Вопросы и ответы к ним (1159883), страница 6
Текст из файла (страница 6)
СТЕПЕНИ СВОБОДЫ - независимые возможные изменения состояния физ. системы, обусловленные вариациями её параметров. В т/д с. с.- независимые т/д параметры, определяющие состояние т/д равновесия системы. Число с. с. f равновесной т/д системы определяется правилом фаз Гиббса (основной закон гетерогенных равновесий, согласно которому в гетерогенной (макроскопически неоднородной) физико-химической системе, находящейся в устойчивом термодинамическом равновесии, число фаз не может превышать числа компонентов, увеличенного на 2):
, где n - число компонентов, r - число фаз.
Условием равновесия между двумя фазами является равенство р, Т и хим. потенциалов (мольных энергий Гиббса) в обеих фазах. Если Т изменяется при постоянном р или р изменяется при постоянной Т, то равновесие нарушается и одна из фаз исчезает. Изменение химических потенциалов фаз при этом можно рассчитать по ур-ям:
,
,
где
и
– мольные энергия Гиббса, энтропия и объем.
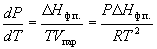
Условие сосуществования двух фаз при одновременном изменении давления P и температуры T описывается уравнением Клапейрона:
,
где
Hф.п. – мольная энтальпия равновесного ф.п.,
Vф.п. – разность мольных объемов фаз, находящихся в равновесии.
В случаях испарения и возгонки ур-е можно упростить, считая, что мольным объемом конденсированной фазы (жидкости или твердого тела) Vк.ф. по сравнению с мольным объемом пара Vпар можно пренебречь и что пар подчиняется уравнению состояния идеального газа. Подставляя (Vпар – Vк.ф.)
Vпар и Vпар = RT/P, получаем ур-е Клаузиуса-Клапейрона:
или после преобразования
.
Интегрирование в предположении, что
Hф.п. не зависит от температуры (что справедливо в узких интервалах температур), дает
где C – константа интегрирования. Следовательно, зависимость lnP от 1/Т должна быть линейной, а наклон прямой равен –
Hф.п./R.
Интегрирование в пределах P1, P2, и T1, T2 дает:
По этому уравнению можно рассчитать энтальпию испарения или возгонки, исходя из значений давления пара при двух разных температурах.
Мольные энтальпии возгонки, плавления и испарения при данной температуре связаны соотношением
возгH =
плH +
испH
Энтальпию испарения жидкости можно приближенно оценить по правилу Трутона, согласно которому мольная энтропия испарения в нормальной точке кипения (при 1 атм) приблизительно постоянна:
испS =
88 Дж. моль–1. К–1
Правило хорошо выполняется для неполярных жидкостей.
Зависимость энтальпии ф.п. от Т можно рассчитать по закону Кирхгофа:
или
19
19. Однокомпонентные системы. Фазовые переходы первого и второго рода. Фазовые диаграммы H2O, CO2 и He.
Однокомпонентная система - любое простое в-во или хим. соед., обладающее строго определенным составом в газообразном, жидком и твердом состояниях.
Диаграммы состояния обычно строят на плоскости в координатах Т-р. Фазовые поля (области существования) пара V, жидкости L и твердой фазы S дивариантны, т.е. допускают одновременное изменение двух параметров состояния - Т и р.
Фазовый переход — переход в-ва из одной т/д фазы в др. при изменении внеш. усл.. С точки зрения движения системы по фазовой диаграмме при изменении её интенсивных параметров (Т, р и т. п.), ф.п. происходит, когда система пересекает линию, разделяющую две фазы. Поскольку разные т/д фазы описываются различными ур-ями состояния, всегда можно найти величину, кот. скачкообразно меняется при ф.п.
При фазовом переходе первого рода скачкообразно изменяются самые главные, первичные экстенсивные параметры: удельный объём, количество запасённой внутренней энергии, концентрация компонентов и т. п. Подчеркнём: имеется в виду скачкообразное изменение этих величин при изменении температуры, давления и т. п., а не скачкообразное изменение во времени.
Наиболее распространённые примеры ф.п. первого рода:
-
плавление и кристаллизация
-
испарение и конденсация
-
сублимация и десублимация
При ф.п. второго рода плотность и внутренняя энергия не меняются, так что невооружённым глазом такой ф.п. может быть незаметен. Скачок же испытывают их производные по T и P: теплоёмкость, коэфф. теплового расширения, различные восприимчивости и т. д.
Ф.п. второго рода происходят в тех случаях, когда меняется симметрия строения вещества (симметрия может полностью исчезнуть или понизиться). Описание фазового перехода второго рода как следствие изменения симметрии даётся теорией Ландау. В настоящее время принято говорить не об изменении симметрии, но о появлении в точке перехода параметра порядка, равного нулю в менее упорядоченной фазе и изменяющегося от нуля (в точке перехода) до ненулевых значений в более упорядоченной фазе.
Наиболее распространённые примеры ф.п. второго рода:
-
прохождение системы через критическую точку
-
переход парамагнетик-ферромагнетик или парамагнетик-антиферромагнетик (параметр порядка — намагниченность)
-
переход металлов и сплавов в состояние сверхпроводимости (параметр порядка — плотность сверхпроводящего конденсата)
-
переход жидкого гелия в сверхтекучее состояние (п.п. — плотность сверхтекучей компоненты)
-
переход аморфных материалов в стеклообразное состояние
Современная физика исследует также системы, обладающие фазовыми переходами третьего или более высокого рода.
В последнее время широкое распространение получило понятие квантовый фазовый переход, т.е. фазовый переход, управляемый не классическими тепловыми флуктуациями, а квантовыми, которые существуют даже при абсолютном нуле температур, где классический фазовый переход не может реализоваться вследствие теоремы Нернста.
Диаграмма для H2O
Диаграмма состояния CO2.
Гелий
20
20. Уравнение Клапейрона-Клаузиуса и его применение к процессам плавления, испарения и сублимации.
Усл. сосущ. 2х фаз при одновременном изменении р и T описывается ур-ем Клапейрона:
,
где
Hф.п. – мольная энтальпия равновесного ф.п.(плавление, испарение, возгонка, переход между модификациями),
Vф.п. – разность мольных объемов фаз, находящихся в равновесии.
В случаях исп. и возгонки ур-е можно упростить, считая, что мольным объемом конденсированной фазы (жидкости или твердого тела) Vк.ф. по сравнению с мольным объемом пара Vпар можно пренебречь и что пар подчиняется ур-ю состояния ид. газа. Подставляя (Vпар – Vк.ф.)
Vпар и Vпар = RT/P, получаем уравнение Клаузиуса-Клапейрона:
=>
.
Интегрирование в предположении, что
Hф.п. не зависит от T (что справедливо в узких интервалах T), дает
=>
где C – константа интегрирования. Следовательно, зависимость lnP от 1/Т должна быть линейной, а наклон прямой равен –
Hф.п./R.
Интегрирование в пределах P1, P2, и T1, T2 дает:
=>
По этому ур-ю можно рассчитать Н испарения или возгонки, исходя из значений р пара при двух разных Т.
Мольные Н возгонки, плавления и испарения при данной Т связаны соотношением
возгH =
плH +
испH
Н испарения жидкости можно приближенно оценить по правилу Трутона, согласно которому мольная энтропия испарения в нормальной точке кипения (при 1 атм) приблизительно постоянна:
испS =
88 Дж. моль–1. К–1
Правило хорошо выполняется для неполярных жидкостей.
Зависимость энтальпии фазового перехода от температуры можно рассчитать по закону Кирхгофа:
где
Cp – разность теплоемкостей фаз, находящихся в равновесии,
H0 – константа интегрирования, определяемая из известных значений
Hф.п. и
Cp. Для небольших интервалов температуры можно считать, что
Cp = const.
Hф.п. (T) =
H0 + T
Cp.
,
в котором С определяют из известных значений P,
H0 и
Cp.
21
21. Химический потенциал, его зависимость от температуры и давления. Химический потенциал компонента раствора.
Хими́ческий потенциа́л μ — один из т/д параметров системы, а именно энергия добавления одной частицы в систему без совершения работы. Определение хим. потенциала можно записать в виде:
где Е — энергия системы, S — её энтропия, N — количество частиц в системе.
Эта формула определяет, кроме хим. потенциала μ, также р и T.
,
где G — потенциал Гиббса.
Если энергия системы зависит не от объёма, а от других термодинамических параметров A1,A2..., исходная формула принимает вид
Если в системе имеется несколько разных типов частиц, есть столько же разных хим. потенциалов.
Парциальная мольная энергия Гиббса называется химическим потенциалом
:
Парциальные мольные величины компонентов при постоянных P и T связаны уравнением Гиббса-Дюгема:
∆µ = RT ln (p2 /p1).
















