vopros-otvet (519806), страница 6
Текст из файла (страница 6)
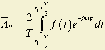
где
.
В данном, частном случае имеем
.
В момент времени
;
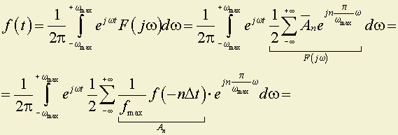
Функция же F(jω) на конечном промежутке (–ωm; ωm) может быть разложена в ряд Фурье по частотам следующим образом (путём её периодического продолжения с периодом 2ωm на весь интервал частот ω от –∞ до ∞)
;
;
где
;
Рис. 9.4
Из сравнения (9.1) и (9.2) следует
.
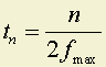
Таким образом коэффициенты An пропорциональны значениям функции ƒ(t) в дискретные момента времени
.
Коэффициенты An полностью определяют F(jω), а последняя полностью определяет функцию ƒ(t). Следовательно, знание значений функции ƒ(t) в моменты времени
достаточно для полного определения функции ƒ(t).
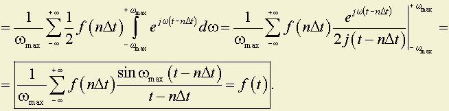
Рассмотрим теперь восстановление функции ƒ(t) по её значениям в моменты времени tn.
F(jω) – периодическая;
ƒ(t) – в пределах 1-го периода.
если заменить на f(nΔt), то изменится знак в e–jnΔtω
Восстановление идет по функции.
1. f(nΔt) – значения f(t) в моменты времени nΔt.
2.
– функция, принимающая max = 1 в точке t = nΔt, а в остальных точках kΔt, где k ≠ n равна нулю, так как t = kΔt, то
.
Рассмотрим смысл этого выражения.
Рис. 9.5
Свойства ряда Котельникова:
1. Каждое слагаемое превращается в нуль при всех значениях, при которых
(уже показали).
2. Для восстановления истинного значения функции в любой момент времени, кроме точек отсчета, нужно вычислять бесконечную сумму ряда. Это существенный недостаток теоремы Котельникова.
3. Теорема Котельникова применима лишь для сигналов с ограниченным спектром, т.е. принципиально для сигналов бесконечных во времени.
Несмотря на указанные недостатки, теорема Котельникова широко используется на практике при наличии ограничений на спектр сигнала.
15. Корреляционный критерий дискретизации.
Отличительные свойства непрерывного сигнала в модели Железнова Н.А. следующие:
-
спектр сигнала сплошной и отличен от нуля на всей оси частот;
-
сигнал имеет конечную длительность;
-
рассматриваемые сигналы могут быть представлены как стационарными, так и нестационарными случайными функциями;
-
функция корреляции равна нулю вне интервала корреляции
.
Длительность сигнала Т должна быть во много раз больше
:
Т >>
.
Неограниченность спектра и конечная длительность сигнала являются большими преимуществами этой модели: она в большей степени соответствует свойствам реальных сигналов, чем модель В.А. Котельникова.
Единственным ограничением в этой модели является ограничение функции корреляции, которая имеет вид, показанный на рисунке.
Рис. 9.6
Это означает, что соседние значения функции отсчитанные через промежуток времени больший, чем , могут считаться независимыми.
.
Для стационарных случайных сигналов, обладающих перечисленными выше свойствами Н.А. Железновым было показано, что они могут быть представлены системой линейного прогнозирования со среднеквадратичной ошибкой
, как угодно мало отличающейся от нуля, лишь в промежутке времени, равном интервалу корреляции
.
Таким образом, для непрерывного сигнала конечной длительности Т (при условии, что T >> ) число некоррелированных отчётов не превышает величины N.
.
Следовательно, дискретизация непрерывной функции с интервалом обеспечивает возможность безошибочного восстановления значений непрерывной функции внутри интервалов с помощью системы линейного прогнозирования.
Интервал корреляции для реальных сигналов определяется следующим образом.
Вводится понятие эффективной полосы частот сигнала
,
где NXmax – максимальное значение спектральной плотности мощности сигнала.
,
а
.
Δωэфф = 2πΔƒэфф – эффективная полоса частот сигнала.
Графически эффективная полоса частот представляет собой основание прямоугольника с высотой Nmax и площадью, равной площади, ограниченной кривой спектральной плотности мощности сигнала и осью ординат.
Рис. 9.7
.
16. Адаптивные методы дискретизации.
На каждом интервале дискретизации
находится некоторая функция yj(t) выбранного типа в предположении, что она наилучшим образом (в смысле выбранного показателя качества) будет отображать функцию x(t) на этом интервале
.
Указанное условие проверяется и, если необходимо и возможно, то находится новая функция, наилучшим образом воспроизводящая функцию x(t).
На интервале
регистрируются отсчёты значений функции xj(t) или некоторые характеристики функции yj(t) – например, коэффициенты разложения, по которым можно восстановить исходную функцию с погрешностью, не превышающей допустимую.
Рассмотрим в качестве воспроизводящих функций функции нулевой и первой степеней.
Нулевая степень воспроизводящей функции
Воспроизводящая функция y(t) на отрезке выбирается следующим образом:
Рис. 9.15
-
y(ti) = x(ti);
-
вычисляем разность Δ = x(t) – y(ti) = x(t) – x(ti);
-
сравниваем Δ с ε;
-
ti + 1 – момент времени, когда |Δ| = ε;
-
y(ti + 1) = x(ti + 1) и т.д.
Первая степень приближающего многочлена
а) Экстраполяционный метод
|x(t) – (ƒ(ti) + ƒ'(ti)Δti)| ≤ ε на отрезке [ti, ti + 1].
Рис. 9.16
б) Интерполяционный метод (обладает большой помехоустойчивостью)
Δ = |x(t) – kΔti| ≤ ε0.
Рис. 9.17
В зависимости от результата сравнения принимается решение либо о дальнейшем увеличении отрезка [ti, ti + 1], либо о формировании выборки сигнала x(ti).
Для выполнения этой дискретизации необходимо:
-
хранить сигнал ƒ(t) на отрезке [ti, ti + 1];
-
проводить значительный объем вычислительных операций (аппаратно или программно).
Реализация способа более сложная, чем экстраполяционного, но число отсчетов существенно сокращается.
Ещё больше сокращается число отсчетов, если принять в качестве воспроизводящей функции полиномы Чебышева или Лежандра второй степени.
17. Квантование по уровню. Шум квантования.
ринцип квантования по амплитуде заключается в том, что вводятся фиксированные уровни сигнала и все значения функции ƒ(t), находящейся между введенными фиксированными уровнями, относятся к одному из них.
Весь вопрос заключается в выборе величины одного кванта сигнала.
Величина кванта выбирается из практических соображений. Практически мы никогда не можем измерить точно значение функции в какой-нибудь момент времени из-за наличия неизбежных помех и искажений.
Рассмотрим некоторые виды искажений.
Рис. 9.8
1. Дрейф нуля во времени.
Рис. 9.9
Смещение функции Xвых = Y(Xвх).
2. Изменение Кус со временем.
Рис. 9.10
3. Нелинейность преобразования.
Рис. 9.11
Если эти искажения могут быть каким-либо образом предсказаны и следовательно тем или иным способом скомпенсированы, то влияние случайной помехи предсказать нельзя.
Естественно нет смысла передавать точно измеренное значение, если не известно, что измерено: сама передаваемая величина или она не изменилась, а на нее наложилась помеха.
Рис. 9.12
Yвых = Y(Xвх) + ξ – аддитивная помеха;
Yвых = Y(Xвх) · ξ – мультипликативная помеха.
Если мы хотим быть уверены в том, что передается новое значение, т.е. величина x(t) действительно изменилась, то мы должны выбирать дискретную шкалу так, чтобы помеха не превосходила половины интервала между соседними уровнями.
При этом, приняв сигнал некоторой величины мы относим его к ближайшему дискретному значению.
Механизм квантования на передающем конце сводится к тому, что вместо данного мгновенного значения передаваемой величины (при непрерывном сообщении) передается ближайшее дискретное значение. Ближайшие сообщения отличаются на величину Δx, которую называют шагом квантования.
Таблица 9.1
| n · Δt | 1 | 2 | 3 | 4 | 5 | 6 | 7 | 8 | 9 |
| n · Δx | 1 | 2 | 3 | 3 | 3 | 3 | 3 | 4 | 6 |
Рис. 9.13
Ясно, что квантование сопровождается искажением, т.к. полученные импульсы воспроизводят сигнал не точно.
Разность между квантованными импульсами и импульсами функции ƒ(k · Δt) высотой в n(k · Δt) · Δy образует последовательность импульсов
ξ(k · Δt) = ƒ(k · Δt) – n(k · Δt) · Δy,
которая называется шумом квантования.
18 . ЦАП.
О терминах
На рис. 9.18 показаны входные и выходные величины ЦАП и АЦП.
Рис. 9.18. Входные и выходные величины ЦАП и АЦП
Напомню: названия «цифроаналоговый» и «аналого-цифровой» не очень удачны:
-
на самом деле не «цифра», а код;
-
«аналоги» в ЦАП и АЦП разные: в ЦАП это квантованная величина, а в АЦП – непрерывная.
Непрерывная величина может принимать бесчисленное множество значений в пределах определённого диапазона, а квантованная – конечное множество.
Между тем, термины ЦАП и АЦП прочно вошли в научно-технический обиход и мы их не будем трогать, но будем знать отмеченную условность.
На входе ЦАП и на выходе АЦП имеет место двоичный код числа
















