Вопросы и ответы к ним (1159883), страница 16
Текст из файла (страница 16)
A ---> B ---> C
48
48. Обратимые реакции как частный случай последовательных реакций. кинетическое уравнение обратимой реакции первого порядка.
Последовательные реакции, хим. процессы, в кот. продукт одной р-ции является исходным веществом др. р-ции. К последовательным реакциям относятся такие важные химические процессы, как полимеризация, термический крекинг углеводородов, хлорирование углеводородов и т.д. Так, при крекинге происходят последовательное превращение высокомолекулярных соединений во всё более низкомолекулярные и в то же время последовательные процессы образования высокомолекулярных соединений, бедных водородом (например, кокс). При хлорировании метана последовательно образуются CH3Cl, CH2Cl2, CHCl3 и CCl4. Пример простой последовательной реакции — последовательное протекание двух необратимых реакций первого порядка: А В С, где A, В, С — некоторые вещества. Изменение концентраций веществ во времени можно получить, интегрируя систему двух кинетических уравнений. Расчёт показывает, что концентрация промежуточного вещества В сначала растет, достигает некоторого максимального значения, а затем убывает.
Более сложное описание последовательных реакций получается в тех случаях, когда учитываются обратимость отдельных реакций, участие в них различных исходных веществ и т.п.
При изучении кинетики сложных реакций, включающих несколько элементарных стадий, используют принцип независимости химических реакций: Если в системе протекает несколько простых реакций, то каждая из них подчиняется основному постулату химической кинетики независимо от других р-ций.
Обратимые реакции первого порядка:
Закон действующих масс записывается следующим образом:
.
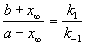
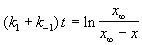
Если начальные концентрации веществ A и B обозначить, соответственно, a и b и ввести степень превращения x ([A] = a - x, [B] = b + x), то кинетическое уравнение приобретает вид:
.
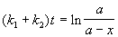
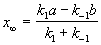
Решение этого уравнения можно выразить через степень превращения, соответствующую достижению равновесия:
или
, (5.1)
где x
определяется условием равенства скоростей прямой и обратной реакций:
, откуда следует:
. (5.2)
При t
наступает равновесие, которое характеризуется константой:
49
49. Параллельные (конкурирующие) реакции первого порядка. Анализ кинетических кривых для двух параллельных реакций первого порядка.
Параллельные реакции первого порядка:
Кинетическое уравнение записывается с учетом принципа независимости:
.
Решение этого уравнения записывается так же, как и для одной реакции первого порядка:
,
. (5.3)
Для параллельных реакций в любой момент времени отношение концентраций продуктов постоянно и определяется константами скорости элементарных стадий:
.
3. Последовательные реакции первого порядка:
Пусть в начальный момент времени есть только вещество A. Применим к этой системе закон действующих масс и принцип независимости химических реакций:
с начальными условиями [A]0 = a, [B]0 = [D]0 = 0.
Решение этой системы дает концентрации веществ:
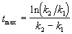
Концентрация промежуточного вещества достигает максимума при
.
Величина этого максимума определяется отношением констант k2 / k1. Если оно велико, т.е. k2 >> k1, то промежуточный продукт не успевает накапливаться и его концентрация в любой момент времени мала. В этом случае для анализа кинетических уравнений можно использовать приближенный метод квазистационарных концентраций.
Зависимость концентрации реагирующих веществ от времени проведения процесса N2+O2
2NO
N2O+0.5O2
при 1300К.
- время, с.;
- концентрация NO;
- концентрация
;
50
50. Влияние температуры на скорость химической реакции. Правило Вант-Гоффа. Уравнение Аррениуса. Энергия активации, определение ее из экспериментальных данных.
Влияние температуры на скорость химических реакций
Из качественных соображений понятно, что скорость реакций должна увеличиваться с ростом температуры, т.к. при этом возрастает энергия сталкивающихся частиц и повышается вероятность того, что при столкновении произойдет химическое превращение. Для количественного описания температурных эффектов в химической кинетике используют два основных соотношения - правило Вант-Гоффа и уравнение Аррениуса.
Правило Вант-Гоффа заключается в том, что при нагревании на 10 оС скорость большинства химических реакций увеличивается в 2
4 раза. Математически это означает, что скорость реакции зависит от температуры степенным образом:
,
где
- температурный коэффициент скорости (
= 2-4). Правило Вант-Гоффа является весьма грубым и применимо только в очень ограниченном интервале температур.
Гораздо более точным является уравнение Аррениуса, описывающее температурную зависимость константы скорости:
,
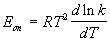
где R - универсальная газовая постоянная; A - предэкспоненциальный множитель, который не зависит от температуры, а определяется только видом реакции; EA - энергия активации, которую можно охарактеризовать как некоторую пороговую энергию: грубо говоря, если энергия сталкивающихся частиц меньше EA, то при столкновении реакция не произойдет, если энергия превышает EA, реакция произойдет. Энергия активации не зависит от температуры.
Г
рафически зависимость k(T) выглядит следующим образом:
При низких Т хим. р-ции почти не протекают: k(T)
0. При очень высоких температурах константа скорости стремится к предельному значению: k(T)
A. Это соответствует тому, что все молекулы являются химически активными и каждое столкновение приводит к реакции.
Энергию активации можно определить, измерив константу скорости при двух температурах. Из уравнения (4.2) следует:
. (4.3)
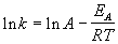
Более точно энергию активации определяют по значениям константы скорости при нескольких температурах. Для этого уравнение Аррениуса (4.2) записывают в логарифмической форме
и записывают экспериментальные данные в координатах ln k - 1/T. Тангенс угла наклона полученной прямой равен -EA / R.
Для некоторых реакций предэкспоненциальный множитель слабо зависит от температуры. В этом случае определяют так называемую опытную энергию активации:
.
Если предэкспоненциальный множитель - постоянный, то опытная энергия активации равна аррениусовской энергии активации: Eоп = EA.
Энергия активации, разность между значениями средней энергии частиц (молекул, радикалов, ионов и др.), вступающих в элементарный акт химической реакции, и средней энергии всех частиц, находящихся в реагирующей системе. Для различных химических реакций энергия активации изменяется в широких пределах — от нескольких до ~ 10 дж./ моль. Для одной и той же химической реакции значение энергии активации зависит от вида функций распределения молекул по энергиям их поступательного движения и внутренним степеням свободы (электронным, колебательным, вращательным). Как статистическую величину энергию активации следует отличать от пороговой энергии, или энергетического барьера, — минимальной энергии, которой должна обладать одна пара сталкивающихся частиц для протекания данной элементарной реакции.
В рамках представлений теории абсолютных скоростей реакций энергия активации — разность между значениями средней энергии активированных комплексов и средней энергии исходных молекул.
Представления об энергии активации возникли в 70—80-х гг. 19 в. в результате работ Я. Вант-Гоффа и С. Аррениуса, посвященных изучению влияния температуры на скорость химической реакции. Константа скорости реакции k связана с энергией активации (Е) уравнением Аррениуса:
k = koe-E/RT
где R — газовая постоянная, Т — абсолютная температура в К, ko — постоянная, называемая предэкспоненциальным множителем константы скорости. Это уравнение, основанное на молекулярно-кинетической теории, позже было получено в статистической физике с учетом ряда упрощающих предположений, одно из которых — независимость энергии активации от температуры. Для практики и для теоретических расчетов в сравнительно узких температурных интервалах это предположение справедливо.
Энергию активации можно найти по экспериментальным данным несколькими способами. Согласно одному из них, исследуют кинетику реакции при нескольких температурах (о методах см. в ст. Скорость химической реакции) и строят график в координатах In k — 1/T; тангенс угла наклона прямой на этом графике, в соответствии с уравнением Аррениуса, равен Е. Для одностадийных обратимых реакций (см. Обратимые и необратимые реакции) энергию активации реакции в одном из направлений (прямом или обратном) можно вычислить, если известна энергия активации реакции в другом и температурная зависимость константы равновесия (из термодинамических данных). Для более точных расчетов следует учитывать зависимость энергии активации от температуры.
Энергия активации сложных реакций представляет собой комбинацию энергий активации элементарных стадий. Иногда, помимо истинной энергии активации, определяемой по уравнению Аррениуса, используют понятие «кажущейся» энергии активации. Например, если константы скоростей гетерогенно-каталитических реакций определяют по изменению объемных концентраций исходных веществ и продуктов, то кажущаяся энергия активации отличается от истинной на величину тепловых эффектов, сопровождающих процессы адсорбции и десорбции реагирующих веществ на поверхности катализатора. В неравновесных системах, например плазмохимических (см. Плазмохимия), определение энергии активации является очень сложной задачей. В некоторых случаях, однако, возможно формальное применение уравнения Аррениуса.
Энергия активации — важнейшее понятие химической кинетики; ее значения включают в специальные справочники и используют в химической технологии для расчета скоростей р-ций в различных условия.
















