11Линейная алгебра и аналитическая геометрия (1184685)
Текст из файла
6
Линейная алгебра и аналитическая геометрия
Краткий конспект лекций. Сливина Н.А.
Лекция 11
Линейный оператор и его матрица
Линейный оператор. Основные понятия
Определение. Если каждому элементу
из пространства Rn ставится в соответствие единственный элемент
из пространства Rm , то говорят, что задан оператор, действующий из пространства Rn в пространство Rm (или оператор, действующий в пространстве Rn, если n=m).
Результат действия оператора A на элемент
обозначают
.
Если элементы
и
связаны соотношением
, то
называют образом
; а
— прообразом
.
Множество элементов пространства Rn, для которых определено действие оператора A, называют областью определения оператора A и обозначают D(A).
Множество элементов пространства Rm, которые являются образами элементов из области определения D(A) оператора A, называют образом оператора A и обозначают Im(A). Если
, то
Ядром оператора называется множество элементов линейного пространства Rn, образом которых является нулевой элемент. Ядро оператора обозначают Ker(A):
.
Определение. Оператор A, действующий из пространства Rn в пространство Rm называется линейным оператором, если для любых
из Rn и для любого действительного числа α справедливо:
Примеры
1. Нулевой оператор
:
— линейный оператор, D()=Rn,
, Ker()=Rn.
Докажем линейность нулевого оператора:
2. Тождественный (единичный) оператор I:
— линейный оператор, D(I)= Rn, Im(I)= Rn,
.
Докажем линейность тождественного оператора:
3. Оператор P2 — оператор проектирования пространства R3 на подпространство R2 параллельно вектору
:
линейный оператор, D(P2)= R3 R3, Im(P2)= R2,
.
Докажем линейность оператора проектирования:
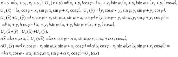
4. Оператор U поворота пространства R2 на угол φ относительно начала координат против часовой стрелки:
— линейный оператор, D(U)= R2, Im(U)= R2,
.
Докажем линейность оператора поворота:
Линейный оператор, действующий из пространства Rn в пространство Rn (действующий в Rn) называют линейным преобразованием пространства Rn.
Матрица линейного оператора
Пусть
— линейный оператор, действующий из пространства Rn в пространство Rm ,
,
,
.
Это означает, что в некотором базисе
в Rn и в базисе
в Rm имеют место разложения:
Поскольку A — линейный оператор, то
Но
следовательно,
т.е.
— вектор из Rm, компоненты которого — координаты образа базисного вектора
Продолжим вычисления:
Тогда
Формула
связывает вектор-столбец
координат образа с вектором-столбцом
координат прообраза, столбцы матрицы A — координаты образов базисных векторов.
Определение. Матрица, столбцами которой являются координаты образов базисных векторов некоторого базиса в Rт —
-
называется матрицей линейного оператора A в заданных базисах.
Обратите внимание, теперь и в дальнейшем A (полужирная) — обозначение линейного оператора, A(светлая) или Aef — обозначение матрицы оператора A в некоторых базисах или в базисе
и
.
Таким образом, доказана следующая теорема.
Теорема (связь координат образа и прообраза). Если в пространствах Rn и Rm определены некоторые базисы
и
,
,
— и
, то векторы-столбцы их координат
и
в этих базисах связаны соотношением
, где A — матрица оператора A в этих базисах.
Между множеством линейных операторов, действующих из пространства Rn в пространство Rm , и множеством прямоугольных матриц размерности m, n можно установить взаимно однозначное соответствие.
Примеры
1. Матрица нулевого оператора: поскольку
то
и, следовательно, матрица нулевого оператора — нулевая матрица.
2. Матрица тождественного (единичного) оператора: поскольку
, то
(единица на i-м месте) и, следовательно, матрица тождественного оператора — единичная матрица.
3. Матрица оператора проектирования пространства R3 на подпространство R2 параллельно вектору
: поскольку
, то у матрицы P оператора проектирования последний столбец — нулевой; она имеет вид
.
4. Матрица оператора U поворота пространства R2 на угол φ относительно начала координат против часовой стрелки:
Поскольку
, то матрица U оператора поворота имеет вид
Действия с линейными операторами
Для линейных операторов, как и для всех других новых объектов, с которыми мы познакомились в курсе линейной алгебры, можно определить линейные операции — операции сложения и умножения на число, а также операцию умножения операторов.
Определение. Суммой операторов A и B называется оператор, определенный в Rn на
и действующий следующим образом:
.
Определение. Произведением оператора A на число
называется оператор, определенный в Rn на
и действующий следующим образом:
Определение. Произведением операторов
называется оператор, определенный в Rn на
и действующий следующим образом:
.
Нетрудно доказать, что сумма, произведение на число и произведение линейных операторов — линейный оператор.
Действительно: для любых двух векторов
и
из Rn и любого числа
справедливо:
,
Нетрудно также доказать, что матрица суммы операторов в некоторых базисах равна сумме матриц слагаемых в тех же базисах; матрица оператора, являющегося произведением оператора на число — произведению матрицы оператора на число; матрица произведения операторов — произведению матриц сомножителей.
Пример — Задача (ТР Линейная алгебра, задача 6)
Пусть A и B — операторы, действующие в R3 :
В качестве дополнительного задания докажем линейность операторов, найдем их матрицы.
Решение
Сначала выполним дополнительное задание.
Докажем линейность оператора A:
Очевидно, что оба равенства справедливы для произвольных векторов
и
и любого числа
.
Докажем линейность оператора B:
Очевидно, что оба равенства справедливы для произвольных векторов
и
и любого числа
.
Запишем матрицу оператора A:
,
запишем координаты образов базисных векторов столбцами — получим матрицу оператора A:
Запишем матрицу оператора B:
,
запишем координаты образов базисных векторов столбцами — получим матрицу оператора B:
Перейдем к решению самой задачи: найдем
.
Первый способ решения задачи
Затем найдем
:
,
теперь найдем
:
Получили:
Второй способ решения задачи
Сначала найдем матрицу оператора
:
и тогда
Сравним с результатом, полученным первым способом:
Задача решена верно.
Характеристики
Тип файла документ
Документы такого типа открываются такими программами, как Microsoft Office Word на компьютерах Windows, Apple Pages на компьютерах Mac, Open Office - бесплатная альтернатива на различных платформах, в том числе Linux. Наиболее простым и современным решением будут Google документы, так как открываются онлайн без скачивания прямо в браузере на любой платформе. Существуют российские качественные аналоги, например от Яндекса.
Будьте внимательны на мобильных устройствах, так как там используются упрощённый функционал даже в официальном приложении от Microsoft, поэтому для просмотра скачивайте PDF-версию. А если нужно редактировать файл, то используйте оригинальный файл.
Файлы такого типа обычно разбиты на страницы, а текст может быть форматированным (жирный, курсив, выбор шрифта, таблицы и т.п.), а также в него можно добавлять изображения. Формат идеально подходит для рефератов, докладов и РПЗ курсовых проектов, которые необходимо распечатать. Кстати перед печатью также сохраняйте файл в PDF, так как принтер может начудить со шрифтами.
















