Вопросы и ответы к ним (1159883), страница 4
Текст из файла (страница 4)
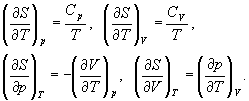
где dS - приращение энтропии; δQ - минимальная теплота подведенная к сист.; T - абсолютная T процесса
dU = TdS - pdV (1)
dH = TdS + Vdp (2)
dF = - pdV - SdT (3)
dG = Vdp - SdT (4)
Три соотношения получаются при перекрестном дифференцировании уравнений: (2) - (4).
Общая формула температурной зависимости с учетом возможных агрегатных превращений будет
Расчет изменения энтропии для различных процессов
Т/д расчеты изменения S основаны на определении и на св-вах частных производных S по т/д параметрам:
Последние два тождества представляют собой соотношения Максвелла.
1) Нагревание или охлаждение при постоянном давлении.
Кол-во теплоты, необходимое для изменения Т системы, выражают с помощью теплоемкости:
Qобр = Cp dT.
Если теплоемкость не зависит от Т в интервале от T1 до T2, то ур-е можно проинтегрировать:
.
Если изменение Т происходит при постоянном V, то в формулах Cp надо заменить на CV.
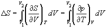
2) Изотермическое расширение или сжатие.
Для расчета S в этом случае надо знать ур-е состояния системы. Расчет основан на использовании соотношения Максвелла:
В частности, для изотермического расширения ид. газа (p = nRT / V)
Этот же результат можно получить, если использовать выражение для теплоты изотермического обратимого расширения идеального газа: Qобр = nRT ln(V2/V1).
3) Фазовые переходы.
При обратимом фп T остается постоянной, а теплота фп при постоянном p равна
Hфп, поэтому изменение S равно:
При плавлении и кипении теплота поглощается, поэтому S в этих процессах возрастает: Sтв < Sж < Sг. При этом S ОС уменьшается на величину
Sф.п., поэтому изменение S Вселенной равно 0, как и полагается для обр. проц. в изолир. сист.
4) Смешение идеальных газов при постоянных T и p.
Если n1 молей одного газа, занимающего объем V1, смешиваются с n2 молями другого газа, занимающего объем V2, то общий объем будет равен V1 + V2, причем газы расширяются независимо друг от друга и общее изменение S равно сумме изменений S каждого газа:
,
где xi - мольная доля i-го газа в полученной газовой смеси. Изменение S всегда «+», т.к. все ln xi < 0, поэтому идеальные газы всегда смешиваются необратимо.
Если при тех же условиях смешиваются две порции одного и того же газа, то уравнение уже неприменимо. Никаких изменений в сист. при смешивании не происходит, и
S = 0. Тем не менее, формула не содержит никаких индивидуальных параметров газов, поэтому, казалось бы, должна быть применима и к смешению одинаковых газов. Это противоречие называют парадоксом Гиббса.
12
12. Третий закон термодинамики. Определение абсолютного значения энтропии. Изменение энтропии в химических реакциях.
III ЗТД: теорема Нернста: энтропия любой системы при абсолютном нуле Т всегда может быть принята равной 0.
Абсолютная энтропия
В отличие от многих других термодинамических функций, энтропия имеет точку отсчета, которая задается постулатом Планка (третьим законом термодинамики): при абсолютном нуле T = 0 К все идеальные кристаллы имеют одинаковую энтропию, равную нулю.
При стремлении температуры к абсолютному нулю не только энтропия стремится к 0, но и ее производные по всем термодинамическим параметрам:
(x = p, V).
Это означает, что вблизи абсолютного нуля все термодинамические процессы протекают без изменения энтропии. Это утверждение называют тепловой теоремой Нернста.
Постулат Планка позволяет ввести понятие абсолютной энтропии вещества, т.е. энтропии, отсчитанной от нулевого значения при T = 0. Для расчета абсолютной энтропии веществ в стандартном состоянии надо знать зависимости теплоемкости Cp от температуры для каждой из фаз, а также температуры и энтальпии фазовых переходов. Так, например, абсолютная энтропия газообразного вещества в стандартном состоянии при температуре T складывается из следующих составляющих:
В т/д таблицах обычно приводят значения абсолютной S в станд. состоянии при T 298 К.
Значения абсолютной S в-в используют для расчета изменения S в хим. р-циях:
.
13
13. Фундаментальное уравнение Гиббса (объединенное уравнение первого и второго начала).
Фундаментальное уравнение Гиббса имеет вид:
dU = TdS - pdV+∑µidni
T,- p, µi - это частные производные внутренней энергии.
µi = (∂U/∂ni)S,V,nj - химический потенциал.
*I ЗТД: ΔU = Q – A.
*II ЗДТ: Существует функция состояния - энтропия S, которая обладает следующим свойством:
, где знак равенства относится к обратимым процессам, а знак больше - к необратимым.
Вклад компонента в любое экстенсивное свойство Z раствора определяется его парциальной мольной величиной. Парциальная мольная величина i-го компонента отражает изменение свойства Z при изменении количества i-го компонента на dni при постоянных P, T и составе в расчете на 1 моль:
Общее значение свойства Z выражается суммой вкладов всех компонентов:
Парциальная мольная энергия Гиббса называется химическим потенциалом
:
Парциальные мольные величины компонентов при постоянных P и T связаны уравнением Гиббса-Дюгема:
* Зависимость т/д потенциалов от их естественных переменных описывается основным ур-ем т/д, кот. объединяет первое и второе начала. Это уравнение можно записать в четырех эквивалентных формах:
dU = TdS - pdV
dH = TdS + Vdp
dF = - pdV - SdT
dG = Vdp - SdT
14
14. Характеристические функции и их свойства на примере изохорного (F) и изобарного потенциалов (G).
Т/д потенциалы, взятые как ф-ции своих естественных переменных, являются характеристическими ф-циями системы. Это означает, что любое т/д. св-во (сжимаемость, теплоемкость и т. п.) м. б. выражено соотношением, включающим только данный т/д потенциал, его естественные переменные и производные т/д потенциалов разных порядков по естественным переменным. В частности, с помощью т/д потенциалов можно получить ур-я состояния системы.
Характеристиская функция в т/д — ф-ция состояния т/д системы, посредством кот. и её производных по независимым параметрам (объёму, температуре и др.) могут быть явно выражены все термодинамические свойства системы; к характеристическим ф-циям относят:
-
т/д потенциалы;
-
энтропия.
Характеристическая функция аддитивна: характеристическая функция всей системы равна сумме характеристических функций её частей.
Т/д потенциалами, или характеристическими ф-циями, называют т/д ф-ции, кот. содержат в себе всю т/д информацию о системе. Наибольшее значение имеют 4 основных т/д потенциала:
1) внутренняя энергия U(S,V),
2) энтальпия H(S,p) = U + pV,
3) энергия Гельмгольца F(T,V) = U - TS,
4) энергия Гиббса G(T,p) = H - TS = F + pV.
В скобках указаны т/д параметры, которые получили название естественных переменных для т/д потенциалов. Все эти потенциалы имеют размерность энергии и все они не имеют абс. значения, поскольку определены с точностью до постоянной, кот/ равна U при абс. 0.
Завис-ть т/д потенциалов от их естественных переменных описывается основным ур-ем т/д, кот. объединяет первое и второе начала. Это ур-е можно записать в четырех эквивалентных формах:
dU = TdS - pdV
dH = TdS + Vdp
dF = - pdV - SdT
dG = Vdp - SdT
Эти ур-я записаны в упрощенном виде - только для закрытых систем, в которых совершается только мех. работа.
Зная любой из четырех потенциалов как ф-цию естественных переменных, можно с помощью основного ур-я т/д найти все другие т/д ф-ции и параметры системы.
Другой важный смысл т/д потенциалов состоит в том, что они позволяют предсказывать направление т/д процессов. Так, например, если процесс происходит при постоянных Т и р, то неравенство, выражающее II ЗТД:
эквивалентно неравенству dGp,T
0 (мы учли, что при постоянном давлении
Qp = dH), где знак равенства относится к обратимым процессам, а неравенства - к необратимым. Таким образом, при необратимых процессах, протекающих при постоянных температуре и давлении, энергия Гиббса всегда уменьшается. Минимум энергии Гиббса достигается при равновесии.
Аналогично, любой т/д потенциал в необратимых процессах при постоянстве естественных переменных уменьшается и достигает минимума при равновесии:
| Потенциал | Естественные | Условие само-произвольности | Условия |
| U | S = const, V = const | dU < 0 | dU = 0, d 2U > 0 |
| H | S = const, p = const | dH < 0 | dH = 0, d 2H > 0 |
| F | T = const, V = const | dF < 0 | dF = 0, d 2F > 0 |
| G | T = const, p = const | dG < 0 | dG = 0, d 2G > 0 |
Наибольшее значение в конкретных т/д расчетах имеют два последние потенциала - энергия Гельмгольца F и энергия Гиббса G , т.к. их естественные переменные наиболее удобны для химии. Другое название этих ф-ций - изохорно-изотермический и изобарно-изотермический потенциалы. Они имеют дополнительный физико-химический смысл. Уменьшение энергии Гельмгольца в каком-либо процессе при T = const, V = const равно максимальной механической работе, которую может совершить система в этом процессе:
F1 - F2 = Amax (= Aобр).
Таким образом, энергия F равна той части внутренней энергии (U = F + TS), которая может превратиться в работу.
















