Вопросы и ответы к ним (1159883), страница 8
Текст из файла (страница 8)
где
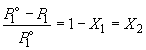
– давление пара чистого растворителя при данной температуре. Для бинарного р-ра з. Рауля можно представить в следующем виде:
,
то есть относительное понижение давления пара растворителя над раствором равно мольной доле X2 растворенного вещества.
Если оба комп. р-ра летучи, то з. Рауля выполняется для каждого из компонентов:
.
Общее давление пара над раствором равно сумме парциальных давлений P1 и P2:
P = P1 + P2 =
,
то есть давление пара линейно зависит от состава раствора.
В ид. р-рах з. Рауля выполняется для обоих компонентов во всем интервале составов.
В реальных предельно разбавленных р-рах для р-ля выполняется з. Рауля, а для раств. в-ва выполняется закон Генри:
P2 = K2X2,
где K2 – константа Генри. В идеальных растворах закон Генри совпадает с законом Рауля (
).
Для описания свойств реальных растворов вводится понятие активности. Активность ai выражается в виде произведения мольной доли Xi компонента на его коэффициент активности
i:
ai =
iXi.
Коэфф. активности растворителя можно рассчитать на основании отклонений от з. Рауля:
i =
.
При Xi
1
i
1, то есть ai
Xi.
Коэфф. активности раств. в-ва можно рассчитать на основании отклонений от з. Генри:
i =
.
При Xi
0
i
1, то есть ai
Xi.
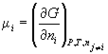
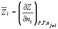
Вклад компонента в любое экстенсивное св-во Z р-ра определяется его парциальной мольной величиной. Парц. мольн. величина i-го компонента отражает изменение св-ва Z при измен. кол-ва i-го компонента на dni при постоянных P, T и составе в расчете на 1 моль:
Общее значение свойства Z выражается суммой вкладов всех компонентов:
Парциальная мольная энергия Гиббса называется хим. потенциалом
:
Парциальные мольные величины компонентов при постоянных P и T связаны уравнением Гиббса-Дюгема:
25
25. Отличие термодинамических свойств смесей от свойств индивидуальных веществ. Парциальные мольные величины (на примере парциальных мольных объемов в системе C2H5OH – H2O).
Парциальная мольная величина компонента – частная производная от любой экстенсивной переменной (Z) по количеству данного компонента (в молях) при постоянных давлении, температуре и числах молей каждого из остальных компонентов многокомпонентной термодинамической системы:
.
Объем раствора равен
Вклад компонента в любое экстенсивное свойство Z раствора определяется его парциальной мольной величиной. Парциальная мольная величина i-го компонента отражает изменение свойства Z при изменении количества i-го компонента на dni при постоянных P, T и составе в расчете на 1 моль:
Общее значение свойства Z выражается суммой вкладов всех компонентов:
Парциальная мольная энергия Гиббса называется химическим потенциалом
:
Парциальные мольные величины компонентов при постоянных P и T связаны уравнением Гиббса-Дюгема:
26
26. Реальные растворы. Метод активностей. Определение активности по давлению пара.
Реальными называются р-ры, кот. не подчиняются законам ид. р-ров. Обычно они составлены из компонентов с различными св-вами, строением молекул и силами взаимодействия между молекулами компонентов. Образование таких р-ров сопровождается изменением объема и тепловыми эффектами. С уменьшением концентрации реального раствора его свойства приближаются к свойствам идеального раствора.
Методы определения активности
Экспериментальные методы определения активности компонентов в растворе основаны на изучении какого-либо гетерогенного равновесия в системе. При рассмотрении этих методов следует помнить, что в условиях равновесия химические потенциалы i-го компонента в разных фазах (I и II) равны:
Это соотношение является исходной точкой для вывода расчетных уравнений в некоторых из методов определения активности. Кроме того, активности компонентов в некоторой фазе связаны между собой уравнением:
По равновесному давлению пара
В основе этого метода лежит соотношение:
где
— парциальное давление пара компонента над раствором, а
— давление пара этого компонента для стандартного состояния (см. выше). Соответственно, если за стандартное состояние принято состояние чистого компонента, то
.
Эксериментальные методы определения давления пара компонентов над раствором весьма разнообразны; выбор того или иного из них определяется, в частности, исследуемой системой (водный раствор или иная низкотемпературная система, либо расплавленный металл, шлак, штейн и т. п.).
По повышению температуры кипения раствора
Т кипения раствора
выше Т кипения чистого р-ля
. Данные об изменении Т кипения р-ра могут быть использованы для расчета активности р-ля, в соответствии с ур-ем:
,
где
— теплота испарения р-ля, в интервале от Т кипения чистого р-ля до Т кипения р-ра принимаемая постоянной. Индексом «1» обычно обозначается р-ль.
По понижению температуры замерзания раствора
Т замерзания р-ра
ниже Т замерзания чистого растворителя
. Соответственно, активность р-ля можно рассчитать, используя зависимость:
,
где
— теплота плавления р-ля.
По осмотическому давлению раствора
Величина осмотического давления раствора может быть использована для определения активности растворителя в соответствии с соотношением:
где
— осмотическое давление,
— парциальный молярный объём р-ля.
По распределению компонента между конденсированными фазами
Активность компонента раствора можно определить, изучая равновесное распределение его между двумя контактирующими конденсированными фазами (различными растворителями, сплавом и шлаком, шлаком и штейном и т. п.), одна из которых — исследуемый раствор, а для другой активность или коэфф. активности уже известны. В общем случае:
В частности, если выбор стандартного состояния компонента для фаз таков, что
, это выражение принимает более простой вид:
Экспериментально в этом методе определяют равновесные концентрации компонента или коэффициент распределения компонента между р-рами.
По равновесию химической реакции с газовой фазой
При исслед. оксидных р-вов активность компонентов часто определяют, использ. следующие хим. р-ции:
MeO + H2 = Me + H2O
MeO + CO = Me + CO2
Для первой из приведенных реакций константа равновесия имеет вид:
Если оксидный и металлический расплавы взаимно нерастворимы и восстанавливается индивидуальный оксид, то
, и тогда:
Если металл выделяется в виде сплава с другими компонентами или растворяется в фазе-коллекторе, его активность не равна единице и формула принимает вид:
Активность металла в сплаве здесь должна быть известна из независимых измерений.
Опытным путем в данном методе определяют отношение
.
Кроме того, активность оксидного компонента связана с равновесным давлением кислорода над расплавом, с учетом реакций в газовой фазе, например:
или
Тогда можно показать, что
Для сульфидных расплавов используют реакцию:
или (значительно реже):
По значению э. д. с. гальванического элемента
ЭДС концентрационной цепи с переносом может быть выражена след. соотношением:
Ттакую цепь можно использовать для нахождения активности и коэфф. активности. В некоторых случаях (например, для сложных сульфидных расплавов) побочное взаимодейтсвие электролита с электродами может приводить к невозможности определения активности компонентов по ЭДС цепи, тогда используют концентрационные цепи без переноса. Нахождение активности компонента по ЭДС концентрационной цепи без переноса — один из самых точных способов определения активности.
27
27. Коллигативные свойства растворов неэлектролитов. Зависимость химического потенциала растворителя от температуры и мольной доли.
Свойства разбавленных растворов, зависящие только от количества нелетучего растворенного в-ва, называются коллигативными свойствами. К ним относятся понижение давление пара растворителя над раствором, повышение температуры кипения и понижение температуры замерзания раствора, а также осмотическое давление.
Понижение температуры замерзания и повышение температуры кипения раствора по сравнению с чистым растворителем:
Tзам. = = KК. m2,
Tкип. =
= KЭ. m2.
где m2 – моляльность раствора, KК и KЭ – криоскопическая и эбулиоскопическая постоянные растворителя, X2 – мольная доля растворенного вещества,
Hпл. и
Hисп. – энтальпии плавления и испарения растворителя, Tпл. и Tкип. – температуры плавления и кипения растворителя, M1 – молярная масса растворителя.
Осмотическое давление
в разбавленных растворах можно рассчитать по уравнению
=
,
где X2 – мольная доля растворенного вещества,
– мольный объем растворителя. В очень разбавленных растворах это уравнение преобразуется в уравнение Вант-Гоффа:
= CRT,
В соответствии с т/д св-вами р-ры подразделяют на те или иные классы, прежде всего — на идеальные и неидеальные (называемые также реальными). Идеальными растворами называют такие растворы, для которых химический потенциал
каждого компонента i имеет простую логарифмическую зависимость от его концентрации (например, от мольной доли xi):
где через обозначен химический потенциал чистого компонента, зависящий только от давления р и температуры Т, и где R — газовая постоянная.
28
28. Понижение температуры плавления (замерзания) и повышение температуры кипения растворов.
















