ФХОМНТ_Электроэрозионная_обработка_Журнал (1245583), страница 2
Текст из файла (страница 2)
2. Определить необходимую емкость С (Ф) зарядного конденсатора вырезного станка электроэрозионной обработки.
где Uпр – среднее напряжение пробоя, В: Uпр ≈ 0,75 ∙ Uх.х , где
Uх.х – напряжение холостого хода, В согласно варианту задания Приложение 1
-
Определить силу тока короткого замыкания Iк (А) через емкость С (мкФ) по формуле
-
Определить среднее значение силы тока
Iср= 0,5∙Iк
5
. Определить частоту следования импульсов f (Гц)
6. Определить период повторения τпр (с) и длительность импульсов τи(с):
где q – скважность импульсов (отношение периода следования (повторения) импульсов к длительности импульса) согласно варианту задания Приложение 1.
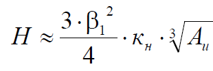
7. Определить толщину дефектного слоя Н (мкм)
Величина Н характеризует вероятность возникновения микротрещин на отработанной поверхности заготовки. Если Н ≥ 100 мкм, то, независимо от материала обрабатываемой заготовки, появление микротрещин неизбежно, что в свою очередь может повлиять на
прочность и другие эксплуатационные свойства детали, изготовленной с помощью электроэрозионной обработки.
Предложить варианты изменения параметров обработки с целью снижения вероятности получения микротрещин.
____________________________________________________________________________
____________________________________________________________________________
____________________________________________________________________________
____________________________________________________________________________
8. Нарисовать кинематическую схему электроэрозионной обработки проволочным электродом-инструментом.
Место для рисования схемы.
| 9. Сформулируйте выводы по работе |
| _____________________________________________________________________________ _____________________________________________________________________________ |
Контрольные вопросы
1. Какие материалы обрабатываются методом ЭЭО?
2. Что служит анодом, а что – катодом при обработке заготовки методом ЭЭО?
3. Объясните физическую модель метода ЭЭО.
4. Назовите виды инструментов и используемые для изготовления деталей методом ЭЭО.
5. Какие формы поверхностей можно получить методом ЭЭО?
6. Назовите основные параметры режима ЭЭО.
7. Каково назначение, свойства и виды диэлектрической жидкости?
8. Перечислите движения электрода-инструмента и заготовки, используемые при формообразовании.
9. Перечислите преимущества метода электроэрозионной обработки по сравнению с
обработкой металлов резанием
10. Под действием чего при электроэрозионной обработке происходит изменение формы, размеров, шероховатости поверхности заготовки?
11. Какой материал может быть заготовкой при ЭЭО?
12. Какие рабочие жидкости применяются при ЭЭО?
13. Какой рабочий инструмент может быть применен при ЭЭО?
СПИСОК ЛИТЕРАТУРЫ
1. Машиностроение: в 40 т.: Разд. 3: Технология производства машин /
Суслов А. Г.; Ред.-сост. А. Г. Суслов; отв. ред. П. Н. Белянин. – М. :
Машиностроение, 2002. – Т. 3-3: Технология изготовления деталей машин. –
840 с.
2. Нерубай, М. С. Физико - технологические методы обработки и
сборки: учеб.пособие / М. С. Нерубай, В. В. Калашников, Б. Л. Штриков,
С. И. Яресько. – М. : Машиностроение – 1, 2005. – 396 с.
3. Свифт, К. Г. Выбор процесса от разработки до производства /
К. Г. Свифт, Дж. Д. Букер. – М. : Издательский дом «Технологии», 2006. –
400 с.
4. Схиртладзе, А. Г. Технологические процессы в машиностроении:
учебник для машиностроит. спец. вузов / А. Г. Схиртладзе. – М. : Высшая
школа, 2007. – 927 с.
5. Технологические процессы в машиностроении : учебник / С. И. Бо-
годухов, А. Г. Схиртладзе, Р. М. Сулейманов, А. Д. Проскурин; под общ.
ред. проф., д-ра техн. наук С. И. Богодухова. – Старый Оскол : ТНТ,
2011. – 624 с.
6. Технологические процессы в машиностроении : учебник / А. Г.
Схиртладзе, С. Г. Ярушин. – Старый Оскол : ООО «ТНТ», 2007. – 524 с.
7. Григорьев, С.Н. Технология обработки концентрированными пото-
ками энергии: учеб.пособие / С. Н. Григорьев, Е. В. Смоленцов, М. А. Во-
лосова. – Старый Оскол : ТНТ, 2009. – 280 с.
8. Крупенников, О. Г. Лабораторный практикум по электрофизиче-
ским и электрохимическим методам размерной обработки : учеб.пособие /
О. Г. Крупенников, Д. В. Кравченко ; под ред. Л. В. Худобина. –
Ульяновск :УлГТУ, 2012. – 83 с.
Приложение №1
Варианты номеров для выполнения задания
Номер варианта соответствует порядковому номеру ФИО студента в списке группы.
| Номер варианта | Ra, мкм | β1 | кн, м/Дж1/3 | q | Uхх, В | Материал заготовки |
| 1 | 6,3 | 1,5∙10-3 | 55 | 14 | 110 | Сталь 45 |
| 2 | 6,3 | 1,5∙10-3 | 55 | 20 | 120 | Сталь 45 |
| 3 | 3,2 | 1,4∙10-3 | 50 | 10 | 25 | 20Х |
| 4 | 3,2 | 1,4∙10-3 | 50 | 15 | 40 | 20Х |
| 5 | 3,2 | 1,4∙10-3 | 70 | 20 | 50 | ХН77ТЮР |
| 6 | 3,2 | 1,5∙10-3 | 20 | 20 | 140 | ВК6 |
| 7 | 6,3 | 1,5∙10-3 | 20 | 22 | 60 | ВК6 |
| 8 | 6,3 | 1,5∙10-3 | 30 | 25 | 150 | ВК15 |
| 9 | 6,3 | 1,4∙10-3 | 30 | 30 | 130 | ВК15 |
| 10 | 3,2 | 1,5∙10-3 | 130 | 17 | 110 | АЛ6 |
| 11 | 6,3 | 1,4∙10-3 | 130 | 20 | 125 | АЛ6 |
| 12 | 3,2 | 1,4∙10-3 | 110 | 15 | 55 | Д1 |
| 13 | 6,3 | 1,5∙10-3 | 110 | 40 | 160 | Д1 |
| 14 | 12,5 | 1,5∙10-3 | 70 | 22 | 60 | М1 |
| 15 | 3,2 | 1,4∙10-3 | 55 | 12 | 35 | Сталь 45 |
| 16 | 1,6 | 1,5∙10-3 | 55 | 5 | 175 | Сталь 45 |
| 17 | 1,6 | 1,3∙10-3 | 50 | 6 | 180 | 20Х |
| 18 | 1,6 | 1,3∙10-3 | 50 | 7 | 185 | 20Х |
| 19 | 1,6 | 1,3∙10-3 | 70 | 8 | 190 | ХН77ТЮР |
| 20 | 1,6 | 1,3∙10-3 | 20 | 9 | 195 | ВК6 |
| 21 | 0,8 | 1,3∙10-3 | 20 | 4 | 200 | ВК6 |
| 22 | 0,8 | 1,2∙10-3 | 30 | 3 | 175 | ВК15 |
| 23 | 0,8 | 1,1∙10-3 | 30 | 4 | 180 | ВК15 |
| 24 | 0,8 | 1,1∙10-3 | 130 | 5 | 185 | АЛ6 |
| 25 | 0,9 | 1,1∙10-3 | 130 | 5 | 190 | АЛ6 |
















