vopros-otvet (519806), страница 9
Текст из файла (страница 9)
В инженерной практике принимают (в первом приближении независимо от формы сигнала):
Δt · Δƒ ≈ 1.
Практически, независимо от формы сигнала содержится > 90% энергии.
Примеры.
1. Если Tимп = 3млсек, то какая требуется полоса частот, чтобы пропустить основную долю энергии?
.
2. Какова длительность телевизионных импульсов, если FTVmax = 6мггц?
.
3. Какова min длительность импульсов, проходящих по телефонному каналу?
4. При передаче трансцоидального импульса происходит его искажение. Чаще всего это сглаживание (показано пунктиром). На рис. 10.18. показаны длительность импульса и длительности фронтов (переднего и заднего). Из приведенных соотношений видно, что для сохранения фронтов требуется значительно более широкий спектр, чем для передачи основной энергии импульса.
Рис. 10.18
Если сохранить фронт, то:
так как
, то ΔFф >> ΔFимп.
Реальный физический процесс не может быть в точности предсказан, так как сведения о нем мы получаем в результате наблюдений. Мы не можем выполнить интегрирование в бесконечных пределах, а только до настоящего, текущего момента. Прошлое же нам может быть известно (в принципе). Поэтому наряду со спектром, в котором полагали функцию ƒ(t) не ограниченной по времени, т.е.
используется характеристика
,
которая называется текущим спектром.
Очевидно, имеет смысл понятие о спектре, изменяющемся во времени, и отражающем свойства процесса в данный момент.
Простейшее определение мгновенного спектра
,
то есть мгновенный спектр определен как спектр процесса длительностью T, непосредственно предшествующего данному моменту t, то есть мы имеем дело со скользящим интегрированием: интервал интегрирования имеет постоянную длину, но перемещается по оси времени.
Более общее определение мгновенного спектра состоит в том, что в подинтегральное выражение вводится скользящая, то есть связанная со временем весовая функция.
Определение принимает вид:
.
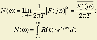
26. Спектральная плотность мощности случайного процесса.
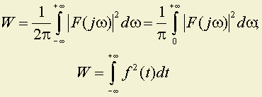
Мы научились представлять на спектральной оси:
-
периодические сигналы;
-
непериодические, но ограниченные во времени.
Но не научились представлять:
-
непериодические, неограниченные во времени случайные сигналы.
К случайной функции непосредственно применить преобразование Фурье нельзя, поскольку она не определени точно. Однако для любой из реализаций ƒν(t) конечной длительности T можно найти преобразование Фурье Fν(jω), то есть
,
где
– общая энергия ν-той реализации случайной функции ƒ(t);
|Fν(jω)| – модуль спектральной функции ƒ(t) для ν-той реализации.
Средняя мощность ν-той реализации может быть подсчитана по формуле:
,
где
– спектральная плотность ν-той реализации случайной функции ƒ(t).
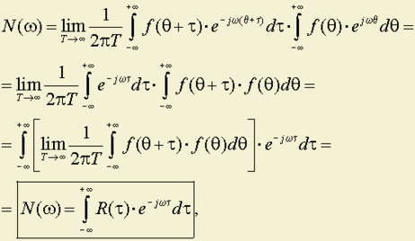
Если T ® Ґ, то
Восстановить реализации процесса как функции времени по энергетическому спектру в принципе нельзя.
Получить N(ω) практически сложно, так как требуется усреднить много реализаций случайной функции ƒν(t).
Для эргодических процессов достаточной является одна достаточно длинная реализация, так как для них среднее по множеству можно заменить средним по времени, то есть:
Найдем иную запись для энергетического спектра случайного прочесса
Учитывая это, можно записать
Если θ и ν – находятся в следующем взаимоотношении: t = θ + τ; dt = dτ, то
где
–
автокорреляционная функция случайного процесса ƒ(t).
По аналогии с преобразованием Фурье:
Спектр случайного процесса может быть задан только энергетически:
Рис. 10.20
Для белого шума τ0 – время корреляции стремится к нулю и корреляционная функция стремится к δ-функции.
Рис. 10.21
Таблица 10.1
| Вид сигнала | Его спектр – спектр амплитуд | Энергетический спектр – энергия |
| 1. Периодический, бесконечный во времени | ||
|
| где An – амплитуда гармоник |
|
| 2. Спектр сигнала непериодического ограниченного во времени | ||
|
|
|
|
| 3. Спектр случайного процесса – энергетический | ||
|
|
|
|
27. Цели кодирования. Эффективное кодирование. Методы эффективного
кодирования. Его недостатки.
Цели изучения темы «Эффективное кодирование».
Целями изучения темы «Эффективное кодирование» являются умения:
-
Вести эффективное кодирование разных дискретных источников, как с независимыми последовательностями букв, так и взаимозависимыми и особенно для источников, которые могут быть описаны разными моделями. Для этого необходимо уметь считать энтропию таких разных источников информации.
-
Усвоить и применять критерий эффективного кодирования.
-
Уметь считать величины выигрышей при применении эффективного кодирования. Для этого необходимо изучить теорию, освоить решение задач, выполнить лабораторную работу и ответить на вопросы коллоквиума.
-
Строить кодирующие и декодирующие устройства.
Задачи эффективного кодирования.
Эффективное кодирование решает задачу более компактной записи сообщений, вырабатываемых источником за счет их перекодировки. И применяется практически во всех архиваторах типа Rar, Zip и др. Особенностью этих архиваторов является то, что они позволяют сжать информацию в относительно небольшое число раз (в 2-3, max в 4 раза), но при этом происходит полное восстановление сжатой информации «бит в бит».
Если же не требуется восстановление информации «бит в бит», то применяются другие методы перекодировки, позволяющие достичь сжатия в десятки раз. Они основываются на изучении закономерностей создания сообщений источником, изучении свойств самого источника и понимания того, насколько необходимо сохранять начальную информацию для потребителя.
Например, при передаче речи можно не передавать ее «бит в бит», а допускать искажения, которые получатель голосового сообщения просто не заметит из-за нечувствительности слухового аппарата человека к этим изменениям. При этом сохранится и разборчивость речи, и узнаваемость голоса, и ее эмоциональная окраска. Частичная потеря этих качеств увеличивает ее сжатие. Еще раз подчеркнем, что эффективное кодирование это сжатие и восстановление информации «бит в бит».
Метод Хафмена
От указанного недостатка свободна методика Хаффмена. Она гарантирует однозначное построение кода с наименьшей для данного распределения вероятностей средним числом символов на букву.
Для двоичного кода методика сводится к следующему. Буквы алфавита выписываются в порядке убывания вероятностей в один столбец. Две последние буквы объединяются в одну вспомогательную букву, которой приписывается суммарная вероятность. Полученные буквы снова выстраиваются в дополнительный столбец, в котором вспомогательная буква из предыдущего столбца в новом столбце ставится в соответствии с ее суммарной вероятностью (в дополнительном столбце вспомогательные буквы подчеркнуты), а две последние буквы снова объединяются в одну. Процесс продолжается до тех пор, пока не получим единственную вспомогательную букву с вероятностью равной 1. По данной методике составим таблицу.
Таблица 3.5
| 1 | 2 | 3 | 4 | 5 | 6 | 7 | код | ||
| Z1 | 0,22 | 0,22 | 0,22 | 0,26 | 0,32 | 0,42 | 0,58 | 1 | 01 |
| Z2 | 0,20 | 0,20 | 0,20 | 0,22 | 0,26 | 0,32 | 0,42 | 00 | |
| Z3 | 0,16 | 0,16 | 0,16 | 0,20 | 0,22 | 0,26 | 111 | ||
| Z4 | 0,16 | 0,16 | 0,16 | 0,16 | 0,20 | 110 | |||
| Z5 | 0,10 | 0,10 | 0,16 | 0,16 | 100 | ||||
| Z6 | 0,10 | 0,10 | 0,10 | 1011 | |||||
| Z7 | 0,04 | 0,06 | 10101 | ||||||
| Z8 | 0,02 | 10100 |
Для составления кодовой комбинации, соответствующей данному сообщению, необходимо проследить путь перехода сообщения по строкам и столбцам таблицы. Для наглядности строится кодовое дерево. Из точки, соответствующей вероятности 1, направляются две ветви, причем ветви с большей вероятностью направляются влево и им приписывается символ 1, с меньшей – 0. Такое последовательное ветвление продолжаем до тех пор, пока не дойдем до вероятности появления каждой буквы.















