Вопросы и ответы к ним (1159883), страница 5
Текст из файла (страница 5)
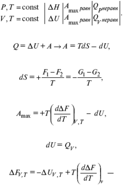
Аналогично, уменьшение энергии Гиббса в каком-либо проц. при T = const, p = const равно максимальной полезной (т.е., немех.) работе, кот. может совершить сист. в этом проц.:
G1 - G2 = Aпол.
Зависимость энергии Гельмгольца (Гиббса) от V (p) вытекает из основного ур-я т/д
. (5)
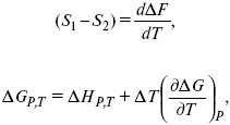
Зависимость этих ф-ций от Т можно описать с помощью основного ур-я т/д:
(6)
или с помощью ур-я Гиббса-Гельмгольца:
(7)
Расчет изменения ф-ций F и G в хим. р-циях можно проводить разными способами. Рассмотрим два из них на примере энергии Гиббса.
1) По определению, G = H - TS. Если продукты р-ции и исходные в-ва находятся при одинаковой T, то стандартное изменение энергии Гиббса в хим. р-ции равно:
,
где тепловой эффект можно рассчитать с помощью стандартных H образования, а стандартное изменение S - по абсолютным S участников р-ции.
2) Аналогично тепловому эффекту р-ции, изменение энергии Гиббса можно рассчитать, используя энергии Гиббса образования в-в:
.
В т/д таблицах обычно приводят абсолютные энтропии и значения т/д ф-ций образования соединений из простых в-в при Т 298 К и р 1 бар (станд. состояние). Для расчета
rG и
rF при других усл. используют соотношения (5) - (7).
Все т/д потенциалы являются ф-циями состояния. Это св-во позволяет найти некоторые полезные соотношения между частными производными, которые называют соотношениями Максвелла.
15
15. Энергия Гиббса и ее зависимость от температуры и давления. Изменение энергии Гиббса в химических реакциях.
Свободная энергия Гиббса (или просто энергия Гиббса, или потенциал Гиббса, или т/д потенциал в узком смысле) — это т/ди потенциал следующего вида:
Энергию Гиббса можно понимать как полную хим. энергию сист. (кристалла, жид. и т. д.)
Классическим определением энергии Гиббса является выражение
где U — внутренняя энергия, P — давление, V — объем, T — абсолютная температура, S — энтропия.
Дифференциал энергии Гиббса для системы с постоянным числом частиц, выраженный в собственных переменных - через давление p и температуру T:
Для системы с переменным числом частиц этот дифференциал записывается так:
Здесь μ — химический потенциал, который можно определить как энергию, которую необходимо затратить, чтобы добавить в систему ещё одну частицу.
Покажем, что минимум потенциала Гиббса соответствует устойчивому равновесию т/д системы с фиксированными Т, р и числом частиц.
Запишем обобщённое уравнение первого и второго начал т/д:
При
.
Таким образом в системе при постоянных Т и р энергия Гиббса достигает мин. значения
Связь с химическим потенциалом
Используя свойства экстенсивности термодинамических потенциалов, математическим следствием которых является соотношение Гиббса-Дюгема, можно показать, что химический потенциал есть отношение энергии Гиббса к числу частиц в системе:
Если система состоит из частиц нескольких сортов i с числом Ni частиц каждого сорта, то соотношения Гиббса-Дюгема приводят к выражению
Химический потенциал применяется при анализе систем с переменным числом частиц, а также при изучении фазовых переходов. Так, исходя из соотношений Гиббса-Дюгема и из условий равенства химических потенциалов μ1 = μ2 находящихся в равновесии друг с другом фаз, можно получить уравнение Клапейрона-Клаузиуса, определяющее линию сосуществования двух фаз в координатах (p,T) через термодинамические параметры (удельные объёмы) фаз и теплоту перехода между фазами
Энергия Гиббса и направление протекания реакции
В химических процессах одновременно действуют два противоположных фактора — энтропийный (TΔS) и энтальпийный (ΔH). Суммарный эффект этих противоположных факторов в процессах, протекающих при постоянном давлении и температуре, определяет изменение энергии Гиббса (G):
Характер изменения энергии Гиббса позволяет судить о принципиальной возможности осуществления процесса. При ΔG < 0 процесс может протекать, при ΔG > 0 процесс протекать не может.
Зависимость этих функций от температуры можно описать с помощью основного уравнения термодинамики:
или с помощью уравнения Гиббса-Гельмгольца:
Расчет изменения функций F и G в химических реакциях можно проводить разными способами. Рассмотрим два из них на примере энергии Гиббса.
1) По определению, G = H - TS. Если продукты реакции и исходные вещества находятся при одинаковой температуре, то стандартное изменение энергии Гиббса в химической реакции равно:
,
где тепловой эффект можно рассчитать с помощью стандартных энтальпий образования, а стандартное изменение энтропии - по абсолютным энтропиям участников реакции.
2) Аналогично тепловому эффекту реакции, изменение энергии Гиббса можно рассчитать, используя энергии Гиббса образования веществ:
.
В т/д таблицах обычно приводят абсолютные энтропии и значения термодинамических функций образования соединений из простых веществ при температуре 298 К и давлении 1 бар (стандартное состояние). Для расчета
rG и
rF при других условиях используют соотношения (5) - (7).
16
16. Уравнение Гиббса-Гельмгольца.
Уравнения Гиббса-Гельмгольца.
Эти соотношения следуют непосредственно из определения энергии Гельмгольца
F(T,V,ni) = U - TS ; dF = -SdT +Vdp+ ∑µi dni
и энергии Гиббса
G(T,p,ni) = U - TS +pV = H - TS; dG = -SdT +Vdp+ ∑µi dni (1)
Энтропия является частной производной
S = - (dG/dT)p,ni и S = - (dF/dT)V, ni (2)
Подставляя (2) в (1) получаем уравнения Гиббса – Гельмгольца
G = H - TS = H + T (dG/dT)p,ni ; (-d(G/T)/dT) = H/T2
F = U - TS = U + T (dF/dT)V,ni ; (-d(F/T)/dT) = U/T2
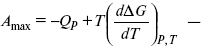
Уравнения Гиббса – Гельмгольца – уравнения максимальной работы.
Они позволяют установить связь между максимальной работой равновесного процесса и теплотой неравновесного процесса
Ур-е Гельмгольца (ур-е связывающее ф-ции F и G с их температурными производными).
Ур-е Гиббса (уравнение связывающее функции F и G с их температурными производными).
Ур-я эти дают возможность рассчитать работу через температурный коэффициент ф-ции Гельмгольца или через температурный коэффициент ф-ции Гиббса.
17
17. Соотношения Максвелла и их использование для различных термодинамических расчетов.
Т/д потенциалами, или характеристическими ф-циями, называют т/д ф-ции, кот. содержат в себе всю т/д информацию о системе. Наиб. значение имеют 4 основных т/д потенциала:
1) внутренняя энергия U(S,V),
2) энтальпия H(S,p) = U + pV,
3) энергия Гельмгольца F(T,V) = U - TS,
4) энергия Гиббса G(T,p) = H - TS = F + pV.
В скобках указаны т/д параметры, которые получили название естественных переменных для т/д потенциалов. Все эти потенциалы имеют размерность энергии и все они не имеют абс. значения, поскольку определены с точностью до постоянной, кот/ равна U при абс. 0.
Завис-ть т/д потенциалов от их естественных переменных описывается основным ур-ем т/д, кот. объединяет I и II начала. Это ур-е можно записать в 4х эквивалентных формах:
dU = TdS - pdV
dH = TdS + Vdp
dF = - pdV - SdT
dG = Vdp - SdT
Эти ур-я записаны в упрощенном виде - только для закрытых сист., в кот. совершается только мех. работа.
Зная любой из 4х потенциалов как ф-цию естественных переменных, можно с помощью основного ур-я т/д найти все другие т/д ф-ции и параметры системы.
Другой важный смысл т/д потенциалов состоит в том, что они позволяют предсказывать направление т/д процессов. Так, например, если процесс происходит при постоянных Т и р, то неравенство, выражающее II ЗТД:
эквивалентно неравенству dGp,T
0 (мы учли, что при постоянном давлении
Qp = dH), где знак равенства относится к обратимым процессам, а неравенства - к необратимым. Таким образом, при необратимых процессах, протекающих при постоянных температуре и давлении, энергия Гиббса всегда уменьшается. Минимум энергии Гиббса достигается при равновесии.
Все т/д потенциалы являются ф-циями состояния. Это св-во позволяет найти некоторые полезные соотношения между частными производными, которые называют соотношениями Максвелла.
Рассмотрим выражение для U. Т.к. dU - полный дифференциал, частные производные U по естественным переменным равны:
Если продифференцировать первое тождество по объему, а второе - по энтропии, то получатся перекрестные вторые частные производные U, которые равны друг другу:
Три другие соотношения получаются при перекрестном дифференцировании ур-ий
18
18. Фазовые равновесия. Определение фазы, компонента, степени свободы. Правило фаз Гиббса.
Фаза – т/д равновесное состояние в-ва, отличающееся по своим физ. св-вам от др. равновесных состояний (других фаз) того же вещества . Иногда неравновесное метастабильное состояние вещества также называют фазой (метастабильной). Переход в-ва из одной Ф. в др. – фазовый переход – связан с качественным изменением св-в в-ва. В большинстве случаев Ф. пространственно однородны. Однако известен ряд исключений: смешанное состояние сверхпроводников 2-го рода, ферромагнетики в слабых магнитных полях и др.
Компоненты – хим. индивидуальные в-ва, из кот. состоит т/д система.
К. называют не общее число составляющих систему в-в, а такое их число, которое достаточно для выражения состава любой фазы системы..Для К. характерно то, что масса каждого из них в системе не зависит от массы других (К. можно независимо вводить в систему и выделять из неё).
















