br_1_ (522412), страница 8
Текст из файла (страница 8)
Эйнштейну удалось получить такие
преобразования, но для этого ему пришлось
отказаться от привычных представлений о
пространстве и времени. Так, согласно
Эйнштейну, время не является абсолютным
понятием, а течет по разному в разных ИСО (tVt).
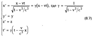
Эти преобразования имеют следующий вид:
условиях, когда верна механика Ньютона,
преобразования (8.3) автоматически переходят в
преобразования Галилея (8.1) Выразим теперь из
(8.7) x,y,z,t через x',y',z',t' (обратные
преобразования). Получаем:
Преобразования (8.7) и (8.8) называются
преобразованиями Лоренца, который нашел их
ранее, но чисто формальным путем. Дело в том,
что до создания СТО английским физиком
Д. Максвеллом была написана система уравнений,
описывающая электромагнитные и оптические
явления (уравнения Максвелла). Из этих
уравнений следовало, что свет в пустоте должен
распространяться со скоростью с в любой ИСО,
однако сами уравнения Максвелла оказались не
инвариантными относительно преобразований
Галилея. Лоренц же чисто формальным путем
нашел преобразования, относительно которых
уравнения Максвелла оказываются
инвариантными.
Произведем теперь переход от системы К к
системе К', воспользовавшись преобразованиями
Лоренца (8.8):
Мы не будем выводить преобразования
Лоренца, но для оправдания покажем, что именно
они обеспечивают отсутствие противоречия
между обоими постулатами СТО. Рассмотрим для
этого снова две ИСО К и К'. Предположим, что в
момент t = 0, когда начала О и О' систем К и К'
совпадают, в точке О (и О') происходит вспышка
света. Через время t свет распространяется в
системе К на расстояние ct и достигает
сферической поверхности с радиусом R = ct,
уравнение которой имеет вид
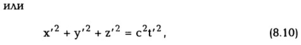
то есть снова получаем уравнение сферической
поверхности, но с центром в О'. Мы видим, что
благодаря преобразованиям Лоренца и
постоянству скорости света удовлетворяется и
первый постулат относительности: волна,
выходящая из общего начала координат при t = 0,
остается сферической как в системе К, так и в
системе К' относительно О'. На первый взгляд
кажется непонятным, каким образом
геометрическое место точек (сфера с центром в
О'), которых достигает свет в системе К', остается
сферой с центром в О в системе К. Этот
35
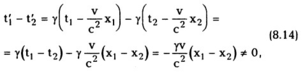
кажущийся парадокс связан с тем, что события,
одновременные в одной системе отсчета, не будут
одновременными в другой.
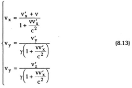
Найдем теперь, используя преобразования
Лоренца, теорему сложения скоростей в СТО.
Берем дифференциал соотношений (8.7):
Деля первые три равенства на четвертое,
получим:
При v/c « 1 эти преобразования переходят в
теорему сложения скоростей Галилея.
Обратные преобразования получаются из (8.12)
простым изменением знака перед v, то есть
3. Следствия из преобразований
Лоренца.
а) Относительность одновременности.
В классической физике считалось, что два
события, которые произошли одновременно в
одной ИСО, будут одновременными и в другой
понятие одновременности в СТО является
понятием относительным.
б) Сокращение длины.
Имеется стержень, длина которого, измеренная
в той ИСО, где он покоится, равна Lq. Эта длина
называется собственной длиной. Пусть стержень
покоится в системе К' и расположен вдоль оси у'
или z', тогда его собственная длина
В системе К длина движущегося со скоростью
v стержня
то есть поперечные движению стержня размеры
остаются неизменными. Если же стержень
расположен вдоль оси х' в системе К', то его
собственная длина
причем координаты х , и х 2 необходимо измерить
одновременно по часам в системе К (то есть при
ti=t2).
Подставляя преобразования Лоренца (8.7) в
(8.17), получим
то есть продольные размеры движущегося
стержня сокращаются в у раз. Нетрудно показать,
что стержень, покоящийся в системе К, тоже
сокращается в у раз с точки зрения наблюдателя,
находящегося в системе К'.
в) Замедление хода времени.
Промежуток времени между этими же
событиями в системе К
Промежуток времени между двумя
последовательными событиями, происшедшими в
одной точке пространства и измеренный по
неподвижным часам, расположенным в этой
точке, называется собственным промежутком
36
то есть с точки зрения наблюдателя в системе К
движущиеся часы (те, что покоятся в системе К')
идут в у раз медленней. Опять же нетрудно
показать, что с точки зрения наблюдателя в
системе К' идут медленнее те часы, которые
покоятся в системе К.
Рассмотрим в заключение некоторые примеры
сложения скоростей в СТО.
Пусть в системе К' движется частица вдоль
оси х' со скоростью v'x = 0.9с, а сама система К'
движется относительно К со скоростью v = 0.9с.
Какова скорость этой частицы в системе К?
Согласно преобразований Галилея скорость
частицы vx = v'x + v = 1.8с > с. Из преобразований
Лоренца (8.13)
Пусть теперь в системе К' движется вдоль х'
свет со скоростью v'x = с. Его скорость в системе
постулатом СТО, согласно которому скорость
света одинакова во всех инерциальных системах
отсчета.
37
Лекция 9. ДИНАМИКА СТО
Второй закон Ньютона в СТО; энергия свободной частицы; связь энергии и
импульса; эквивалентность энергии и массы.
1. Второй закон Ньютона в СТО.
Перейдем теперь к рассмотрению динамики
материальной точки (частицы) в теории
относительности.
Прежде всего заметим, что закон инерции
(первый закон Ньютона) является инвариантным
относительно преобразований Лоренца.
Действительно, если в некоторой ИСО К частица
движется с постоянной скоростью, то и в любой
другой системе К' скорость частицы согласно
преобразований Лоренца останется постоянной.
Второй же закон Ньютона, как мы знаем,
инвариантен относительно преобразований
Галилея, поэтому, согласно Эйнштейну, его
следуем так изменить, чтобы он стал
инвариантным относительно преобразований
Лоренца.
но изменить ньютоновское определение импульса
Оказывается, этого можно добиться, если
записать второй закон Ньютона через импульс
частицы р в классической форме (см. лекцию 2,
соотношение (2.8))
Следует отметить, что при выводе выражения
(9.2) исходили из требования выполнения закона
сохранения импульса для системы релятивистских
частиц.
Если частица движется со скоростью v<<c,
соотношение (9.2) переходит в классическое.
покоилась в начале координат при t = 0, начала
действовать постоянная сила f = [f, 0,0} ,
направленная вдоль оси ОХ. Найти скорость
частицы в зависимости от времени t.
Посмотрим, как ведет себя частица в СТО. Из
(9.1) следует:
Классическая частица будет двигаться
38
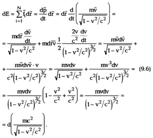
Исходя из (9.6), определим энергию свободной
частицы как
Дело в том, что при выборе const = -me2
преобразование Лоренца для скорости не
переходило бы в формулу сложения скоростей в
классической механике.
3. Связь энергии и импульса.
Обсудим теперь некоторые следствия из
полученных формул. Во первых, из определения
импульса (9.2) и энергии частицы (9.7) следует, что
импульс частицы связан с ее энергией
соотношением
Из этой формулы следует, в частности, что,
если какая —либо частица может двигаться со
скоростью v = c, то ее импульс связан с энергией
по формуле
Далее, возводя (9.2) в квадрат и вычитая из
полученного выражения Е2/с2 , получим
Второе слагаемое в (9.8) совпадает с
кинетической энергией частицы в классической
механике. Однако, при v = 0 энергия свободной
частицы (энергия покоя)
оказывается отличной от нуля. Таким образом,
СТО приводит к новому, весьма важному выводу:
всякая частица или тело, обладающее массой т.
обладает вместе с тем энергией покоя тс2.
Естественно тогда определить кинетическую
энергию частицы в СТО, как
Это выражение переходит в классическое,
если скорость частицы v « с . На первый взгляд
может показаться, что определение энергии (9.7)
является произвольным. Поскольку энергия
найдена из дифференциального соотношения (9.6),
ее можно определить как
таким образом энергия при v«с будет
совпадать с кинетической энергией частицы в
классической механике. В действительности,
однако, легко показать, что константу следует
положить равной нулю, как это было сделано в
(9.7).
лекции), инвариантной относительно
преобразований Лоренца, так как справа в (9.12)
стоит масса частицы, одинаковая во всех ИСО.
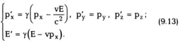
Отсюда следует, что при переходе от системы К к
системе К' (или наоборот) компоненты импульса
x,y,z и t. Делая в (8.7) соответствующие замены,
получим:
4. Эквивалентность массы и энергии
Рассмотрим теперь неупрутое столкновение
двух частиц. Предположим, что две одинаковые
частицы массой m движутся в системе К
навстречу друг другу вдоль оси ОХ с одинаковыми
скоростями v. Тогда
















