Вопросы и ответы к ним (1159883), страница 13
Текст из файла (страница 13)
Стандартные электродные потенциалы электродов измеряются относительно стандартного водородного электрода, потенциал которого принят равным нулю. Значения некоторых стандартных электродных потенциалов приведены в таблице 12.1.
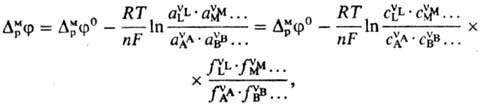
УР-Е НEРНСТА, описывает зависимость равновесного потенциала электрода от термодинамич. активности (концентрации) потенциал-определяющих компонентов р-ра электролита. Пусть на границе электрод-р-р в равновесных условиях протекает процесс
где А, В, ..., L, М, ...-реагенты, vA, vB, ..., vL, vM, ...-их стехиометрич. коэф., "-число электронов, участвующих в р-ции. Для гальвани-потенциала электрода (см. Межфазные скачки потенциала)Нернста уравнение записывается в виде:
где DMpj0-постоянная, R-газовая постоянная, Т-т-ра, F-постоянная Фарадея, сi, ai, fi-соотв. концентрации, активности и коэф. активности реагентов. Поскольку абс. значения гальвани-потенциала невозможно определить, часто приводится аналогичное выражение для потенциала электрода относительно определенного электрода сравнения:
где Е0-эмпирич. постоянная, зависящая от выбора электрода сравнения. Использование концентраций сi вместо активностей аi в Нернста уравнении возможно лишь для разб. р-ров и при избытке индифферентного электролита.
Нернста уравнение впервые было получено В. Нернстом в 1888 для частного случая системы металл М-ион Mz+ (z-зарядовое число ионов металла в р-ре) в виде:
42
42. Определение термодинамических функций методом ЭДС.
Электродвижущая сила (ЭДС) элемента равна разности потенциалов правого и левого электродов:
E = EП - EЛ.
Если ЭДС элемента положительна, то реакция (так, как она записана в элементе) протекает самопроизвольно. Если ЭДС отрицательна, то самопроизвольно протекает обратная реакция.
Стандартная ЭДС равна разности стандартных потенциалов:
.
Для элемента Даниэля стандартная ЭДС равна
Eo = Eo (Cu2+/Cu) - Eo (Zn2+/Zn) = +0.337 - (-0.763) = +1.100 В.
ЭДС элемента связана с
G протекающей в элементе реакции:
G = - nFE.
Зная стандартную ЭДС, можно рассчитать константу равновесия протекающей в элементе реакции:
.
Константа равновесия реакции, протекающей в элементе Даниэля, равна
= 1.54. 1037.
Зная температурный коэффициент ЭДС
, можно найти другие термодинамические функции:
S =
H =
G + T
S = - nFE +
.
43
43. Скорость химической реакции. Основной постулат химической кинетики (закон действующих масс).
Химическая кинетика - раздел физической химии, изучающий скорости химических реакций. Основные задачи химической кинетики: 1) расчет скоростей реакций и определение кинетических кривых, т.е. зависимости концентраций реагирующих веществ от времени (прямая задача); 2) определение механизмов реакций по кинетическим кривым (обратная задача).
Скорость химической реакции описывает изменение концентраций реагирующих веществ в единицу времени. Для реакции
aA + bB + ...
dD + eE + ...
скорость реакции определяется следующим образом:
,
где квадратные скобки обозначают концентрацию вещества (обычно измеряется в моль/л), t - время; a, b, d, e - стехиометрические коэффициенты в уравнении реакции.
Скорость реакции зависит от природы реагирующих веществ, их концентрации, температуры и наличия катализатора. Зависимость скорости реакции от концентрации описывается основным постулатом химической кинетики - законом действующих масс:
Скорость химической реакции в каждый момент времени пропорциональна текущим концентрациям реагирующих веществ, возведенным в некоторые степени:
,
где k - константа скорости (не зависящая от концентрации); x, y - некоторые числа, которые называют порядком реакции по веществам A и B, соответственно. Эти числа в общем случае никак не связаны с коэффициентами a и b в уравнении реакции. Сумма показателей степеней x + y называется общим порядком реакции. Порядок реакции может быть положительным или отрицательным, целым или дробным.
Большинство химических реакций состоит из нескольких стадий, называемых элементарными реакциями. Под элементарной реакцией обычно понимают единичный акт образования или разрыва химической связи, протекающий через образование переходного комплекса. Число частиц, участвующих в элементарной реакции, называют молекулярностью реакции. Элементарные реакции бывают только трех типов: мономолекулярные (A
B + ...), бимолекулярные (A + B
D + ...) и тримолекулярные (2A + B
D + ...). Для элементарных реакций общий порядок равен молекулярности, а порядки по веществам равны коэффициентам в уравнении реакции.
Закон действующих масс устанавливает соотношение между массами реагирующих веществ в химических реакциях при равновесии, а также зависимость скорости химической реакции от концентрации исходных веществ.
Закон действующих масс в химической кинетике
Закон действующих масс в кинетической форме (основное уравнение кинетики) гласит, что скорость элементарной химической реакции пропорциональна произведению концентраций реагентов в степенях, равных стехиометрическим коэффициентам в уравнении реакции[1]. Это положение сформулировано в 1867 году норвежскими учёными К. Гульдбергом и П. Вааге. Для элементарной химической реакции:
закон действующих масс может быть записан в виде кинетического уравнения вида:
где
— скорость химической реакции,
— константа скорости реакции.
Для сложных реакций в общем виде это соотношение не выполняется. Тем не менее, многие сложные реакции условно можно рассматривать как ряд последовательных элементарных стадий с неустойчивыми промежуточными продуктами, формально эквивалентный переходу из начального состояния в конечное в «один шаг». Такие реакции называют формально простыми. Для формально простых реакций кинетическое уравнение может быть получено в виде:
(для трех исходных веществ, аналогично приведённому выше уравнению). Здесь
,
,
— порядок реакции по веществам
,
,
соответственно, а сумма
— общий (или суммарный) порядок реакции.
,
,
могут быть не равны стехиометрическим коэффициентам и не обязательно целочисленные.
при определённых условиях может быть равно и нулю.
Закон действующих масс в химической термодинамике
В химической термодинамике закон действующих масс связывает между собой равновесные активности исходных веществ и продуктов реакции, согласно соотношению:
где
ai — активность веществ. Вместо активности могут быть использованы концентрация (для реакции в идеальном растворе), парциальные давления (реакция в смеси идеальных газов), фугитивность (реакция в смеси реальных газов);
νi — стехиометрический коэффициент (для исходных веществ принимается отрицательным, для продуктов — положительным);
Ka — константа химического равновесия. Индекс «a» здесь означает использование величины активности в формуле.
На практике в расчётах, не требующих особой точности, значения активности обычно заменяются на соответствующие значения концентраций (для реакций в растворах) либо парциальных давлений (для реакций между газами). Константу равновесия при этом обозначают Kc или Kp соответственно. Впервые закон действующих масс был выведен из кинетических представлений Гульдбергом и Вааге, а термодинамический вывод его дан Вант-Гоффом в 1885 году[3].
Пример: для стандартной реакции
константа химического равновесия определяется по формуле
44
44. Порядок и молекулярность реакции. Методы определения порядка и константы скорости реакции.
ПОРЯДОК РЕАКЦИИ по данному в-ву, показатель степени при концентрации этого в-ва в кинетич.. ур-нии р-ции. Согласно действующих масс закону, скорость у простой (одностадийной) р-ции между в-вами А и В типа nАА + nBB : продукты равна:
где uА-скорость расходования реагента А, СА и Св-концентрации реагентов А и В, k - константа скорости р-ции, nА и nв-порядки реакции по реагентам А и В соотв., п = nА + nв-общий порядок реакции (nА и nв- частные порядки реакции). Для гомог. р-ции порядок реакции по данному в-ву представляет собой стехиометрич. коэф. этого в-ва в ур-нии р-ции. Напр., в р-ции 2NO + С12 : 2NOC1 порядок реакции по NO равен 2, порядок реакции по С12 равен 1, а общий порядок реакции равен 3. Для простых р-ций порядок реакции всегда целое число (1, 2 или 3).
Для сложных р-ций порядки реакции редко совпадают с суммой стехиометрич. коэф., он м. б. числом переменным, дробным и даже отрицательным. Напр., для параллельных р-ций типа
продукты;
продукты (k1 и k2- константы скорости для соответствующих стадий) суммарная скорость расходования А составляет uА = k1СА +
и порядок реакции меняется по мере увеличения СА от 1 (uA — k1 СА) до 2 (uА =
Для цепной р-ции типа+
+
D в условиях, когда k1CA
скорость расходования А составляет
, т. к.
= (k1 CA/k3)1/2, то
так что nА = 3/2. Для мономолекулярного превращения А в присут. В, образующего с А неактивный комплекс (А
продукты; А + В
D), скорость р-ции
(К- константа равновесия). Если равновесие сдвинуто вправо (CD
CA), порядок реакции по В равен -1.
Если зависимость скорости расходования исходного реагента или скорости накопления продукта сложной р-ции от соответствующих концентраций не описывается степенной ф-цией, говорить о порядке реакции по данному реагенту (продукту) не имеет смысла. Напр., скорость превращения субстрата S.
















