диссертация (1105558), страница 2
Текст из файла (страница 2)
Глава 1. Обзор литературы
1.1. Реагенты для дериватизации аминогруппы
В этой главе обсуждены разнообразные дериватизующие реагенты, пригодные или перспективные для модифицирования гидразинов с целью повышения чувствительности и селективности их определения, в зависимости от системы детектирования.
Реакции дериватизации протекают под действием химических реагентов или посредством физических методов с целью превращения вещества, вызывающего слабый отклик детектора, в хорошо детектируемый продукт с лучшими хроматографическими свойствами. Дериватизация позволяет улучшить селективность и чувствительность определения заданного вещества, что достигается за счет определенного типа детектирования: флуоресценции или поглощения в длинноволновом диапазоне. На практике дериватизация часто необходима при следовых анализах сложных биологических объектов.
Процедура дериватизации должна:
-
Завершаться образованием требуемого производного.
-
Протекать количественно либо воспризводимо за данное время и в данных условиях.
-
Давать на выходе продукты, разделяемые от исходных веществ. При этом каждое исходное вещество должно образовывать только один дериват. Побочные продукты реакции не должны мешать хроматографическому определению либо детектированию осноных компонентов пробы.
-
Протекать быстро и не требовать сложных приборов и технологий, селективно и применительно к аналогичным соединениям.
-
Реагенты и реакции должны быть безопасными.
Для ВЭЖХ определения используется как пред-, так и послеколоночная техника дериватизации. Для этих вариантов применяются off- и on-line реакции.
В предколоночном варианте реакцию обычно проводят в виалах или пробирках перед введением пробы в хроматографическую систему, эта стадия может быть автоматизирована. Такой вариант допускает более гибкие рабочие условия: время реакции, взаимодействие с растворителем, удаление избытка реагента и т.д. Разделение молекул осуществляется после в виде их дериватов после модифицирования. В этом случае необходимым условием является стабильность производных. Предколоночный вариант обеспечивает большую селективность и чувствительность детектирования, и может использоваться с целью повышения стабильности, разрешения, симметрии пиков и уменьшения либо увеличения удерживания компонентов в фазе сорбента.
В послеколоночном варианте реакция протекает в автоматическом режиме добавлением реагента после разделения и перед детектированием посредством второго насоса. Этот подход требует более сложной конструкции системы, но за счет автоматизации значительно снижается трудоемкость всего анализа. Реакция дериватизации должна протекать очень быстро и в условиях, совместимых с подвижной фазой. Длительное время реакции влечет за собой уширение хроматографического пика. Послеколоночная дериватизация используется, главным образом, для обеспечения селективности и увеличения чувствительности.
Дериватизация может осуществляться электрохимическим путем (реакции окисления или восстановления), в результате реакций замещения или присоединения, комплексообразования. Поскольку гидразины электроактивны, электрохимическое детектирование для них можно реализовать напрямую без модифицирования исходных молекул.
Каждая из аминогрупп в составе гидразина обладает нуклеофильными свойствами, таким образом, гидразин - динуклеофил, а следовательно, в зависимости от условий может вступать в реакции с одной или двумя электрофильными частицами [1]. В качестве типичных примеров нуклеофильных свойств гидразина служит его взаимодействие с производными карбоновых кислот (RCOX) и карбонильными соединениями. Эти реакции приводят к новым органическим производным гидразина - гидразидам и дигидразидам, гидразонам и азинам. В анализах биологических и природных объектов электрофильные реагенты имеют недостаток, т.к. взаимодействуют со всеми нуклеофилами матрицы, преобладающими по сравнению с искомым компонентом. К тому же, они склонны разлагаться в воде как в изобилующем нуклеофиле реальных проб. В таких случаях предварительная пробоподготовка позволяет избежать влияния матрицы и удалить некоторые мешающие компоненты.
Для ВЭЖХ-определения различных аминов и аминосоединений, применяется широкий круг дериватизующих реагентов, с помощью которых анализируемые соединения переводят в пригодную для анализа гидрофобную форму и вводят в молекулу необходимые для детектирования хромофорные группы. Важными преимуществами того или иного реагента являются простота, экспрессность, воспроизводимость реакции дериватизации, хороший выход основного продукта и наименьшее количество побочных продуктов, совместимость условий реакции с условиями хранения исходных аминов1, устойчивость полученных производных. Дополнительным преимуществом является селективность реагента к определяемым соединениям, за счет чего удается нивелировать мешающее влияние многих матричных компонентов.
Дериватизующие реагенты можно разделить на 4 группы:
-
нефлуоресцентные реагенты для детектирования в УФ и видимой области спектра;
-
флуорогены, которые не обладают флуоресценцией, но образуют с аналитом циклические флуоресцирующие молекулы производных;
-
флуоресцентные реагенты, имеющие в составе интенсивно флуоресцирующую ароматическую группу (флуорофор) и реакционноспособную группу;
-
реагенты с окислительно-восстановительными свойствами, используемые в электрохимии.
Чувствительное и селективное флуориметрическое детектирование часто используется в ВЭЖХ для определения следовых количеств биоактивных компонентов в сложных матрицах биологических и природных объектов. Однако большинство биологически и экологически значимых веществ флуоресцируют слабо или совсем не флуоресцируют. Реагенты для послеколоночной флуоресцентной дериватизации должны быть не флуоресцирующими или существенно отличаться от производных спектрами возбуждения и флуоресценции в потоке подвижной фазы. Они могут образовывать множественные флуоресцирующие производные, реакции должны быть воспроизводимыми. В целом, флуорогены возможно применять для пред- и послеколоночного способов дериватизации, в то время как флуорофоры используются только для предколоночной дериватизации.
Среди разнообразия дериватизующих агентов следует рассматривать реагенты на аминогруппу, которые могут быть использованы также для модифицирования гидразинов для их дальнейшего ВЭЖХ определения.
1.1.1. Реагенты для спектрофотометрического детектирования
СФ-детектирование наиболее часто используется в ВЭЖХ, однако иногда не удовлетворяет задачам анализа по чувствительности или селективности определения следовых количеств веществ. Дериватизация в этом случае позволяет получить производные с более высокими коэффициентами молярного поглощения.
Основные реагенты для детектирования в УФ и видимой области спектра были разработаны для ВЭЖХ в 1970-х и 1980-х годах [2], и наиболее популярные современные реагенты базируются на этих открытиях, вводя дополнительные структурные фрагменты в молекулы основных классов реагентов.
Тринитробензосульфоновая кислота как реагент на первичную аминогруппу использовалась еще в 1960 для дериватизации аминокислот и пептидов для их фотометрического определения [3]. По сравнению с динитросоединениями тринитробензосульфоновая кислота реагирует быстрее благодаря оттягиванию электронов третьей нитрогруппой. Из-за взрывоопасности этого реагента неудивительно, что за этой работой последовала всего несколько: в 1982 году [4], где он применялся для восстановительного злектрохимического детектирования алифатических аминов, и в 1984 [5] для определения амикацина. Дериватизация аминов протекает в водной среде с рН 8 при комнатной температуре без побочных реакций, производные детектируются при 340 нм. Коэффициенты экстинкции составляют порядка 1-1.5×104. При взаимодействии со вторичными аминокислотами окрашенные продукты не оборазуются.
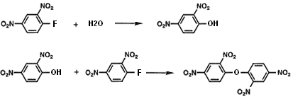
4-Фтор-3-нитротрифторметилбензол (4-фтор-3-нитробензотрифторид) взаимодействует с первичными аминами, а также с полиаминами с образованием продуктов, поглощающих при 242 и 410 нм. Он не реагирует со вторичными аминами, но взаимодействует с некоторыми аминокислотами, такими как гистидин.
В работе [6] применялся для дериватизации полиаминов: путресцина, спермидина, спермина. Реакция протекала в щелочной среде (1М раствор карбоната натрия) при 60°С за 20 мин, реагент растворяли в ДМСО. Производные полиаминов экстрагировали органическими растворителями, лучший из которых 2-метилбутан, экстрагирующий наименьшее количество побочных продуктов и легко удаляемый упариванием. Производные полярных соединений, таких как аминокислоты, не экстрагируются 2-метилбутаном, поэтому для удаления избытка реагента использовали гистидин. Пределы обнаружения составили 5-25 пмоль.
Реагент Сангера и аналоги.
Следующий широко используемый реагент для первичных и вторичных аминогупп – это реагент Сангера или 1-фтор-2,4-динитробензол (ФДНБ). Производные образуются замещением фторид иона в ароматическом кольце:
Подобные реагенты вводят в молекулы аминосоединений динитрофенильный фрагмент, который обеспечивает их селективное детектирование при 350-360 нм. Однако реагент Сангера образует мешающий побочный продукт, который сильно затрудняет разделение и определение производных аминосоединений:
Реагент Сангера также взаимодействует с алифатическими гидроксильными группами. Существенным недостатком является и его высокая токсичность: работать необходимо только в защитных перчатках. Дериватизация протекает в щелочной среде, реагент вводят в смесь в виде раствора в метаноле или ацетонитриле. Реакцию с амнокислотами проводили в течение 5 минут на кипящей водяной бане [7], а также при комнатной температуре в темноте в течение ночи [8]. Предел обнаружения для амикацина составил 1 мг/л при обработке 200 мкл пробы []. Динитрофенильная группа может быть удалена из структуры производных тирозина, гистидина и цистеина путем тиолиза с 2-меркаптоэтанолом.
1,2-Нафтохинон-4-сульфонат (НХС).
НХС взаимодействует с аминокислотами в относительно мягких условиях в щелочной среде, детектирование продуктов осуществляется при 305 и 480 нм [9]. В данной работе дериватизация осуществляется при 65°С on-line после разделения аминокислот в режиме ион-парной хроматографии. Чувствительность метода – около 90 пмоль. Главный недостаток этого реагента – его нестабильность в щелочной среде (рН 10), которая необходима для дериватизации аминов. Однако, этого можно избежать, если использовать проточно-инжекционный вариант определения, что сделали авторы работы [10].
Нингидрин
Нингидрин в ВЭЖХ используется в варианте послеколоночной дериватизации, следующей за хроматографическим разделением аминокислот. Декарбоксилирует и деаминирует первичные аминокислоты, образуя сине-фиолетовый продукт с λпогл=570 нм. Чувствительность определения не высока (0.1-3 мкмоль). Со вторичными аминосоединениями, например, пролином и гидроксипролином образуется желтый продукт, детектируемый при 440 нм. Для определения аминокислот реализован автоматизированный двухколоночный вариант разделения. Нингидрин чувствителен к свету, атмосферному кислороду, изменению рН и температуры, интенсивность развития окраски может изменяться при смене раствора реагента. Для определения гидразинов этот реагент не перспективен, поскольку не решает задачу устранения конкурирующих эффектов на стадии их сорбции.
Дисукцинимидо карбонат (ДСК) при взаимодействии с анилином или п-броманилином образуют сукцинимидо фенил- и п-бромфенилкарбаматы, которые реагируют с первичными и вторичными аминами с образованием стабильных производных с коэффициентами молярного поглощения 26000 и 28000 соответственно. Детектирование осуществляется при 240 и 250 нм. Избыток реагента затрудняет детектирование, но может быть удален с помощью моноэтаноламина. Также синтезирован аналог реагента для флуориметрического детектирования - сукцинимидо нафтилкарбамат (λвозб=305 нм, λрег=378 нм).
Дабсил хлорид (4-N,N-диметиламиноазобензол-4’-сульфонил хлорид) [11]
Сульфогруппа дабсил хлорида взаимодействует с первичными и вторичными аминогруппами, тиольной, имидазольной, фенольными и алифатическими гидроксильными группами. Дабсильные производные аминокислот достаточно стабильны, максимумы поглощения лежат в области 448-468 нм, и детектируются c высокой избирательностью, чувствительностью на уровне пикамолей (1 – 1250 рМ) [12] и воспроизводимостью 1.3-3.1% [13], но не обладают флуоресценцией. Дериватизация протекает при температуре около 70°С за 10 мин. Авторами работы [14] отмечено, что производные устойчивы в течение четырёх недель при комнатной температуре и в течение года при -20°С.















