Вопросы и ответы к ним (1159883), страница 10
Текст из файла (страница 10)
.
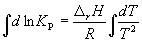
Интегрирование уравнения в предположении, что
rH реакции не зависит от температуры (что справедливо в узких интервалах температур), дает:
где C – константа интегрирования. Таким образом, зависимость ln KP от 1/Т должна быть линейной, а наклон прямой равен –
rH /R.
Интегрирование в пределах K1, K2, и T1, T2 дает:
По этому уравнению, зная константы равновесия при двух разных температурах, можно рассчитать
rH реакции. Соответственно, зная
rH реакции и константу равновесия при одной температуре, можно рассчитать константу равновесия при другой температуре.
35
35. Движение ионов в растворе. Удельная и эквивалентная электропроводность.
Электропроводность растворов электролитов
Электропроводность
("Каппа") раствора - величина, обратная его сопротивлению R, имеет размерность Ом-1. Для проводника постоянного сечения
,
где
- удельное сопротивление; S - площадь сечения проводника; l - длина проводника;
- удельная электропроводность.
Удельной электропроводностью
("каппа") раствора называется электропроводность слоя раствора длиной 1 см, заключенного между электродами площадью 1см2. Она выражается в Ом-1. см-1. В системе СИ удельная электропроводность измеряется в Ом-1. м-1.
Эквивалентной электропроводностью
("лямбда") называется электропроводность такого объема раствора, в котором содержится 1 г-экв растворенного вещества; при условии, что электроды находятся на расстоянии 1 см друг от друга, она выражается в Ом-1. см2. г-экв-1.
,
где V = 1/C - разведение (или разбавление) раствора, т.е. объем, в котором содержится 1 г-экв растворенного вещества, а C - эквивалентная концентрация (нормальность) раствора. В системе СИ эквивалентная электропроводность выражается в Ом-1. м2. кг-кв-1.
Эквивалентная электропроводность
растворов электролитов возрастает с ростом разбавления раствора и при бесконечном разбавлении (т.е. при бесконечно малой концентрации) достигает предельного значения
0. которое называется эквивалентной электропроводностью раствора при бесконечном разведении.
В разбавленных растворах сильных электролитов выполняется эмпирический закон Кольрауша (закон квадратного корня):
,
где
и
0 - эквивалентная электропроводность раствора при концентрации С и при бесконечном разведении, A - константа (при данной температуре) для данного электролита и растворителя.
В растворах слабых электролитов
и
0 связаны со степенью диссоциации
электролита уравнением Аррениуса:
.
Кроме того, выполняется закон разведения Оствальда, который для бинарного электролита записывается следующим образом:
,
где K - константа диссоциации слабого электролита.
Электропроводность электролитов связана со скоростями движения ионов в р-ре. Скорость движения vi [м.с-1] иона в р-ре пропорциональна напряженности приложенного электрического поля E [В.м-1]:
vi = uiE.
Коэфф. пропорциональности u [м2. с-1. В-1] называется абсолютной подвижностью иона.
Произведение uiF (F - постоянная Фарадея) называется подвижностью иона
i[Ом-1. м2. кг-экв-1]:
i = uiF.
Подвижность иона при бесконечном разбавлении называется предельной подвижностью иона и обозначается
i0. Предельные подвижности
i0 некоторых ионов в водном растворе [Ом-1. см2. г-экв-1] приведены в Таблице 10.1.
Согласно закону Кольрауша о независимой миграции ионов, эквивалентная электропроводность раствора при бесконечном разведении равна сумме предельных подвижностей катионов и анионов:
0 =
0+ +
0-.
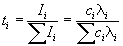
Доля тока, переносимая данным ионом, называется числом переноса ti иона:
,
причем по определению
.
Согласно закону Стокса, предельная подвижность
0 иона с зарядом z и радиусом r в растворителе с вязкостью h описывается формулой:
,
где e - элементарный заряд, F - постоянная Фарадея.
Из этого уравнения следует правило Вальдена-Писаржевского, согласно которому для любого иона или электролита:
.
36
36. Закон Кольрауша для растворов сильных электролитов. Зависимость эквивалентной электропроводности от концентрации. Подвижность ионов. Числа переноса.
В разбавленных растворах сильных электролитов выполняется эмпирический закон Кольрауша (закон квадратного корня):
,
где
и
0 - эквивалентная электропроводность раствора при концентрации С и при бесконечном разведении, A - константа (при данной температуре) для данного электролита и растворителя.
Согласно закону Кольрауша о независимой миграции ионов, эквивалентная электропроводность раствора при бесконечном разведении равна сумме предельных подвижностей катионов и анионов:
0 =
0+ +
0-.
Эквивалентной электропроводностью
("лямбда") называется электропроводность такого объема раствора, в котором содержится 1 г-экв растворенного вещества; при условии, что электроды находятся на расстоянии 1 см друг от друга, она выражается в Ом-1. см2. г-экв-1.
,
где V = 1/C - разведение (или разбавление) раствора, т.е. объем, в котором содержится 1 г-экв растворенного вещества, а C - эквивалентная концентрация (нормальность) раствора. В системе СИ эквивалентная электропроводность выражается в Ом-1. м2. кг-кв-1.
Эквивалентная электропроводность
растворов электролитов возрастает с ростом разбавления раствора и при бесконечном разбавлении (т.е. при бесконечно малой концентрации) достигает предельного значения
0. которое называется эквивалентной электропроводностью раствора при бесконечном разведении.
Электропроводность электролитов связана со скоростями движения ионов в растворе. Скорость движения vi [м.с-1] иона в растворе пропорциональна напряженности приложенного электрического поля E [В.м-1]:
vi = uiE.
Коэфф. пропорциональности u [м2. с-1. В-1] называется абсолютной подвижностью иона.
Произведение uiF (F - постоянная Фарадея) называется подвижностью иона
i[Ом-1. м2. кг-экв-1]:
i = uiF.
Подвижность иона при бесконечном разбавлении называется предельной подвижностью иона и обозначается
i0. Предельные подвижности
i0 некоторых ионов в водном растворе [Ом-1. см2. г-экв-1] приведены в Таблице 10.1.
Доля тока, переносимая данным ионом, называется числом переноса ti иона:
,
причем по определению
.
37
37. Теория Аррениуса для слабых электролитов. Закон разведения Оствальда.
Классическая теория электролитической диссоциации была создана С. Аррениусом и В. Оствальдом в 1887 году. Аррениус придерживался физической теории растворов, не учитывал взаимодействие электролита с водой и считал, что в растворах находятся свободные ионы. Русские химики И. А. Каблуков и В. А. Кистяковский применили для объяснения электролитической диссоциации химическую теорию растворов Д. И. Менделеева и доказали, что при растворении электролита происходит его химическое взаимодействие с водой, в результате которого электролит диссоциирует на ионы.
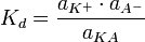
Классическая теория электролитической диссоциации основана на предположении о неполной диссоциации растворённого вещества, характеризуемой степенью диссоциации α, т. е. долей распавшихся молекул электролита. Динамическое равновесие между недиссоциированными молекулами и ионами описывается законом действующих масс . Например, электролитическая диссоциация бинарного электролита KA выражается уравнением типа:
Константа диссоциации Kd определяется активностями катионов
, анионов
и недиссоциированных молекул
следующим образом:
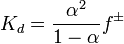
Значение Kd зависит от природы растворённого вещества и растворителя, а также от температуры и может быть определено несколькими экспериментальными методами. Степень диссоциации (α) может быть рассчитана при любой концентрации электролита с помощью соотношения:
,
где
— средний коэффициент активности электролита.
В растворах слабых электролитов
и
0 связаны со степенью диссоциации
электролита уравнением Аррениуса:
.
Кроме того, выполняется закон разведения Оствальда, который для бинарного электролита записывается следующим образом:
,
где K - константа диссоциации слабого электролита.
38
38. Активность иона. Средний ионный коэффициент активности. Теория Дебая-Хюккеля.
Активность электролитов
Переносчиками эл. тока в р-рах электролитов являются ионы, образующиеся при диссоциации молекул электролитов. Поскольку при диссоциации число частиц в растворе возрастает, растворы электролитов обладают аномальными коллигативными св-вами.
Ур-я, описывающие коллигативные св-ва неэлектролитов, можно применить и для описания св-тв ид. р-ров электролитов, если ввести поправочный изотонический коэфф. Вант-Гоффа i, например:
осм. = iCRT или
Tзам. = iKm.
Изотонический коэффициент связан со степенью диссоциации
электролита:
i = 1 +
(n - 1),
где n - количество ионов, образующихся при диссоциации одной молекулы.
Свойства реальных растворов описываются уравнениями, в которых вместо концентраций вводится активность. Активность иона ai выражается в виде произведения концентрации иона mi на его коэффициент активности
i:
ai =
i mi.
Экспериментально определить активности катиона a+ и аниона a- невозможно, поэтому вводится понятие средней ионной активности a
. Для электролита, образующего n + катионов и n - анионов,
,
где n = n + + n -.
Аналогично определяют средний ионный коэффициент активности
















