 3 и выясним, какой смысл имеют различные ее участки. На участках де и са зависимость давления от объема имеет нормальный характер - давление уменьшается при увеличении объема.
Участок же ее соответствовал бы неестественному положению, когда сжатие вещества приводило бы к уменьшению давления. Наличие заведомо неосуществимого участка ее изотермы означает, что при постепенном изменении объема вещество не может оставаться все время в виде однородной среды; в некоторый момент должно наступить скачкообразное изменение состояния и распадение вещества на две фазы.
Другими словами, истинная изотерма будет иметь вид ломаной линии abfg. Часть ее ab отвечает газообразному состоянию вещества, а часть fg — жидкому состоянию. Горизонтальный же прямолинейный отрезок bf соответствует двухфазным состояниям — переходу газа в жидкость, происходящему (при заданной температуре) при определенном постоянном давлении. Можно показать, что отрезок bf должен быть расположен так, чтобы были одинаковы площади bed и def.
При повышении температуры прямолинейный участок изотермы уменьшается и обращается в нуль (на изотерме 2) при температуре, которая называется критической. Проходящая через эту точку изотерма 2 разделяет изотермы двух типов: монотонные изотермы вида 1 и изотермы 3, 4 с минимумами и максимумами, на которых неизбежно распадение вещества на две фазы (жидкость и газ). При критической температуре плотность пара (газа) становится равной плотности жидкости, и пар становится неотличим от жидкости.
Характеристики
Тип файла документ
Документы такого типа открываются такими программами, как Microsoft Office Word на компьютерах Windows, Apple Pages на компьютерах Mac, Open Office - бесплатная альтернатива на различных платформах, в том числе Linux. Наиболее простым и современным решением будут Google документы, так как открываются онлайн без скачивания прямо в браузере на любой платформе. Существуют российские качественные аналоги, например от Яндекса.
Будьте внимательны на мобильных устройствах, так как там используются упрощённый функционал даже в официальном приложении от Microsoft, поэтому для просмотра скачивайте PDF-версию. А если нужно редактировать файл, то используйте оригинальный файл.
Файлы такого типа обычно разбиты на страницы, а текст может быть форматированным (жирный, курсив, выбор шрифта, таблицы и т.п.), а также в него можно добавлять изображения. Формат идеально подходит для рефератов, докладов и РПЗ курсовых проектов, которые необходимо распечатать. Кстати перед печатью также сохраняйте файл в PDF, так как принтер может начудить со шрифтами.
















