vopros-otvet (519806), страница 3
Текст из файла (страница 3)
Рассмотрим примеры на расчет энтропии по Шеннону и сравним ее с информацией по Хартли.
Пример 1
Какое количество информации (по Шеннону) получено, если стало известно точно на какое поле шахматной доски, какого цвета и какая фигура поставлена?
Черный король на поле h7.
Воспользуемся формулой: I = –log pчкрh7, где
pчкph7 – вероятность оказаться черному королю на поле h7. Эта вероятность получается от одновременного наступления трех событий: выбрали черные фигуры ( pч=1⁄2 ), короля ( pкр=1⁄16 ) и поле h7 ( ph7=1⁄64 ).
Так как события независимые, то pчкрh7 = pч · pкр · ph7 и, следовательно,
бит.
Аналогично рассуждая можно подсчитать количество информации для любой фигуры, учитывая, что вероятность выбора пешки – 1\2; слона, ладьи и коня –1\8; а ферзя и короля –1\16.
Подсчитайте самостоятельно количество информации для разных фигур и среднее количество информации на одну фигуру.
Ответ должен получиться – 2,125[бит].
6. Энтропия нескольких источников информации.
Пусть имеются два источника X и Y , которые выдают события {x1; x2;...xi;...xn} и {y1; y2;...yj;...ym}. Рассмотрим одновременное наступление двух событий xi и xj. Вероятность его появления обозначим p(xi; yj), а вероятности появления любых пар (xi; yj) составят матрицу ||p(xi; yj)||, где 1 ≤ i ≤ n, а 1 ≤ j ≤ m.
Количество информации, которое будет получено от факта наступления события (xi; yj) будет равно I = –log p(xi; yj).
Среднее количество информации на одну пару, или энтропия объединения двух событий подсчитывается по формуле:
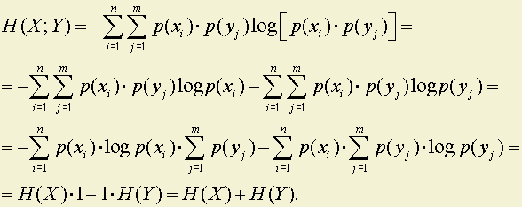
Для независимых случайных событий X и Y вероятность совместного наступления объединения двух событий xi и yj определяется как произведение вероятностей появления каждого из этих событий, то есть p(xi; yj) = p(xi) · p(yj). Учитывая это энтропию объединения можно подсчитать по следующей формуле:
то есть энтропия объединения двух независимых источников X и Y равна сумме энтропий этих источников. То же можно утверждать об энтропии объединения многих независимых случайных источников, то есть
.
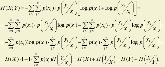
Вероятность совместного наступления объединения двух взаимозависимых событий p(xi; yj) подсчитывается как произведение вероятности появления одного из них на условную вероятность появления второго при условии, что имеет место факт появления первого события, то есть
.
Учитывая это, энтропию объединения двух взаимозависимых источников следует считать по иному:
Где
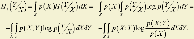
– условная энтропия источника Y относительно события xi;
H(Y⁄X) – условная энтропия источника Y относительно источника X, так как при расчете учитываются все состояния, которые может принимать источник X.
Для объединения из трех взаимозависимых источников X; Y; Z можно записать:
H(X; Y; Z) = H(X) + H(Y⁄X) + H(Z⁄X;Y).
Для объединения двух взаимозависимых событий можно записать пределы, в которых может меняться его энтропия:
max[H(X); H(Y)] ≤ H(X; Y) ≤ H(X) + H(Y), то есть
энтропия объединения всегда больше энтропии одного из источников, но меньше суммы их энтропий. Первое утверждение верно, когда имеет место линейная зависимость одного из источников от другого, а второе – когда источники независимы.
Рассмотрим пример расчета энтропии объединения двух источников. Пусть нам задана матрица ||p(xi; yj)|| следующего вида:
На матрицу наложены следующие ограничения:
.
Требуется определить H(X; Y) тремя способами:
Надо определить источники X и Y взаимозависимы или нет.
Матрицу ||p(xi; yj)|| можно задать самим при условии, что m и n не более четырех, а можно запросить у ЭВМ, которая ее (матрицу) сгенерирует.
При расчетах следует учитывать, что
;
7. Энтропия непрерывного источника. Относительная энтропия.
При попытке оценить неопределенность непрерывной случайной величины (с непрерывным множеством возможных состояний) – появляются особенности.
-
«Непрерывность» имеет смысл только для количеств, то есть объект с непрерывным множеством возможных состояний – это количественная случайная величина.
-
Распределение вероятности по состояниям характеризуется в этом случае плотностью вероятности p(x). Плотность вероятности величина размерная. Размерность обратная размерности случайной величины X, так как вероятность p(x)·dx безразмерна.
Переход к безразмерной случайной величине X, проведем путем деления размерной случайной величины X* на единицу ее измерения X0. Тогда и плотность вероятности будет безразмерной. Разобьем всю область (–Ґ; +Ґ) возможных значений случайной величины X на интервалы, разделенные отстоящими на равных расстояниях Δx друг от друга интервалами (x-1; x0;...xk;...).
Всякий раз, когда реализуется значение x О (xk; xk + Δx) будем считать, что реализовалось значение xk величины X.
Рис. 2.3
Таким образом перешли к дискретной случайной величине, которая характеризуется распределением вероятностей. Вероятность наступления какого-либо состояния равна
.
Очевидно, что при Δx ® 0 квантованная величина Xд будет все более и более полно отражать все свойства непрерывной величины X. С другой стороны, к величине Xд (дискретной) можно применить понятие энтропии
.
Устремим Δx ® 0. При достаточно малых Δx примем
. Поэтому
Таким образом предел энтропии H(Xд) за счет второго члена (–log Δx) стремится к бесконечности при Δx ® 0. Убедившись в том, что непрерывные случайные величины не допускают введения конечной абсолютной меры неопределенности, введем относительную меру. В качестве стандарта для сравнения можно брать неопределенность какого-либо простого распределения, например – равномерного в интервале шириной e. Разделим интервал e также на участки Δx и подсчитаем
.
Будем характеризовать неопределенность непрерывной случайной величины X числом, к которому стремится разность энтропий квантованных величин Xд (случайной величины X любого распределения) и Xд;равн(случайной величины, распределенной по равномерному закону на интервале e):
.
Эта разность конечна.
Если взять за стандарт неопределенность случайной величины, равномерно распределенной в единичном интервале, то есть принять (e = 1), то
.
Число He=1(X) обычно и называют относительной энтропией непрерывной случайной величины. По численному значению относительной энтропии различные источники сообщения можно сравнить между собой.
Относительная энтропия характеризуется теми же свойствами, что и энтропия дискретного источника:
1. Не зависит от конкретного содержания случайной величины.
2. Энтропия объединения двух независимых источников выражается формулой:
.
3. Энтропия объединения двух статистически зависимых источников:
,
где
.
4. He(X; Y) ≤ He(X) + He(Y).
5. Всякое сглаживание функций распределения p(X) ведет к росту He(X).
Рис. 2.4
Hε1(X) < Hε2(X).
Исключение составляет лишь то, что He(X) может принимать отрицательные значения, так как He(X) – это разность энтропий, а случайная величина X может быть распределена на небольшом интервале меньшем, чем (e = 1).
Примеры.
Подсчитайте относительную энтропию непрерывного источника, имеющего следующий закон распределения плотности вероятности случайной величины X:
1.
Рис. 2.5
He(x) = 0.
2.
Рис. 2.6
He(x) = –1;
.
3.
Рис. 2.7
He(x) = 1;
.
8. Избыточность источника сообщений.
Из энтропийных оценок источников сообщений, ясно, что она зависит от статических характеристик самих сообщений. Энтропия максимальна при равномерном появлении букв на любом месте сообщения. Для характеристики источника сообщений с различным алфавитом представляет интерес сравнение фактической энтропии источника с максимально возможной. В этом смысле введено понятие избыточности источника сообщений или избыточности алфавита.
,
где Hmax = log M;
M – количество различных букв в алфавите;
H(X) – средняя энтропия на одну букву.
Избыточность источника R показывает на сколько хорошо используются буквы в данном источнике. Чем меньше R, тем большее количество информации вырабатывается источником на одну букву. Однако, не всегда необходимо стремиться к R = 0. С повышением избыточности повышается помехоустойчивость (надежность) источника. Выяснение количества избыточности важно потому, что мы должны вводить ее разумно, чтобы получить максимальный эффект помехозащищенности, а не полагаться на стихию. Например, избыточность любого языка оказывается порядка 50-70%, то есть если бы все буквы имели одинаковую вероятность использования и можно было бы использовать любые комбинации букв, то среднюю длину слова можно было бы значительно уменьшить. Однако разбираться в этой записи было бы значительно труднее, особенно при наличии ошибок (лектора или студента).
Современные системы связи построены без учета ограничений, существующих в языке, а поэтому не достаточно эффективны, так как они приспособлены для передачи равновероятных букв алфавита, которые могут следовать друг за другом в любых комбинациях.
Колоссальная избыточность присуща телевизионным изображениям: естественно передавать не весь кадр, а только информацию соответствующую тому, чем отличается один кадр от другого. Этим можно существенно сократить требуемую (в среднем) полосу частот.















