Нормоконтроль Пояснительная записка Фомичева (1235387), страница 12
Текст из файла (страница 12)
В таблице 3.20 произведен расчет финансового результата, определяющий период времени, когда вложенные денежные средства в проект полностью возвращаются, а деятельность предприятия, по истечению этого срока, начинает приносить прибыль.
Таблица 3.20 - Срок окупаемости вложенных средств
Итак, мы имеем два вида источника доходов за счет аренды сторонних организаций и за счет основного вида деятельности следовательно, срок возврата вложенных средств определен раздельно друг от друга, что позволяет увидеть доход предприятия в различных внешних условиях.
Первый вариант является самым оптимальным для достижения поставленной цели. Сдавая в аренду 2,5 номера в сутки + аренда сторонних организаций позволяет предприятию получить доход 4 208 млн.руб, срок окупаемости наступает на седьмом месяце.
Второй вариант подразумевает под собой доход 3 792 млн.руб. Срок окупаемости достигается на седьмом месяце при условии, что в сутки будет сдано 2 номера + аренда сторонних организаций.
В третьем варианте срок окупаемости наступает на девятом месяце, доход составит 3 153 млн.руб. Для достижения результата предприятию потребуется сдавать не менее 1,5 номеров в сутки с учетом аренды сторонних организаций.
Четвертый вариант развития событий позволяет предприятию в сутки сдавать 1 номер + аренда сторонних организаций. Срок окупаемости вложенных средств наступает на 10 месяце и приносит доход 2 514 млн.руб.
Предположим, что наше предложение аренды для сторонних организаций будет неинтересным, тогда рассчитаем срок окупаемости вложенных средств на других условиях, которые исключают поступления доходов за счет прочего вида деятельности.
В пятом варианте сдавая 2,5 номера в сутки предприятие достигает срок окупаемости на 7 месяце. Доход предприятия составит 3 858 млн.руб.
Шестой вариант. Если объем продаж уменьшится до 2 номеров в сутки. Предприятие получит доход 2 887 млн.руб и окупит вложенные средства на 10 месяце.
Седьмой вариант окупит вложенные средства на 12 месяце деятельности. Доход составит 2 248 млн.руб. Для продолжения деятельности в следующем году предприятию будет необходимо вложить собственные средства.
Восьмой вариант достигает окупаемости вложенных средств только через 17 месяцев. По истечении первого года потребуется дополнительные вложения для осуществления дальнейшей деятельности. В таблице 3.21 попробуем оптимизировать данный вариант с помощью увеличения цены до 4000 рублей.
Таблица 3.21 - Срок окупаемости вложенных средств при увеличении отпускной цены
При увеличении цены, предоставляя в аренду 1 номер в сутки предприятие не сможет в первый год окупить вложенные средства. Также необходимо отметить, что себестоимость в первый год с учетом вложенных средств в сутки будет составлять 6 тыс. руб. В последующие года себестоимость базы отдыха за сутки будет равняться 3 тыс. руб. А значить восьмой вариант на втором году деятельности станет вполне приемлемым для предприятия.
Эффективность приобретения того или другого вида услуг при вложении денежных средств в развлекательно-игровой комплекс можно определить с помощью расчета, в котором первоначальная стоимость и стоимость арендной платы определит срок эксплуатации и период, когда вложенные денежные средства в каждую вложенную единицу полностью возвращаются и начинают приносить прибыль.
Таблица 3.22 - Срок окупаемости вложенных средств развлекательно-игрового комплекса
| Наименование | Балансовая стоимость | Цена аренды | НДС % | Сумма с НДС | Срок эксплуатации, чел. |
| Проектор | 3000,00 | 500,00 | 18 | 590,00 | 5 |
| Бассейн | 19573,00 | 847,00 | 18 | 1000,00 | 20 |
| Батут | 3235,00 | 254,00 | 18 | 300,00 | 11 |
| матрас надувной | 1067,00 | 254,00 | 18 | 300,00 | 4 |
| Пейнтбол на 1 человека | 6000,00 | 847,00 | 18 | 1000,00 | 6 |
| Велосипед | 3000,00 | 254,00 | 18 | 300,00 | 10 |
| Телескоп | 10000,00 | 254,00 | 18 | 300,00 | 34 |
| Лодка | 30000,00 | 423,00 | 18 | 500,00 | 60 |
| Теннисный корт | 10000,00 | 211,00 | 18 | 250,00 | 40 |
| Коньки | 1620,00 | 84,00 | 18 | 100,00 | 16 |
| Лыжи | 869,00 | 84,00 | 18 | 100,00 | 9 |
| Сноутборд детский | 339,00 | 84,00 | 18 | 100,00 | 3 |
| Надувные сани | 886,00 | 84,00 | 18 | 100,00 | 9 |
| Клюшки | 245,00 | 50,00 |
| 60,00 | 4 |
| Бадминтон | 175,00 | 50,00 | 18 | 60,00 | 3 |
| Лук детский | 1000,00 | 200,00 | 18 | 250,00 | 4 |
| Качели детские, подвесные | 470,00 | 120,00 | 18 | 150,00 | 3 |
| Итого | 91479,00 | - | - | - | - |
Расчет произведенный расчет в таблице 3.22 позволил определить эффективность приобретения того или другого вида услуг при вложении денежных средств в развлекательно-игровой комплекс. Также произведенный расчет позволяет эффективно определить количество приобретаемой продукции и обратить внимание на качество приобретаемых благ, срок окупаемости которых достигается значительно дольше остальных. Поэтому предприятию рекомендуется отдать предпочтение не дорогим и быстро окупаемым товарам, которые можно сдавать в аренду в зимнее и летнее время года.
В заключении финансового результата необходимо определить объём производства и реализации продукции, при котором расходы будут компенсированы доходами, а при производстве и реализации каждой последующей единицы продукции предприятие начинает получать прибыль.
Рассчитаем сколько в день потребовалось затрат на содержание базы отдыха в 2015 году. Затраты 2015г = 1265394,94/ 365 = 3466,84 рубля в сутки. Рассчитаем сколько в день потребуется затрат на содержание базы отдыха с учетом вложенных средств. Затраты 2016 г. = 2207160,00/365= 6047,02 рублей в сутки.
Произведенные расчеты говорят о том, что без учета вложений денежных средств база отдыха обходится предприятию в 3 466,84 рубля в сутки. В соответствии с прейскурантом цен можно сделать вывод о том, что сдавая в аренду 1 комнату в сутки и предоставляя услуги развлекательного комплекса, предприятие покроет расходы и получит прибыль 623,16 рубля в день.
623,16*31=19317,96*12=231815,52 в год.
Расчет, произведенный с учетом вложенных средств, показывает, что необходимые расходы базы отдыха за одни сутки составят предприятию 6047,02 рубля. Для покрытия расходов, предприятию необходимо в сутки сдавать в аренду 1,5 комнаты + игровой комплекс.
6430-6047,02=382,98 рублей в день.
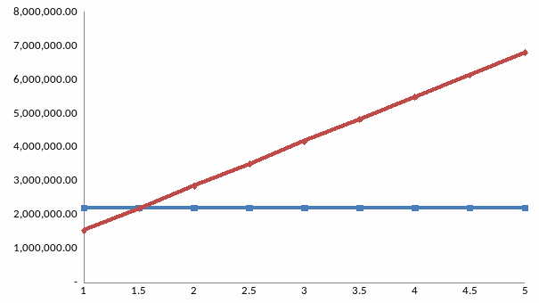
Построим график точки безубыточности предприятия на 2016 год.
Рисунок 3.6 - График точки безубыточности 2016 г.
Произведенный расчет показал, что с учетом вложенных средств на 2016 год объём реализации продукции, при котором расходы будут компенсированы доходами составляет 1,5 комнаты в сутки.
Построим график безубыточности на 2017 год на рисунке 3.7
Рисунок 3.7 - График точки безубыточности 2017 год.
Произведенный расчет показал, что объём реализации продукции, при котором расходы будут компенсированы доходами в 2017 году составит 1 комната в сутки.
График точки безубыточности на 2018 год представлен на рисунке 3.8
Произведенный расчет показал, что объём реализации продукции, при котором расходы будут компенсированы доходами для предприятия в 2018 году составит 1 комната в сутки.
Произведенный анализ показал, что предприятию необходимо окупить вложенные средства в первый год и получить прибыль для дальнейшего функционирования деятельности. Так как подготовка к зимнему сезону будет происходить в летнее время можно увидеть насколько эффективно пользуется спросом база отдыха для сторонних организаций. Если планируемый доход от сторонних организаций будет достигнут, тогда предприятие может действовать в соответствии с разработанным планом. Если планируемый результат от сторонних организаций не даст нужного эффекта, тогда предприятию рекомендуется сократить стоимость проекта и приобрести продукцию в минимальном объеме. Стоит отметить, что затраты на электроснабжение, водоснабжение и ремонт главного корпуса являются необходимыми для осуществления деятельности в зимнее время. Чего нельзя сказать о услугах развлекательно-игрового комплекса, который в полном объеме можно приобрести на втором году деятельности предприятия. Поэтому в услугах развлекательного комплекса предприятию необходимо отдать предпочтение не дорогим и быстро окупаемым товарам, которые можно сдавать в аренду в зимнее и летнее время. А также исключить из списка такой товар, который не создает в конечном итоге прибыль. В связи с чем рекомендуется принять решение, что такие товары как лавочки, качели, качели-лодочки, урны будет разумно приобрести на следующий год деятельности предприятия.
Резюме.
Акционерное общество «19 Центральный автомобильный ремонтный завод» крупнейшее на Дальнем Востоке предприятие, осуществляющее капитально-восстановительный ремонт грузовой, легковой и гусеничной автомобильной техники как для воинских сил, так МВД, МЧС, ФСБ России и Федеральной службы. Помимо основной деятельности в качестве вспомогательного производства предприятие осуществляет деятельность в отрасли прочих работ непромышленного характера. Одним из предлагаемых услуг предприятия является отдых, времяпрепровождение которого является восстановлением сил и достижение работоспособного состояния организма. База отдыха АО «19 ЦАРЗ» стало замечательным местом для проведения семейного, коллективного и одиночного отдыха. В дальнейшем развитии предприятия мы планируем разместить всевозможные спортивно-развлекательные игровые комплексы и готовы создавать надежные партнерские программы. Программу развития данного объекта планируется разработать в два этапа. В состав первого этапа войдут затраты для создания условий работы базы отдыха в зимнее время, а также приобретение развлекательно-игрового комплекса. Мы предоставим каркасные бассейны, телескопы, теннисный корт, футбольные, баскетбольные площадки, хоккей, сноуборд, лыжные прогулки, пейнтбол, прокат квадр циклов, лодок, стрельба из лука, полет на воздушном шаре, летний кинотеатр и многие другие интересные развлечения. Второй этап включает в себя затраты, связанные с повышением уровня предоставляемых услуг, а также внешним преображение базы отдыха, заключающееся в строительстве фонтанов, очистке озера, обустройстве пляжа, укладки тротуарной плитки и строительство новых жилых зданий для посетителей. Результатом второго этапа станет сотрудничество с туристическими фирмами.











