ФХОМНТ_Электроэрозионная_обработка_Журнал (1245583)
Текст из файла
Московский государственный технический университет им. Н. Э. Баумана
Кафедра ИУ-4
«Проектирование и технология производства ЭА»
Журнал
практических работ
по курсу: «ФИЗИКО-ХИМИЧЕСКИЕ ОСНОВЫ МИКРО И НАНОТЕХНОЛОГИЙ (ФХОМНТ)»
Для студентов приборостроительных специальностей
20 / учебный год
Студент Группа
(фамилия, и. о.)
Преподаватель_______________ Допуск к экзамену (зачету)___________ Подпись____________
(фамилия, и. о.) (число)
Москва
2018
Программа
к учебному плану направления подготовки 551100 (654300)
ПРОЕКТИРОВАНИЕ И ТЕХНОЛОГИЯ ЭЛЕКТРОННЫХ СРЕДСТВ,
специальностям
220500 Проектирование и технология электронно-вычислительных средств и
200800 Проектирование и технология радиоэлектронных средств.
| Виды учебной работы | Объем в часах по семестрам | ||
| Всего | 1 семестр | 0 | |
| 1. Контактная работа обучающихся с преподавателем по видам учебных занятий (всего) | |||
| Аудиторная работа (всего) | 68 | 68 | |
| 34 | 34 | |
| 17 | 17 | |
| 17 | 17 | |
| 2. Самостоятельная работа обучающихся (СР) (всего) | 34 | 34 | |
| 15 | 15 | |
| 6 | 6 | |
| 4 | 4 | |
| 9 | 9 | |
| |||
| |||
| Вид промежуточной аттестации обучающегося | Зачет | ||
| Отчет по практической работе № 2 «РАСЧЕТ ПАРАМЕТРОВ ЭЛЕКТРОЭРОЗИОННОЙ ОБРАБОТКИ МЕТАЛЛОВ» | |||
| дата | Оценка | Бонус за Сложность | подпись |
Цели работы:
Задачи работы:
Задание повышенной сложности (бонус за сложность – 5 баллов):
-реализация в среде MATLAB методики расчета технологических режимов электроэрозионной обработкидеталейв виде интерактивной программы (с возможностью задания вида материала детали и ее размеров).
Краткий конспект теоретической части (ответы на контрольные вопросы.Теоретическая часть изложена в файле Электроэрозионная_обработка.pdf)
| 1. щиты основы деталей от коррозии. ______________________________________________________________________________________________________________________________________________________________________________________________________________________________________________________________________________________________________________________________________________________________________________________________________________________________________________________________________________ 2. ______________________________________________________________________________________________________________________________________________________________________________________________________________________________________________________________________________________________________________________________________________________________________________________________________________________________________________________________________________ 3. Виды вида. _________________________________________________________________________________________________________________________________________________________________________________________________________________________________________________________________________________________________________________________________________________________________________________________________ 4. ___________________________________________________________________________________________________________________________________________________________________________________________________________________________________________________________________________________________________________________________________________________________________________________________________________________________________________________________________________________________________________________________________________________________ 5. ______________________________________________________________________________________________________________________________________________________________________________________________________________________________________________________________________________________________________________________________________________________________________________________________________________________________________________________________________________ 6. Что ___________________________________________________________________________________________________________________________________________________________________________________________________________________________________________________________________________________________________________________________________________________________________________________________________________________________________________________________________________________________________________________________________________________________ 7. С ______________________________________________________________________________________________________________________________________________________________________________________________________________________________________________________________________________________________________________________________________________________________________________________________________________________________________________________________________________ 8. Какое ___________________________________________________________________________________________________________________________________________________________________________________________________________________________________________________________________________________________________________________________________________________________________________________________________________________________________________________________________________________________________________________________________________________________ 9. ___________________________________________________________________________________________________________________________________________________________________________________________________________________________________________________________________________________________________________________________________________________________________________________________________________________________________________________________________________________________________________________________________________________________ 10. и комплексных солей. ___________________________________________________________________________________________________________________________________________________________________________________________________________________________________________________________________________________________________________________________________________________________________________________________________________________________________________________________________________________________________________________________________________________________ 11. ___________________________________________________________________________________________________________________________________________________________________________________________________________________________________________________________________________________________________________________________________________________________________________________________________________________________________________________________________________________________________________________________________________________________ 12. ________________________________________________________________________________________________________________________________________________________________________________________________________________________________________________________________________________________________________________________________________________________________________________________________________________________________________________________________________________________________________________________________________________________________________________________________________________________________________ 13. _____________________________________________________________________________ _____________________________________________________________________________ _____________________________________________________________________________ _____________________________________________________________________________ _____________________________________________________________________________ _____________________________________________________________________________ _____________________________________________________________________________ _____________________________________________________________________________ _____________________________________________________________________________ _____________________________________________________________________________ _____________________________________________________________________________ _____________________________________________________________________________ _____________________________________________________________________________ _____________________________________________________________________________ _____________________________________________________________________________ |
Расчет количественных характеристик процесса электроэрозионной обработки
Резка металлической пластины проволочным электродом-инструментом.
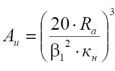
1.Расчет энергии импульсов Аи, Дж. Данные для расчета согласно варианту задания Приложение 1:
Используя формулы, изложенные в [2,6], энергию импульса равна:
где Ra (мкм) - высота микронеровностей обработанной поверхности, при подстановке в формулу перевести в метры.
β1 – коэффициент перекрытия лунок;
кн – экспериментальный коэффициент, учитывающий материал обрабатываемых заготовок, м/Дж1/3;
Характеристики
Тип файла документ
Документы такого типа открываются такими программами, как Microsoft Office Word на компьютерах Windows, Apple Pages на компьютерах Mac, Open Office - бесплатная альтернатива на различных платформах, в том числе Linux. Наиболее простым и современным решением будут Google документы, так как открываются онлайн без скачивания прямо в браузере на любой платформе. Существуют российские качественные аналоги, например от Яндекса.
Будьте внимательны на мобильных устройствах, так как там используются упрощённый функционал даже в официальном приложении от Microsoft, поэтому для просмотра скачивайте PDF-версию. А если нужно редактировать файл, то используйте оригинальный файл.
Файлы такого типа обычно разбиты на страницы, а текст может быть форматированным (жирный, курсив, выбор шрифта, таблицы и т.п.), а также в него можно добавлять изображения. Формат идеально подходит для рефератов, докладов и РПЗ курсовых проектов, которые необходимо распечатать. Кстати перед печатью также сохраняйте файл в PDF, так как принтер может начудить со шрифтами.
















