ФХОМНТ_расчет_гальванического_режима_Журнал (1245581), страница 2
Текст из файла (страница 2)
_____________________________________________________________________________
_____________________________________________________________________________
_____________________________________________________________________________
Расчет количественных характеристик процесса гальванопокрытия
1.Расчет общей площади детали согласно варианту задания:
Общая площадь поверхности детали равна сумме площадей двух торцевых поверхностей Sторц и сумме площадей внутреннего Sвнутр и внешнего Sвнеш цилиндров.
Площадь кольца Sторц = π(R2-r2), где R - внешний радиус кольца, r - внутренний радиус кольца. Площадь боковой поверхности цилиндра Sвнеш = 2πRL, Sвнутр=2πrL.
Sторц =
Sвнутр =
Sвнеш =
Sобщ = 2Sторц + Sвнутр + Sвнеш
2. Расчет привеса детали при покрытии, то есть масса осажденного никеля толщиной h.
Δmg = Sобщ∙h∙ρ
Где ρ - плотность никеля = 8902 кг/м3
-
Выход по току (доля тока, расходуемая на протекание основной реакции – осаждения металла)определяется по формуле
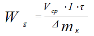
где Δmg - привес детали при покрытии, г; qM - электрохимический эквивалент
металла покрытия, г/А ч; I - сила тока (рассчитывается как плотность тока, умноженная на площадь детали), А; τ - время покрытия, час.
-
Удельный расход электроэнергии (кВтч/м2):
н
а 1 м2 покрываемой поверхности
где S - поверхность детали, см2; I - сила тока, А; τ - время покрытия, час;
V ср - среднее напряжение на ванне, В.
Р
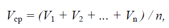
асчет V ср проводится по формуле
где V1 .V2 ... Vn - напряжение на ванне на разных этапах процесса; n - число замеров.
В расчете принять Vср = 10 В.
5. Удельный расход электроэнергии на 1 кг осажденного металла (кВтч/кг):
Таблица №2 Результаты расчетов
| Продолжительность процесса, час | Сила тока, А | Плотность катодного тока, jk А/дм2 | Привес детали, г | Напряжение на ванне Vср,В | Средняя толщи- на покрытия, мкм (по привесу) | Вт, Выход по току % | |
6. На основании данных табл.2 построить графики зависимостей времени покрытия от заданной толщины при плотностях тока 1, 2 и 3 А/дм2
7. Вклеить или нарисовать полученные графики.
Место для вклеивания или рисования графика
8. Нарисовать качественную картинку реального профиля детали после осуществления гальванического покрытия. (В каких местах толщина покрытия больше, а в каких меньше. Уметь устно объяснить причину разнотолщинности гальванического покрятия).
| 9. Сформулируйте выводы по работе |
| _____________________________________________________________________________ _____________________________________________________________________________ |
Контрольные вопросы
1. Классификация гальванических покрытий по их назначению и виду защиты основы деталей от коррозии.
2. Виды электролитов цинкования, их сравнительные достоинства и недостатки.
3. Виды электролитов никелирования, назначение электролитов разноговида.
4. Назначение операций предварительной подготовки поверхности деталей перед гальванопокрытием. Назовите эти операции.
5. Причины снижения выхода по току при нанесении гальванопокрытий.
6. Что такое электродная поляризация? Какой знак имеют катодная и анодная поляризации?
7. Какое влияние оказывает величина катодной поляризации на качество металлопокрытия?
8. Какое влияние на качество металлопокрытия оказывает межэлектродное расстояние?
9. Для чего в электролиты гальванопокрытий обычно вводят электропроводные добавки?
10. Как пористость гальванического покрытия влияет на процесс протекания коррозии стальных деталей покрытых цинком и никелем?
11. Какой выход по току в процентах в кислых электролитах и комплексных?
12. В каком случае наступает пассивирование анодов?
13. Принцип выбора необходимой толщины гальванопокрытий.
СПИСОК ЛИТЕРАТУРЫ
1. Практикум по прикладной электрохимии / под ред. В.Н. Кудрявцева,
В.Н. Варыпаева. - Л. : Химия, 1990.
2. Мельников, П.С. Справочник по гальванопокрытиям в машинострое-
нии / П.С. Мельников. - М. : Машиностроение, 1991.
3. Грилихес, С.Я. Электролитические и химические покрытия / С.Я. Гри-
хелис, К.И. Тихонов. - Л. : Химия, 1990.
4. Гальванотехника. Справочник / Ф.Ф. Ажогин, М.А. Беленький, И.Е. Галль.
- М. : Металлургия, 1987.
5. Гальванические покрытия в машиностроении / под ред. М.А. Шлугера. -
М. : Машиностроение, 1985.
6. Оборудование цехов электрохимических покрытий / под ред. П.М. Вяче-
славова. - Л. : Машиностроение, 1987.
7. Дасоян, М.А. Технология электрохимических покрытий / М.Я. Дасоян,
И.Я. Пальмская, Е.В. Сахарова. - Л. : Машиностроение, 1989.
8. Прикладная электрохимия / под ред. А.П. Томилова. - М. : Химия, 1984.
9. Прикладная электрохимия / под ред. А.Л. Ротиняна. - Л. : Химия, 1974.
10. Справочник по электрохимии / под ред. А.М. Сухотина.- Л. : Химия, 1981.
11. Флеров, В.Н. Сборник задач по прикладной электрохимии / В.Н. Фле-
ров. - М. : Высшая школа, 1987.
12. Грилихес, С.Я. Электролитическое полирование / С.Я. Грилихес. - Л. :
Машиностроение, 1985.
13. Ильин, В.А. Технология изготовления печатных плат / В. А. Ильин. -
Л. : Машиностроение, 1984.
14. Ильин, В.А. Цинкование, кадмирование, лужение, свинцевание /
В.А. Ильин - Л. : Машиностроение, 1984.
15. Кудрявцев, Н.Т. Технология электрохимической обработки металлов /
Н.Т. Кудрявцев, А.Д. Давыдов. - М. : Высшая школа, 1984.
17. Флеров, В.Н. Химическая технология в производстве радиоэлектрон-
ных деталей / В.Н. Флеров. - М. : Радио и связь, 1988.
18. Хенли, В.Н. Анодное оксидирование алюминия и его сплавов / В.Ф. Хен-
ли. - М. : Металлургия, 1986.
19. Шалкаускас, М.И. Химическая металлизация пластмасс / М. И. Шал-
каускас, А. Ю. Вашкялис. - М. : Химия, 1985.
20. Баймаков, Ю.В. Электролиз в гидрометаллургии / Ю.В. Баймаков,
А.И. Журин. - М. : Металлургия, 1977.
21. Кипарисов, С.С. Порошковая металлургия / С.С. Кипарисов, Г.А. Ли-
бенсон. - М. : Металлургия, 1980.
22. Мазанко, А.Ф. Промышленный мембранный электролиз / А.Ф. Мазан-
ко, Г.М. Камарьян, О.П. Ромашин. - М. : Химия, 1989.
23. Якименко, Л.М. Производство водорода, кислорода, хлора и щелочей /
Л.М. Якименко. - М. : Химия, 1981.
24. Якименко, Л.М. Электрохимический синтез неорганических соедине-
ний / Л.М. Якименко, Г.А. Серышев. - М. : Химия, 1984.
96
25. Варыпаев, В.Н. Химические источники тока / В.Н. Варыпаев, М.А. Да-
соян, В.А. Никольский. - М. : Высшая школа, 1989.
26. Дасоян, М.А. Основы расчета, конструирования и технологии производ-
ства свинцовых аккумуляторов / М.А. Дасоян, И.А. Агуф. - Л. : Энергия, 1978.
27. Теньковцев, В.В. Основы теории и эксплуатации герметичных никель-
кадмиевых аккумуляторов / В.В. Теньковцев, Б.И. Центер. - Л. :Энергоатомиз-
дат, 1985.
28. Багоцкий, В.С. Новейшие достижения в области химическихисточни-
ков тока / В.С. Багоцкий, В.Н. Флеров. - М. :Госэнергоиздат, 1963.
29. Дасоян, М.А. Производство электрохимических аккумуляторов /
М.А. Дасоян, В.В. Новодержкин, Ф.Ф. Томашевский. - Л. : Энергия, 1970.
30. Романов, В.В. Серебряно-цинковые аккумуляторы / В.В. Романов. - М.
:Воениздат, 1969
31. Дасоян, М.А. Современная теория свинцового аккумулятора / М.А. Да-
соян, И.А. Агуф. - Л. : Энергия, 1978.
32. Якименко, Л.М. Электролизеры с твердым катодом / Л.М. Якименко.
- М.: Химия, 1966.
33. Генин, Л.С. Электролиз растворов поваренной соли / Л.С. Генин.
- М. : Химия, 1969.
34. Лайнер, В.И. Защитные покрытия металлов / В.И. Лайнер. - М. :Ме-
таллургия, 1974.
35. Кудрявцев, Н.Т. Электролитические покрытия металлами / Н.Т. Куд-
рявцев. - М. : Химия, 1979.
36. Бибиков, Н.Н. Осаждение металлов на токе переменной полярности /
Н.Н. Бибиков. - М. :Машгиз, 1961.
37. Вайнер, Я.В. Оборудование, автоматизация и механизация цехов элек-
трохимических покрытий / Я.В. Вайнер, М.А. Дасоян. - М. : Машиностроение,
1961.
38. Горбунова, К.М. Физико-химические основы химического никелиро-
вания / К.М. Горбунова, А.А. Никифорова. - М. : Изд-во АН СССР, 1960.
39. Вишенков, С.А. Химические и электрохимические способы осаждения
металлопокрытий / С.А. Вишенков. - М. : Машиностроение, 1976.
40. Якименко, Л.М. Электролиз воды / Л.М. Якименко, И.Д. Модылев-
ская, З.А. Ткачек. - Л. : Химия, 1970.
41. Мильтон, Дж. Электродные процессы в органической химии / Дж.
Мильтор, Аллем. – М .: Госхимиздат, 1961.
42. Томилов, А.П. Электрохимия органических соединений / А.П. Томи-
лов и др. - М. : Химия, 1968.
Приложение №1
Варианты номеров для выполнения задания
Номер варианта соответствует порядковому номеру ФИО студента в списке группы.
| Номер варианта | Длина детали, L, мм | Диаметр d1, мм | Диаметр d2, мм | Толщина осажденного покрытия, мкм | Плотность тока J A/дм2 |
| 1 | 10 | 5 | 7 | 10 | 1 |
| 2 | 12 | 6 | 8 | 15 | 2 |
| 3 | 14 | 7 | 9 | 20 | 3 |
| 4 | 16 | 8 | 10 | 25 | 4 |
| 5 | 18 | 9 | 11 | 30 | 5 |
| 6 | 20 | 10 | 12 | 40 | 1 |
| 7 | 22 | 11 | 13 | 50 | 2 |
| 8 | 24 | 12 | 14 | 10 | 3 |
| 9 | 26 | 13 | 15 | 15 | 4 |
| 10 | 28 | 14 | 16 | 20 | 5 |
| 11 | 30 | 15 | 17 | 25 | 1 |
| 12 | 32 | 16 | 18 | 30 | 2 |
| 13 | 34 | 17 | 19 | 40 | 3 |
| 14 | 36 | 18 | 20 | 50 | 4 |
| 15 | 38 | 19 | 21 | 10 | 5 |
| 16 | 40 | 20 | 22 | 15 | 1 |
| 17 | 42 | 21 | 23 | 20 | 2 |
| 18 | 44 | 22 | 24 | 25 | 3 |
| 19 | 46 | 23 | 25 | 30 | 4 |
| 20 | 48 | 24 | 26 | 40 | 5 |
| 21 | 50 | 25 | 27 | 50 | 1 |
| 22 | 52 | 26 | 28 | 10 | 2 |
| 23 | 54 | 27 | 29 | 15 | 3 |
| 24 | 56 | 28 | 30 | 20 | 4 |
| 25 | 58 | 29 | 31 | 25 | 5 |
Эскиз детали
L
d11
d2
















