(1) (1264492), страница 2
Текст из файла (страница 2)
.
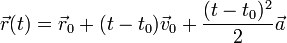
Ускорение точки при прямолинейном движении
Если вектор
не меняется со временем, движение называют равноускоренным. При равноускоренном движении справедливы формулы:
.
Частным случаем равноускоренного движения является случай, когда ускорение равно нулю в течение всего времени движения. В этом случае скорость постоянна, а движение происходит по прямолинейной траектории (если скорость тоже равна нулю, то тело покоится), поэтому такое движение называют прямолинейным и равномерным.
Равноускоренное движение точки всегда является плоским, а твёрдого тела — плоскопараллельным (поступательным). (Обратное, вообще говоря, не верно)
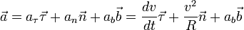
Ускорение точки при движении по окружности
w = wτ + wn
Тангенциальное ускорение — направлено по касательной к траектории, обозначается wτ (aτ). Является составляющей вектора ускорения a. Характеризует изменение скорости по модулю.
Центростремительное или Нормальное ускорение — возникает при движении точки по окружности, обозначается wn. Является составляющей вектора ускорения w. Вектор нормального ускорения всегда направлен к центру окружности, а модуль равен:
Угловое ускорение — показывает, на сколько изменилась угловая скорость за единицу времени, и, по аналогии с линейным ускорением, равно:
Направление вектора здесь показывает, увеличивается или уменьшается модуль скорости. Если векторы углового ускорения и скорости сонаправлены, значение скорости растёт, и наоборот.
Ускорение точки при движении по кривой
Разложение ускорения по сопутствующему базису для движения в плоскости
Вектор ускорения
можно разложить по сопутствующему базису
:
,
где
-
v — величина скорости,
-
— единичный касательный к траектории вектор, направленный вдоль скорости (касательный орт), -
— орт нормали к траектории, -
— орт бинормали к траектории, -
R — радиус кривизны траектории.
Известно, что
, называемое бинормальным ускорением, всегда равно нулю.
Векторы
и
называются касательным (тангенциальным) и нормальным ускорениями соответственно.
Ускорения в твёрдом теле
Основная статья: Кинематика твёрдого тела
Связь ускорений двух точек можно получить, продифференцировав формулу Эйлера для скоростей по времени:
,
где
— вектор угловой скорости тела, а
— вектор углового ускорения тела.
Второе слагаемое называется осестремительным ускорением.
Ускорение при сложном движении
Основная статья: Сложное движение
Абсолютное ускорение равно сумме относительного, переносного и кориолисова:
.
















