GROUP4-2 (1123674)
Текст из файла
МОСКОВСКИЙ ГОСУДАРСТВЕННЫЙ УНИВЕРСИТЕТ им. М.В. ЛОМОНОСОВА
ФАКУЛЬТЕТ ВОЕННОГО ОБУЧЕНИЯ
КАФЕДРА ВОЙСК ПВО
У Т В Е Р Ж Д А Ю
Начальник военной кафедры Войск ПВО
ФВО при МГУ им. М.В. Ломоносова
полковник
И.Я. КАЛАШНИКОВ
“ “ _____________ 199 г.
МЕТОДИЧЕСКАЯ РАЗРАБОТКА
для проведения занятий по военно-специальной подготовке со студентами, обучающимися по ВУС - 530700
ТЕМА 4. Методы оценки боевой эффективности
образцов вооружения при стрельбе по
групповой цели.
Занятие 4.2 Вычисление показателей эффективности стрельбы по
групповой цели.
Обсуждена на методическом заседании цикла №24
протокол №___ от « » ____________ 1997 года
МОСКВА - 199 год
Учебные цели
Изучить методы оценки эффективности стрельбы по групповой цели дать практику студентам в составлении алгоритмов для определения показателей эффективности стрельбы.
Учебные вопросы:
1. Групповые цели. Определение и классификация. Показатели эффективности стрельбы по групповым целям.
2. Оценка эффективности стрельбы по рассредоточенной групповой цели без переноса огня.
-
Решение задачи с применением рекуррентных зависимостей.
2.2 Использование двоичных переменных.
2.3 Решение задачи методом статистических испытаний.
3. Оценка эффективности стрельбы по рассредоточенной групповой цели с переносом огня.
-
Решение задачи с использованием рекуррентных зависимостей
-
Использование двоичной переменной.
-
Решение задачи с использованием статистических испытаний
4. Расчет показателей эффективности при стрельбе по компактной цели.
4.1Решение задачи с использованием рекуррентных зависимостей.
-
Решение задачи методом статистических испытаний.
4.3 Решение задачи методом моделирования процесса стрельб .
Учебное время: 4 часа
Метод проведения: групповое занятие
1. Групповые цели. Определение и классификация.
Показатели эффективности стрельбы по групповым целям.
Определение: под групповой целью понимают совокупность отдельных целей, стрельба по которым преследует общую задачу: нанести цели такой ущерб, чтобы противник не смог выполнить БЗ, требующую совместных действий группы средств.
В качестве показателей эффективности стрельбы по групповой цели используются:
Либо
- среднее число пораженных единиц,
либо
- вероятность поражения не менее «
» единиц. Вероятность
удобно выразить через функцию распределения числа пораженных единиц:
Для расчета показателей эффективности стрельбы по групповой цели должны быть заданы:
- число единиц в групповой цели;
- вероятность поражения
-ой единицы групповой цели одним выстрелом
.
- общее число выстрелов, производимых по групповой цели;
Метод расчета показателей эффективности стрельбы зависит от типа групповой цели (рассредоточенная, компактная) и от способа ее обстрела (без переноса огня, с переносом огня).
Для классификации типа групповой цели вводятся обозначения:
- минимальное расстояние между единицами групповой цели;
- радиус поражения одним выстрелом;
-характеристика рассеивания, случайная ошибка наведения
Групповая цель называется рассредоточенной, если выполняется условие:
Групповая цель называется компактной, если выполняются условия:
Для упрощения задачи будем рассматривать такую компактную цель, для которой выполняется условие
Перенос огня при стрельбе имеет смысл только для рассредоточенной групповой цели.
2. Оценка эффективности стрельбы по рассредоточенной
групповой цели без переноса огня.
Каждая единица групповой цели обстреливается независимо от остальных заранее назначенным количеством выстрелов
, без учета результатов стрельбы, и поражается «обобщенным» выстрелом с вероятностью
Требуется оценить эффективность стрельбы.
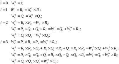
2.1 Решение задачи с применением рекуррентных зависимостей.
Обозначим
- вероятность поражения ровно
единиц из
и выведем рекуррентные зависимости, связывающие
с
и
для различных «
».
и т.д.
В общем случае
Используя последнее выражение, мы можем написать алгоритм решения задачи. Он будет состоять из двух функциональных частей - нахождения ряда распределения числа пораженных единиц и вычисление показателей эффективности.
2.2 Использование двоичных переменных.
Все возможные комбинации целых чисел из «
» по «
» можно получить, используя двоичную переменную с фиксированной точкой.
Увеличивая знaчeниe переменной на «
», можно за
шагов сформировать все комбинации целых чисел из «
» по «
», где
.
С этой целью отождествляем двоичные разряды переменной
с числами
, а появление «
» в
-ом двоичном разряде рассматриваем как появление
-го целого числа (индекса
или
).
Например:
При
получаем комбинации целых чисел из «
» по «
», где
и каждой комбинации ставим в соответствие определенное произведение символов
и
:
Откуда формируем выражения для вычисления вероятностей поражения «
» единиц групповой цели :
Формирование выражений для
удобно производить, преобразуя переменную
в битовую строку длиной
.
2.3 Решение задачи методом статистических испытаний.
Производится
серий испытаний по «
» испытаний в каждой серии. В каждом испытании:
-
Разыгрывается факт поражения
-ой единицы групповой цели с заданной вероятностью поражения
с использованием случайной равномерно распределенной в интервале
последовательности
.Если выполняется условие
, то
-я единица считается пораженной и значение счетчика числа пораженных единиц
увеличивается на «
». -
После каждой серии
испытаний проверяется условие
(заданного числа единиц), то значение счетчика удачных серий
увеличивается на «
». -
После проведенных
серий испытаний определяется:
-
Оценка эффективности стрельбы по рассредоточенной групповой цели с переносом огня.
3.1Решение задачи с использованием рекуррентных зависимостей.
Выведем зависимости вероятностей поражения ровно
единиц
выстрелами
от вероятностей
и
:
и т. д.
И в общем случае
Эта схема работает при
. Если число выстрелов больше числа целей
, то необходимо количество единиц групповой цели дополнить до «
» фиктивными единицами с вероятностями поражения
.
-
Использование двоичной переменной.
Нужные комбинации произведений для вычислений
-вероятностей поражения ровно «
» единиц групповой цели можно получить используя двоичную переменную с фиксированной точкой.
Пусть в программе объявлена переменная
. Увеличивая ее значения на «
» получаем все возможные комбинации для поражающих выстрелов
.
Например, при
имеем следующие значения переменной
и соответствующие им произведения
и
:
Отсюда формируются выражения для
3.3 Решение задачи с использованием статистических испытаний
Производится
серий испытаний и в каждой серии испытаний выполняется:
-
Последовательно разыгрывается поражение единиц групповой цели: при
цель считается пораженной
и очередной
-ый выстрел производится по
-ой цели иначе
-ый выстрел производится по
-ой цели. -
Если
или
, то серия испытаний заканчивается и проверяется условие
.При выполнении неравенства в счетчик удачных серий «
» добавляется «
». -
После проведения
серий испытаний определяются:
4. Расчет показателей эффективности при стрельбе по
компактной цели.
Постановка задачи.
По компактной групповой цели, состоящей из «
» единиц производится «
» независимых выстрелов. Известно, что одним выстрелом может быть поражена только одна единица с вероятностью
или произойти промах с вероятностью
. Определить показатели эффективности стрельбы.
4.1Решение задачи с использованием рекуррентных зависимостей.
Суть этого метода состоит в выводе чистых рекуррентных зависимостей. Будем рассматривать значения вероятностей поражения
выстрелами ровно
единиц из
, имеющихся в составе групповой цели (очевидно, что
),
.
Зафиксируем достоверные события. Очевидно, что:
при любом
- фиксируем в порядке нумерации
На основе этих утверждений перейдем к выводу рекуррентных зависимостей. Пусть
и т. д.
Мы получили общее выражение для вычисления
из которого следует, что вероятность поражения
выстрелами ровно
единиц из
имеющихся равна вероятности поражения выстрелами
единиц из
имеющиеся плюс сумму вероятностей того, что
единиц из
имеющихся будет поражена
выстрелами , a
снарядов попадут в
-ю единицу.
-
Решение задачи методом статистических испытаний.
Производится
серий испытаний по «
» испытаний в серии. В каждом испытании выполняется следующее:
-
Для каждого
-го выстрела определяется номер пораженной цели
- номер пораженной цели (при
- цель не поражена). -
Пораженная цель помечается, чтобы исключить накопление ущерба
-
После выполнения «
» выстрелов, определяется число пораженных единиц в
-ой серии испытаний -
В счетчик числа успешных реализаций с номером равным
добавляется «
»
; -
После выполнения всех
серий испытаний вычисляется
4.3 Решение задачи методом моделирования процесса стрельб .
Методическую разработку составил
преподаватель 24 цикла
подполковник В.Живицкий
Характеристики
Тип файла документ
Документы такого типа открываются такими программами, как Microsoft Office Word на компьютерах Windows, Apple Pages на компьютерах Mac, Open Office - бесплатная альтернатива на различных платформах, в том числе Linux. Наиболее простым и современным решением будут Google документы, так как открываются онлайн без скачивания прямо в браузере на любой платформе. Существуют российские качественные аналоги, например от Яндекса.
Будьте внимательны на мобильных устройствах, так как там используются упрощённый функционал даже в официальном приложении от Microsoft, поэтому для просмотра скачивайте PDF-версию. А если нужно редактировать файл, то используйте оригинальный файл.
Файлы такого типа обычно разбиты на страницы, а текст может быть форматированным (жирный, курсив, выбор шрифта, таблицы и т.п.), а также в него можно добавлять изображения. Формат идеально подходит для рефератов, докладов и РПЗ курсовых проектов, которые необходимо распечатать. Кстати перед печатью также сохраняйте файл в PDF, так как принтер может начудить со шрифтами.
















