3-4Линейная алгебра и аналитическая геометрия (1184677)
Текст из файла
Линейная алгебра. Краткий конспект. Лекции 3-4. 8
Линейная алгебра и аналитическая геометрия
Краткий конспект лекций. Сливина Н.А.
Лекции 3- 4. Плоскость и прямая в пространстве
Плоскость в пространстве. Уравнения плоскости
В дальнейшем полагаем, что в пространстве определена некая прямоугольная декартова система координат — каждая точка пространства однозначно определена своими координатами.
Уравнение вида
— линейное алгебраическое уравнение первой степени или просто — линейное уравнение.
Уравнение плоскости, проходящей через заданную точку, перпендикулярно заданному вектору. Пусть задана точка
и вектор
. Как отличить точки принадлежащие плоскости, проходящей через точку
, перпендикулярно вектору
, от точек, которые этой плоскости не принадлежат?
Можно предложить такой способ: точка
принадлежит плоскости тогда и только тогда, когда вектор
ортогонален вектору
, т.е. тогда и только тогда, когда
.
Тогда, поскольку
получим линейное уравнение
. Это уравнение плоскости, проходящей через точку
нормальным вектором
.
Замечание. Вектор, ортогональный плоскости, ортогонален любому вектору, принадлежащему плоскости. Такой вектор называю нормальным вектором плоскости.
Общее уравнение плоскости. Раскроем скобки в уравнении плоскости, проходящей через точку
нормальным вектором
:
и обозначим
.
Получим общее уравнение плоскости
.
Из предыдущих рассуждений ясно, что коэффициенты
общего уравнения плоскости
определяют нормальный вектор этой плоскости:
.
Задача (Типовой расчет!). Записать уравнение плоскости, проходящей через точку A(2, 5, -3) перпендикулярно вектору
, B(7, 8, -1), C(9, 7, 4).
Решение.
— нормальный вектор плоскости проходящей через точку A(2, 5, -3). Уравнение плоскости:
.
Раскрыв скобки и приведя подобные, получим искомое уравнение
Проверим. Точка A(2, 5, -3) принадлежит плоскости:
. Нормальный вектор плоскости
совпадает с вектором
. Задача решена верно.
Неполные уравнения плоскости. Уравнение
определяет плоскость, проходящую через начало координат. Действительно, подставив в уравнение плоскости координаты начала координат, О(0, 0, 0), получим тождество.
Уравнение
определяет плоскость, параллельную оси 0x.
Действительно, нормальный вектор этой плоскости
ортогонален орту оси 0x — вектору
:
.
Уравнение
— уравнение плоскости, параллельной оси 0y, а
— уравнение плоскости, параллельной оси 0z.
Уравнение
— уравнение плоскости, параллельной плоскости y0z, поскольку ее нормальный вектор
коллинеарен вектору
;
Уравнение
— уравнение плоскости, параллельной плоскости x0z, а уравнение
— уравнение плоскости, параллельной плоскости x0y.
Нарисуйте!
Уравнение плоскости в отрезках. Рассмотрим плоскость, которая не проходит через начало координат. Ее уравнение
,
.
Преобразуем уравнение:
,
,
и обозначим
.
Получим уравнение
— уравнение плоскости «в отрезках».
Плоскость, заданную таким уравнением легко рисовать. На рисунке изображен случай, когда
. Действительно, легко убедиться, что точки с координатами (a, 0,0), (0,b,0), (0,0,c) — это точки пересечения плоскости с координатными осями.
Упражнение. Изобразите сами плоскости, заданные уравнением «в отрезках» для разных сочетаний знаков коэффициентов a, b и c.
Упражнение. Рассмотрите самостоятельно вид уравнения плоскости в отрезках для неполных уравнений
,
,
,
,
и
.
Задача. Изобразить плоскость, заданную уравнением
.
Уравнение плоскости, проходящей через три заданные точки. Известно, что три точки, не лежащие на одной прямой, однозначно определяют плоскость.
Как отличить точки принадлежащие плоскости, проходящей через точки
,
,
, от точек, которые этой плоскости не принадлежат? Понятно, что точка
принадлежит плоскости тогда и только тогда, когда компланарны векторы
,
и
, т.е. когда
.
Поскольку
,
,
, записав смешанное произведение в координатной форме, имеем:
— уравнение плоскости, проходящей через три заданные точки.
Преобразуем уравнение. Поскольку
получим
— линейное уравнение первой степени.
Заметим, что если заданные точки лежат на одной прямой, то векторы
и
коллинеарны, т.е. все коэффициенты уравнения нулевые
и вместо уравнения получим тождество 0 = 0.
Нормальное уравнение плоскости. В уравнении
коэффициенты определяют нормальный вектор плоскости:
. Длина нормального вектора
. Найдем орт нормального вектора плоскости:
.
Легко видеть, что координаты орта вектора (орт — вектор единичной длины) равны косинусам углов, образованных этим ортом с положительными направлениями координатных осей:
Здесь
— углы, образованные ортом
с положительными направлениями координатных осей. Косинусы этих углов называются направляющими косинусами вектора.
Т.е. координаты орта нормали к плоскости — направляющие косинусы нормали:
.
Здесь
— углы, образованные нормалью к плоскостис положительными направлениями координатных осей.
Разделив обе части уравнения
на
, получим
или, см. выше,
— нормальное уравнение плоскости,
В нормальном уравнении плоскости коэффициенты при неизвестных — направляющие косинусы нормали, а свободный член p — измеряет расстояние от плоскости до начала координат. Действительно, если точка
лежит на плоскости, то
; тогда
и
.
С другой стороны, расстояние от начала координат до плоскости равно, как легко видеть (см. рис.)
.
Угол между плоскостями. Угол между плоскостями равен углу между нормалями к плоскостям. Рассмотрим две плоскости, заданные уравнениями
и
. Косинус угла между этими плоскостями легко вычислить:
,
,
.
Здесь
— угол между плоскостями.
Задача (Типовой расчет!). Найти угол между плоскостями
x + 2y – 2z – 7 =0 и x + y – 35 = 0.
Расстояние между точкой и плоскостью.
Из приведенного рисунка видно, что расстояние от точки до плоскости равно разности длинны проекции радиуса вектора точки на орт нормали к плоскости и расстояния от начала координат до плоскости.
тогда
Итак, расстояние d от точки
до плоскости
Задача. Найти расстояние от точки
до плоскости x + y – 35 = 0.
Решение. Запишем нормальное уравнение плоскости x + y – 35 = 0:
,
, нормальное уравнение плоскости
. Тогда расстояние от точки
до плоскости
—
Ответ. Расстояние от точки до плоскости равно
.
Уравнения прямой в пространстве
Общие уравнения прямой. Прямая в пространстве определяется как линия пересечения двух плоскостей. Рассмотрим две плоскости, заданные уравнениями
и
. Эти плоскости пересекаются, если их нормальные векторы не параллельны:
,
,
. Тогда координаты точек, принадлежащих обеим плоскостям — координаты точек прямой — удовлетворяют системе уравнений
Задача. Записать общие уравнения оси 0x.
Решение. Ось 0x — линия пересечения плоскостей x0y и x0z. Уравнение плоскости x0y — z = 0, уравнение плоскости x0z — y = 0. Тогда общие уравнения оси 0x —
Уравнения прямой, проходящей через заданную точку параллельно заданному вектору. Пусть задана точка
и вектор
. Известно, что существует единственная прямая, проходящая через точку
параллельно вектору
. Вектор
называется направляющим вектором прямой.
Как отличить точки принадлежащие прямой, от точек, которые этой прямой не принадлежат? Очевидно, что точка
принадлежит прямой тогда и только тогда, когда векторы
и
коллинеарны, т.е. когда координаты этих векторов пропорциональны;
— канонические уравнения прямой, проходящей через заданную точку с заданным направляющим вектором.
Задача. Записать уравнения прямой, проходящей через точку
параллельно оси 0x.
Решение. Направляющий вектор прямой — это вектор
. Тогда искомые уравнения прямой —
. Деление на нуль следует понимать так:
На нуль можно делить только числа, равные нулю, т.е.
Таким образом получены не только канонические, но и общие уравнения прямой, проходящей через точку
параллельно оси 0x.
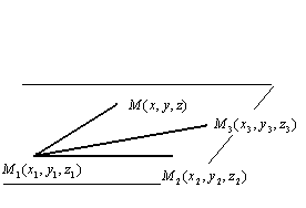
Уравнения прямой, проходящей через две заданные точки. Пусть заданы две точки
и
. Известно, что существует единственная прямая, проходящая через эти две точки.
Как отличить точки принадлежащие прямой, от точек, которые этой прямой не принадлежат? Очевидно, что как м в предыдущей задаче, точка
принадлежит прямой тогда и только тогда, когда векторы
и
коллинеарны (в этом случае вектор
— направляющий вектор прямой) , т.е. когда координаты этих векторов пропорциональны;
— канонические уравнения прямой, проходящей через две заданные точки.
Характеристики
Тип файла документ
Документы такого типа открываются такими программами, как Microsoft Office Word на компьютерах Windows, Apple Pages на компьютерах Mac, Open Office - бесплатная альтернатива на различных платформах, в том числе Linux. Наиболее простым и современным решением будут Google документы, так как открываются онлайн без скачивания прямо в браузере на любой платформе. Существуют российские качественные аналоги, например от Яндекса.
Будьте внимательны на мобильных устройствах, так как там используются упрощённый функционал даже в официальном приложении от Microsoft, поэтому для просмотра скачивайте PDF-версию. А если нужно редактировать файл, то используйте оригинальный файл.
Файлы такого типа обычно разбиты на страницы, а текст может быть форматированным (жирный, курсив, выбор шрифта, таблицы и т.п.), а также в него можно добавлять изображения. Формат идеально подходит для рефератов, докладов и РПЗ курсовых проектов, которые необходимо распечатать. Кстати перед печатью также сохраняйте файл в PDF, так как принтер может начудить со шрифтами.
















