vopros-otvet (519806), страница 5
Текст из файла (страница 5)
.
-
Спектр частот – Fy.
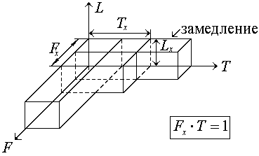
Эти три параметра позволяют представить любой сигнал в трехмерном пространстве с координатами L; T; F в виде параллелепипеда с объемом Ty; Fy; Ly.
Произведение Qx = Tx · Fx · Lx – носит название объем сигнала.
Qk = Tk · Fk · Lk – объем канала.
Для того, чтобы сигнал мог быть передан по каналу, необходимо выполнение условий:
Tx ≤ Tk ; Fx ≤ Fk ; Lx ≤ Lk , (11.1)
т.е. сигнал должен полностью уместиться в объеме Qk .
Если Qx ≤ Qk , но если условие (11.1) не выполняется, тем не менее сигнал может быть преобразован так, что передача окажется возможной, если Qx ≤ Qk .
Рассмотрим взаимосвязь между количеством информации и объемом сигнала.
Максимальное количество информации, которое можно передать по каналу связи в течение времени наблюдения Tk = Tx, равно
,
где Fmax – полоса частот сигнала, равная спектру импульсов, следующих с частотой
.
Если Px >> Pξ, то
,
т.е. количество информации, которое может быть пропущено по данному каналу, примерно равно объему канала, если мощность сигнала намного больше мощности помехи.
Рассмотрим теперь, каким явлениям соответствуют различные преобразования объема сигнала, применяемые с целью согласования с каналом, т.е. для выполнения условия (11.1).
Рис. 11.4. Перенос сигнала по оси времени
Рис. 11.5. Перенос по оси L
Перенос по оси L означает усиление или ослабление сигнала при неизменном превышении.
Рис. 11.6. Перенос по оси частот F
Перенос по оси частот F соответствует однополосной модуляции с несущей частотой F0.
F0 – меняется, а ΔFx – остается неизменным.
Амплитудная модуляция
,
где
или
или
.
Рис. 11.7
Используя:
,
получим:
с боковыми частотами
.
Для восстановления сигнала достаточно набора одной боковой частоты.
Изменяя ω0, можно двигаться по оси частот.
Рассмотрим теперь преобразования (деформации) без изменения объема сигнала.
Рис. 11.8
Изменение Tx и Fx возможно путем записи сообщения на магнитную ленту с последующим воспроизведением с замедлением (T – возрастает, F – уменьшается) или ускорением (T – уменьшается, F – возрастает).
Такое преобразование позволяет согласовать сигнал с каналом, имеющим полосу пропускания меньшую, чем спектр первоначального сообщения.
Другим примером деформации с изменением объема служит изменение системы кодирования.
Предположим max значение ƒ(t) = ƒmax и кодирование осуществляется в системе
,
т.е. ƒ(t) заменяется на ƒ*(Δt · k).
Переход от h = m к h = 2 позволяет уменьшить среднюю мощность закодированного сигнала и, следовательно, уменьшить превышение
.
Но если время передачи считается неизменным и равным Δt, в интервале Δt должен будет уместиться не один импульс, а l = log2m импульсов. При этом ширина каждого импульса уменьшится, а спектр сигнала увеличится в "l" раз и будет равен Fx' = l · Fx.
Если же оставить неизменным спектр Fx, то должно увеличиться время Tx' = l · Tx.
Показана взаимосвязь L; T; F:
(L ® в T и F);
(T ® в L и F);
(F ® в L и T),
т.е. передача возможна, если Qсигн = Qканала, что можно достичь взаимным преобразованием L; T и F.
Решим задачу.
Рассчитайте пропускную способность линии связи, если Fmax лс = 10 кгц; динамический диапазон равен 30 дб.
Решение.
1.
.
2.
ищется из условия
. Откуда получаем
.
Возможно и другое решение.
1. 30 дб соответствуют 5 двоичным разрядам АЦП, т.к. один двоичный разряд соответствует 20 log 2 = 20 · 0.301 ≈ 6 дб.
2. Интервал между измерениями равен
.
3. Пропускная способность линии связи определяется
.
Результат получили тот же.
Но во втором варианте решения задачи мы предположили, что передаются за одно измерение пять разрядов АЦП. Если их превратить в последовательность символов, то динамический диапазон сократится с 30 до 6 дб и пропускная способность канала упадёт до Vлс = 2Fmax лс = 20 кгц.
12. Пропускная способность непрерывного канала с помехами.
пропускная способность непрерывного канала с шумом
это теоретический предел скорости передачи информации по каналу связи при ограниченной средней мощности передаваемых сигналов и при наличии аддитивной помехи в виде белого шума с ограниченным спектром.
Так как энергетический спектр помехи типа "белого шума" равномерен в пределах 0 ÷ Fmax, мощность Pξ можно выразить через удельную мощность P0 на единицу частоты; тогда формула примет следующий вид:
.
При Fmax ® Ґ Ckmax – растет до предела
Cпред – ограничение, вносимое помехой с уровнем мощности P0 на 1 герц частоты, которое не может быть превышено без увеличения мощности сигнала.
Если плотность распределения P(x) непрерывных сообщений, вырабатываемых источником, отличается от гауссовской, то Cпред будет меньше.
Пропускная способность канала, определяемая формулой
,
есть предельная скорость передачи информации по каналу со сколь угодно редкими ошибками. Достигается путем применения сложных методов преобразования и кодирования. Передаваемый сигнал должен быть – "белым шумом" – некоррелированный, т.е. имеющий равномерный энергетический спектр.
Если помеха имеет неравномерный энергетический спектр, то скорость передачи информации может быть увеличена путем перераспределения мощности сигнала с увеличением её на участках спектра, где мощность помехи меньше.
Канал с неравномерным спектром помехи имеет большую пропускную способность. Следовательно, помеха типа "белого шума" обладает наихудшей пропускной способностью и наихудшей спектральной характеристикой.
Шенноном получены так же оценки пропускной способности каналов при ограничении пиковой мощности сигнала, что всегда имеет место на практике, т.к. передатчик обладает конечной мощностью.
Верхняя граница определяется следующим соотношением для больших сигналов
;
;
для малых сигналов
;
,
где P'x – пиковая мощность сигнала.
Снизу пропускная способность ограничена неравенством
.
13. Классификация методов преобразования непрерывной информации в дискретную форму.
Различают следующие методы дискретизации и восстановления непрерывных функций:
Рис. 9.2
1. По регулярности отсчетов (равномерная и неравномерная).
Для равномерной дискретизации (Δti = Δtk = const) шаг дискретизации выбирается на основе априорных сведений о характеристиках сигнала.
При неравномерной дискретизации (Δt – var) интервал между отсчетами изменяется по случайному закону или с учетом изменения характеристик сообщения (адаптивная дискретизация). Адаптивная дискретизация характеризуется более сложными алгоритмами и устройствами дискретизации и восстановления, но позволяет значительно сократить число избыточных отсчетов.
2. По критериям выбора отсчетов и оценки точности воспроизведения.
Мы рассмотрим следующие критерии отбора отсчетов:
-
частотный критерий Котельникова, при котором интервалы между отсчетами выбираются с учетом частотного спектра дискретизируемого сигнала;
-
корреляционный критерий отсчетов Железнова Н.А., устанавливающий связь интервалов между отсчетами с интервалом корреляции сигнала (для сигналов с неограниченным спектром).
3. По точности воспроизведения.
Дискретизация происходит по величине той или иной ошибки воспроизведения на интервале дискретизации (по max отклонению, по величине среднеквадратичной ошибки, по величине интегральной ошибки)
;
;
.
4. По способу воспроизведения:
-
воспроизведение с экстраполяцией – не требует задержки сигнала на интервал дискретности;
-
воспроизведение с интерполяцией – требует задержки сигналов на интервал интерполяции.
5. По виду воспроизводящей функции.
Подбор воспроизводящих функций y(t), которые при минимальном числе членов ряда разложения обеспечивали бы необходимую точность воспроизведения, в общем случае связан с определенными сложностями.
Выбор типа воспроизводящих функций в основном определяется требованиями ограничения сложности устройств дискретизации и восстановления сигналов.
Основные типы функций, применяемых в качестве воспроизводящих:
-
ряд Котельникова;
-
ряд Фурье;
-
полиномы Чебышева;
-
полиномы Лежандра;
-
полиномы Хаара, Уолша;
-
степенные полиномы.
14. Теорема дискретизации Котельникова В.А. и ее особенности.
В качестве достаточно универсальной модели сигнала принимается случайный процесс.
Пусть каждая из реализаций этого случайного процесса представляет функцию с ограниченным спектром ω ≤ ωmax = 2πƒmax.
В этом случае для преобразования непрерывного сигнала в дискретно-непрерывный можно использовать теорему Котельникова.
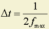
В 1933 году Котельникова В.А. доказал, что сигнал, описываемый функцией с ограниченным спектром, полностью определяется дискретным рядом значений, отсчитанных через максимально допустимые интервалы времени
,
где ƒmax – максимальная частота в спектре сигнала.
Следовательно, если требуется передать сигнал, описываемый дискретной функцией ƒ(t) с ограниченным спектром, то достаточно передавать отдельные мгновенные значения, отсчитанные через конечный промежуток времени
. По этим значениям непрерывный сигнал может быть полностью восстановлен на выходе системы:
.
Это положение объясняется тем, что отсутствие высших гармоник в составе ƒ(t) накладывает ограничения на способы, которыми могут быть соединены каждые две соседние точки.
Рис. 9.3
Доказательство состоит в разложении функции ƒ(t) в особого рода ряд.
В общем случае
,















