vopros-otvet (519806), страница 8
Текст из файла (страница 8)
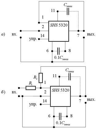
Между выводами 7 и 11 можно подключать внешний конденсатор параллельно внутреннему, имеющему ёмкость 100 пФ. В этом случае между выводами 6 и 8 должен быть включён конденсатор с ёмкостью 0,1Свнеш. Интересно обратить внимание, что вывод 2, соединённый с инвертирующим входом операционного усилителя ОУ1 обозначен «+ вх.», а вывод 1, наоборот, «– вх.». Это не ошибка, и это становится очевидным, когда с использованием внешних соединений микросхема превращается в УВХ (рис. 9.29).
В варианте рис. 9.29, б к основной функции УВХ добавляется усиление (коэффициент усиления ; в варианте рис. 9.29, а К = 1). Присоединение конденсаторов показано пунктиром, чтобы отметить необязательность.
Рис. 9.29. Внешние соединения, превращающие микросхему SHC 5320 фирмы Burr-Brown в УВХ: не инвертирующее включение (а); инвертирующее (б)
21. Распределение мощности в спектре периодического сигнала.
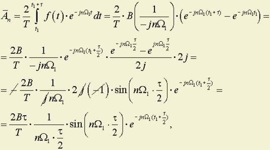
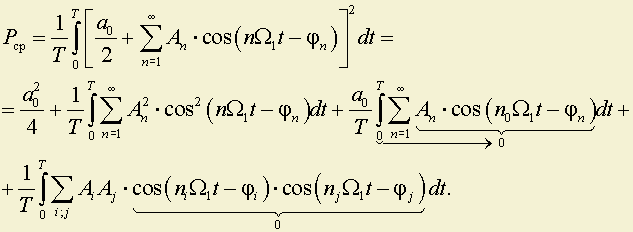
Средняя мощность периодического сигнала может быть представлена в циклах периода:
и ƒ(t) может быть представлена так:
.
Если подставить ƒ(t) в Pср, то получим
-
Квадраты входят в
. -
Интеграл за период от произведения косинусоид кратных частот равен 0.
-
;
;
.
Таким образом, средняя мощность, выделяемая сложным периодическим сигналом в активном сопротивлении, равна сумме средних мощностей, выделяемых в этом сопротивлении отдельными гармониками тока и его постоянной составляющей.
Средняя мощность не зависит от фаз гармоник.
Это означает, что изменение формы сигнала, получающееся при нарушении фазовых соотношений внутри спектра, не связано с изменением средней мощности сигнала, то есть для определения средней мощности начало отсчета не играет роли.
22. Спектр периодической последовательности прямоугольных импульсов. Пример.
Реальные устройства систем связи и управления содержат инерционные элементы (индуктивности, емкости). Поэтому невозможно передавать по такой системе гармонические составляющие сколь-угодно больших и малых частот.
Очевидно, что передавать следует гармонические составляющие с относительно большими амплитудами, содержащими большую долю энергии.
Поэтому вводится понятие практической ширины спектра сигнала.
К нему можно подходить с 2-х точек зрения:
1. Сохранить основную энергию сигнала, т.е. учитывать ширину спектра, в которой сосредоточена подавляющая часть энергии сигнала.
Рис. 10.3
2. Сохранить не только энергию, но и форму сигнала. Это требование резко расширяет требуемую полосу частот.
Пример
Найти спектр периодической последовательности прямоугольных импульсов.
Рис. 10.4
Дано:
где t1 – любой момент времени относительно некоторого начала отсчета t = 0.
Можно записать:
то есть
Амплитуда гармоники:
Постоянная составляющая
.
При n ® Ґ An ® 0; An – промодулированы 1/n убывающими синусоидами, то есть убывание довольно резкое (до N-ой гармоники).
Положим для определенности = T/4, тогда
;
.
1. Постоянная составляющая
3.
4.
5.
6.
7.
8.
9.
и т.д.
Рис. 10.5
Огибающая этого спектра определяется:
где Ω = n · Ω1.
Фазы гармоник Ψ – зависят от выбора начала отсчета во времени – t1.
Частоты нулевых амплитуд:
;
;
.
При
, Q = 4,
,
то есть 4Ω1; 8Ω1; 12Ω1 ... .
Определим практическую ширину спектра для сигнала.
– скважность, Q = 2.
Рис. 10.6
Примем за практическую ширину спектра сумму гармоник, которые несут > 0.9 энергии сигнала.
;
;
;
;
,
то есть практически можно ограничиться спектром в 2÷3Ω1, так как вклад остальных гармоник невелик.
Что произойдет со спектром, если Q ® Ґ,
, то есть
® 0? Определим качественно каков спектр периодической последовательности очень узких импульсов.
1. Соседние спектральные составляющие появляются через интервал
.
2. Энергия одной составляющей падает:
так как
® 0.
3. Положение первого нуля отодвигается в бесконечность:
;
.
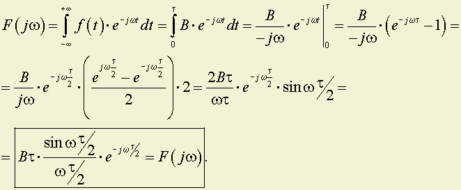
23. Спектр одиночного прямоугольного импульса. Пример.
Рис. 10.8
Модуль функции F(jω) равен:
.
;
периоды нулей ®
;
.
Рис. 10.9
Отсюда спектр одиночной импульсной δ-функции Дирака находится из предыдущего, если:
B = 1/ при ® 0, то
;
.
Рис. 10.10
Рассмотренные ранее спектры относятся к функциям, ограниченным во времени, т.к. для них требуется выполнение условия:
.
Пример.
24.Теорема Парсеваля о распределении энергии в спектре непериодического сигнала.
Пусть непериодический сигнал описывается функцией ƒ(t). Тогда энергию, выделяемую сигналом на сопротивлении в 1 ом, можно записать:
.
Предположим, что ƒ(t) абсолютно интегрируема (интеграл сходится). Выразим энергию W через модуль спектральной характеристики F(ω).
Квадрат модуля спектра амплитуд можно представить в виде:
,
где F(–jω) – комплексно-сопряженная функция от спектральной характеристики F(jω).
;
Согласно определению можно записать:
.
Рассмотрим выражение:
и поменяем очередность интегрирования
.
Однако в соответствии с обратным преобразованием Фурье:
.
Или окончательно:
.
Оказывается, что энергия при интегрировании квадрата временной функции во временном интервале равняется энергии при интегрировании квадрата модуля спектра амплитуд по всему интервалу частот (теорема Парсеваля).
25. Взаимосвязь между длительностью импульса и шириной его спектра.
Понятие о текущем и мгновенном спектрах.
Спектр одиночного импульса имеет следующий вид:
Рис. 10.16. Спектр одиночного импульса
Из спектра одиночного импульса ясно, что чем меньше , тем шире спектр. При ® 0 – спектр равномерный; а при = Ґ – имеем на спектре одну постоянную составляющую.
Эта связь вытекает непосредственно из общего свойства преобразования Фурье.
Пусть ƒ(t) соответствует спектр F(ω).
Изменим масштаб функции ƒ(t) по оси времени в a раз и рассмотрим спектр функции aƒ(at):
,
заменим переменные at = z; adt = dz; t = z/a, то есть длительность функции ƒ(t) уменьшится в a раз, во столько же раз возрастет ширина ее спектра.
Вопрос о соотношении между длительностью импульса и шириной его спектра имеет громадное практическое значение. В вычислительной технике необходимы короткие и мощные импульсы и в тоже время требуется, чтобы спектр импульса был как можно уже, так как широкие спектры вызывают трудности при создании аппаратуры.
Эти требования противоречивы.
Возникает вопрос: нельзя ли найти такие сигналы, которые обладали бы ограниченным спектром и одновременно ограниченной длительностью? Формализм преобразования Фурье этого не позволяет, однако для реальных сигналов могут быть введены разумные ограничения, которые позволяют ограничить либо Δt, либо Δƒ, либо и то и другое.
Наиболее удобным в этом смысле, как мы уже говорили ранее, является энергетический критерий. При этом можно представить себе следующие модели сигналов:
1. Сигналы ограничены во времени. Спектр – неограничен теоретически; физически он всегда ограничен и учитывается только та часть спектра, где сосредоточена подавляющая часть энергии сигнала.
2. Сигналы имеют ограниченный спектр, то есть математически это периодические, неограниченные во времени сигналы. Фактически, реальный процесс всегда ограничен во времени, поэтому учитывается только интервал времени, в котором сосредоточена подавляющая часть всей энергии сигнала.
где t0 – часто задается естественно: для симметричного импульса t0 = 0; для одиночного так же t0 = 0 и формула имеет вид:
.
3. Сигналы, у которых и длительность (Δt) и ширина спектра (Δƒ) ограничены как интервалы, в которых сосредоточена подавляющая часть энергии сигнала. Математический аппарат преобразования Фурье дает в этом случае приближенные разультаты.
При ограничениях по Δt и Δƒ можно поставить следующую задачу – отыскать такую форму сигнала, для которой произведение Δt · Δƒ достигает min.
Такому условию соответствует импульс, имеющий колоколообразную форму, которая описывается кривой Гаусса (кривой нормального распределения).
Рис. 10.17. Кривая Гаусса
Произведение Δt · Δƒ может быть уменьшено только до определенного предела:
Δt · Δƒ ≈ const > 0,
где const зависит от выбора определения Δƒ и Δt.
Приведем значения Δt · Δƒ для различных видов сигналов в предположении, что
,
где η = 0.9.
Δt · Δƒ – max для импульсов с разрывом (экспонента, прямоугольник); меньше для импульсов с разрывом в первой производной (треугольник и косинусоидальный) и наименьшее значение у колоколообразного импульса, у которого функция непрерывна со всеми своими производными.
Наиболее плодотворной и близкой к реальной действительности является модель с ограниченным спектром.
Этому способствует тот факт, что спектр мощности реального сигнала достаточно быстро спадает вне интервала частот, на который приходится основная часть мощности.















