Вопросы и ответы к ним (1159883), страница 15
Текст из файла (страница 15)
с начальными условиями [A]0 = a, [B]0 = [D]0 = 0.
Решение этой системы дает концентрации веществ:
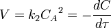
Концентрация промежуточного вещества достигает максимума при
.
Величина этого максимума определяется отношением констант k2 / k1. Если оно велико, т.е. k2 >> k1, то промежуточный продукт не успевает накапливаться и его концентрация в любой момент времени мала. В этом случае для анализа кинетических уравнений можно использовать приближенный метод квазистационарных концентраций .
Порядок реакции по данному веществу — показатель степени при концентрации этого вещества в кинетическом уравнении реакции.
Реакция нулевого порядка
График зависимости концентрации реагента A в реакции A → B от времени для нулевого порядка реакции
Кинетическое уравнение имеет следующий вид:
V0 = k0
Скорость реакции нулевого порядка постоянна во времени и не зависит от концентраций реагирующих веществ. Нулевой порядок характерен, например, для гетерогенных реакций в том случае, если скорость диффузии реагентов к поверхности раздела фаз меньше скорости их химического превращения.
Реакция первого порядка
График зависимости концентрации реагента A для первого порядка реакции
Кинетическое уравнение реакции первого порядка:
Приведение уравнения к линейному виду даёт уравнение:
Константа скорости реакции вычисляется как тангенс угла наклона прямой к оси времени:
k1 = − tgα
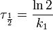
Период полупревращения:
Реакция второго порядка
График зависимости концентрации реагента A для второго порядка реакции
Для реакций второго порядка кинетическое уравнение имеет следующий вид:
или
В первом случае скорость реакции определяется уравнением
Линейная форма уравнения:
Константа скорости реакции равна тангенсу угла наклона прямой к оси времени:
k2 = − tgα
Во втором случае выражение для константы скорости реакции будет выглядеть так:
Период полупревращения:
46
46. Возможность использования кинетических уравнений формальной кинетики для исследования биологических процессов на примере фармакокинетики. Константа элиминации и время полувыведения в фармакокинетике.
Фармакокине́тика — раздел медицины, изучающий кинетические закономерности химических и биологических процессов, происходящих с лекарственным средством в организме млекопитающего. Фармакокинетику не следует путать с фармакодинамикой; говорят, что фармакокинетика — это наука о реакции организма на лекарство, тогда как фармакодинамика — это наука о действии лекарства на организм.
Элиминации подвергается только та часть вещества, которая находится в крови, и именно эту элиминацию отражает клиренс (Cl). Для того чтобы на основании клиренса судить о скорости удаления вещества не только из крови, но и из организма в целом, необходимо соотнести клиренс со всем тем объемом, в котором находится данное вещество, - то есть с Vp (объемом распределения). Так, если Vp = 10 л, а Сl = 1 л/мин, то за одну минуту удаляется 1/10 общего содержания вещества в организме. Эта величина называется константой скорости элиминации k:
k = Cl / Vp.
Умножая k на общее содержание вещества в организме, можно для любого момента времени получить абсолютное значение скорости элиминации:
Скорость элиминации = k х ОСО = Cl x С,
где ОСО - общее содержание вещества в организме,
С - сывороточная концентрация вещества в данный момент времени.
Это уравнение справедливо для любых процессов, подчиняющихся кинетике первого порядка. Из него следует, что скорость элиминации в каждый момент пропорциональна общему количеству вещества.
Поскольку Т(1/2) - это временная характеристика экспоненциальных процессов первого порядка, он связан с k следующим соотношением:
T(1/2) = 0,693 / k .
Поскольку
k = Cl / Vp, то
Т(1/2) = (0,693 х Vp) / Cl.
Как k, так и Сl прямо пропорциональны СКФ , и поэтому k - ценный показатель, по которому можно рассчитать, как будет меняться элиминация лекарственного вещества при снижении СКФ у больных с почечной недостаточностью .
Напротив, Т(1/2) не связан с Cl линейной зависимостью.
Площадь под фармакокинетической кривой (AUC) «концентрация-время» — интегральный параметр пропорциональный общему количеству ЛС в организме. По этому показателю можно судить как о максимальной концентрации препарата в крови, так и о скорости его поступления и выведения из организма.
Биодоступность (f) показывает какая часть ЛС (%) при внесосудистом введении достигает системного кровотока и скорость, с которой этот процесс происходит.
Абсолютная биодоступность определяется как отношение AUC препарата, введенного исследуемым методом (перорально, внутримышечно), к AUC при внутривенном его введении.
Об относительной биодоступности говорят при сравнении двух различных лекарственных форм одного препарата.
Общая биодоступность отражает часть дозы препарата, которая при приёме внутрь достигла системного кровотока как в неизмененном виде, так и в виде метаболитов, образовавшихся в процессе всасывания («эффект первичного прохождения», пресистемный метаболизм)
Константа абсорбции (Rab) — характеризует скорость поступления ЛС в системный кровоток при внесосудистом введении.
Максимальная концентрация (Сmax) — характеризует эффективность и безопасность лекарственного средства, её значение не должно выходить за границы терапевтического диапазона.
Время достижения максимальной концентрации (Тmax) — при линейной зависимости «концентрация-эффект» позволяет оценить время наступления максимального эффекта препарата. Следует однако отметить, что для некоторых лекарственных средств пик фармакологического действия может отставать по времени от регистрируемой его максимально.й концентрации.
Объём распределения (Vd) — условный показатель, отражающий степень захвата препарата тканями из плазмы или сыворотки крови. Условно, это объём, в котором надо растворить всю попавшую в организм дозу препарата, чтобы получить концентрацию, равную его концентрации в плазме.
Клиренс (CL) — характеризует скорость «очищения» организма от лекарственного вещества.
Эта часть кажущегося объёма распределения, которая освобождается от препарата в единицу времени. Выделяют общий, почечный и внепочечный клиренс, в зависимости от путей элиминации препарата
Константа скорости элиминации (Kel) — характеризует скорость процессов, приводящих к выведению препарата из организма.
Период полувыведения (Т1/2) — пропорционален константе элиминации (Т1/2 = 0,603 Kel) и показывает за какое время концентрация препарата в организме уменьшается вдвое.
47
47. Сложные реакции и их классификация. Анализ кинетических кривых последовательных реакций первого порядка.
Кинетика сложных реакций
При изучении кинетики сложных реакций, включающих несколько элементарных стадий, используют принцип независимости химических реакций:
Если в системе протекает несколько простых реакций, то каждая из них подчиняется основному постулату химической кинетики независимо от других реакций.
Основные типы сложных реакций мы рассмотрим на примере реакций первого порядка.
1. Обратимые реакции первого порядка:
Закон действующих масс записывается следующим образом:
.
Если начальные концентрации веществ A и B обозначить, соответственно, a и b и ввести степень превращения x ([A] = a - x, [B] = b + x), то кинетическое уравнение приобретает вид:
.
Решение этого уравнения можно выразить через степень превращения, соответствующую достижению равновесия:
или
, (5.1)
где x
определяется условием равенства скоростей прямой и обратной реакций:
, откуда следует:
. (5.2)
При t
наступает равновесие, которое характеризуется константой:
2. Параллельные реакции первого порядка:
Кинетическое уравнение записывается с учетом принципа независимости:
.
Решение этого уравнения записывается так же, как и для одной реакции первого порядка:
,
. (5.3)
Для параллельных реакций в любой момент времени отношение концентраций продуктов постоянно и определяется константами скорости элементарных стадий:
.
3. Последовательные реакции первого порядка:
Пусть в начальный момент времени есть только вещество A. Применим к этой системе закон действующих масс и принцип независимости химических реакций:
с начальными условиями [A]0 = a, [B]0 = [D]0 = 0.
Решение этой системы дает концентрации веществ:
Концентрация промежуточного вещества достигает максимума при
.
Величина этого максимума определяется отношением констант k2 / k1. Если оно велико, т.е. k2 >> k1, то промежуточный продукт не успевает накапливаться и его концентрация в любой момент времени мала. В этом случае для анализа кинетических уравнений можно использовать приближенный метод квазистационарных концентраций ( 6).
Пример изменения концентрации реагентов от времени в реакции
Начальная концентрация вещества A равна 0.5 моль/л.
при значении констант скоростей:
= 0.1 и
= 1
Зависимость концентрации исходного вещества
, промежуточного соединения
и продукта
в последовательной реакции
















