br_2 (522413), страница 2
Текст из файла (страница 2)
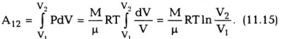
Используя уравнение (11.4), нетрудно доказать, что
2. Первое начало термодинамики
Обратимся теперь к энергетической стороне процесса изменения состояния какого-либо тела.
Любое тело (твердое, жидкое, газообразное),
находящееся в определенном состоянии, которое
характеризуется его макроскопическими
параметрами Р, V и Т, обладает определенным запасом внутренней энергии U. Внутренняя энергия тела складывается из кинетической энергии поступательного движения молекул, кинетической энергии вращения молекул, кинетической энергии движения атомов внутри молекулы (если молекула не одноатомная), потенциальной энергии взаимодействия между атомами и потенциальной энергии взаимодействия молекул между собой. В нее, однако, не входит кинетическая энергия движения тела как целого и потенциальная энергия внешних сил, действующих на тело.
помощью какого процесса произошел этот переход, и
Внутренняя энергия тела является функцией его состояния. Это означает, что при переходе
начальном и конечном состояниях. Если над телом совершается циклический процесс, в результате которого тело возвращается в исходное состояние, то изменение внутренней энергии за цикл
означает, что бесконечно малое изменение внутренней энергии dU при любом процессе является полным дифференциалом.
Внутреннюю энергию тела можно изменить двумя способами:
если оно ее отдает. В этом случае изменение внутренней энергии
2) Наше тело можно теплоизолировать и
предоставить телу возможность совершить работу 6А над окружающими телами. В первом случае б А
— положительной
случае изменение внутренней энергии
Если же тело может получать (или отдавать)
1) Привести тело в контакт с более нагретым или менее нагретым телом. При этом наше тело может получать или отдавать энергию, которая
46
Это важное соотношение выражает закон сохранения энергии при тепловых процессах. Его называют первым началом термодинамики.
Для конечного процесса
Наконец, при изотермическом процессе (Т = const)
Нетрудно доказать, что при циклическом процессе работа А числено равна площади петли цикла на диаграмме Р —V и положительна, если процесс происходит по часовой стрелке (рис.11.3).
процесса, с помощью которого тело переводится из состояния 1 в состояние 2. Поэтому говорят,
процесса (а не состояния, как внутренняя энергия U). Из (11.10) следует, что при циклическом
3. Работа при изменении объема
Рассмотрим теперь каждое из слагаемых, вхоляших в пепвое начало тепмолинамики (11.9).
При изменении объема от
производит над окружающими его телами механическую работу. Если объем тела увеличивается на dV, то тело совершает бесконечно малую или элементарную работу
4. Теплоемкость
Определим теперь количество теплоты, которое необходимо сообщить телу для его нагревания или отнять от тела для его охлаждения. Конечно, это количество теплоты зависит от массы тела и от того, на сколько градусов должна быть изменена его температура. Поэтому для характеристики тепловых свойств тела пользуются особой величиной — теплоемкостью.
По определению теплоемкостью тела С называется количество тепла, которое нужно подвести или отнять у тела для изменения его температуры на 1 К.
Теплоемкость, отнесенная к единице массы
тела М называется удельной теплоемкостью
и численно равна площади (см. рис.11.2) под кривой процесса на диаграмме зависимости
Следует отметить, что формулы (11.12) и (11.13) верны для любых тел. Найдем работу, которую совершает идеальный газ при различных процессах.
Теплоемкость, отнесенная к одному молю вещества, называется молярной теплоемкостью
Обе эти теплоемкости уже характеризуют не само тело, а вещество, из которого тело состоит. Из определения теплоемкости тела следует, что
Пусть нагревание происходит при постоянном объеме (V = const). Соответствующая теплоемкость называется теплоемкостью при постоянном
47
Следовательно, подводимое к телу тепло SQ расходуется на изменение температуры dT (изменение внутренней энергии) и изменение объема dV (с этим связана механическая работа).
или на основании (11.19):
Если при нагревании постоянным остается давление, то теплоемкость называется теплоемкостью при постоянном давлении СР:
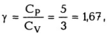
и показатель адиабаты
что хорошо согласуется с экспериментом.
Нетрудно показать, что выражение (11.22) можно записать через у:
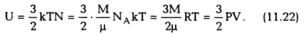
Для идеального газа
следовательно,
5. Внутренняя энергия газа
Начнем с нахождения внутренней энергии идеального газа, которая, как мы знаем, состоит из кинетической энергии поступательного движения молекул газа, кинетической энергии вращения молекул и из энергии колеблющихся внутри молекулы атомов. Каждый из этих трех видов движения вносит определенный вклад и в теплоемкость газа.
Легче всего определить внутреннюю энергию одноатомного идеального газа (таковы благородные газы Не, Ne, Аг), которая представляет собой просто сумму кинетических энергий поступательного движения его частиц. Поскольку по определению температуры средняя
Попытаемся теперь найти внутреннюю энергию идеального газа, состоящего из многоатомных молекул. Как мы знаем из предыдущей лекции, на каждую из трех поступательных степеней свободы приходится кТ/2 кинетической энергии. Согласно классической механике такой результат получился бы для всех вообще степеней свободы молекулы, связанных как с поступательным движением, так и с ее вращением и с колебаниями атомов в ней.
Действительно, в классической (в отличие от квантовой) физике доказывается так называемая теорема о равномерном распределении кинетической энергии по всем степеням свободы молекул. Эту теорему можно сформулировать так: если система молекул находится в состоянии теплового равновесия при температуре Т, то средняя кинетическая энергия равномерно распределена между всеми степенями свободы молекулы и для каждой степени свободы молекулы она равна кТ/2.
Мы знаем также, что при колебательном движении (см. лекцию 5) среднее значение потенциальной энергии равно среднему значению кинетической энергии, поэтому можно сделать вывод, что на одну колебательную степень свободы приходится энергия кТ (кТ/2
кинетической и кТ/2 потенциальной). В дальнейшем мы будем считать, что на колебательную (как на поступательную и вращательную) степень свободы приходится энергия кТ/2, но число колебательных степеней
будем удваивать.
Если обозначить полное число степеней свободы молекулы буквой i (с удвоенным количеством колебательных степеней), то внутренняя энергия газа из N таких молекул
то внутренняя энергия газа, состоящего из N одноатомных молекул
Поэтому его теплоемкости (на основании (11.17) и (11.21))
Его теплоемкости
48
Выражение для внутренней энергии (11.24) через у остается в силе.
В качестве примера рассмотрим газ, состоящий из двухатомных молекул. Полное число степеней свободы такой молекулы равно шести (шесть координат двух атомов). Поступательных степеней — три (три координаты центра масс молекулы), вращательных — две (вращение молекулы вокруг двух взаимно перпендикулярных осей, проходящих через центр масс и лежащих в плоскости, ортогональной оси молекулы). Остается одна колебательная степень свободы. Согласно (11.28)
сказывается на теплоемкости газа лишь при достаточно высоких температурах. При обычных температурах колебательные степени свободы как бы "заморожены" и не дают вклада в теплоемкость. В области комнатных температур теплоемкости двухатомных газов связаны лишь с поступательным и вращательными движениями молекул и очень близки к своим теоретическим значениям (i = 5)~
Найдем теперь внутреннюю энергию реального газа, подчиняющегося уравнению Ван-дер-Ваальса. Она включает в себя дополнительно к энергии идеального газа потенциальную энергию взаимодействия молекул между собой. Можно доказать, что внутренняя энергия моля реального газа
что не согласуется с опытом при обычных температурах.
Дело в том, что, как показывает квантовая теория, колебательное движение атомов
где а - постоянная, входящая в уравнение Ван-дер-Ваальса.
49
Лекция 12. ПРЕОБРАЗОВАНИЕ ТЕПЛОТЫ В РАБОТУ
















