диссертация (1105558), страница 6
Текст из файла (страница 6)
Флуорескамин
Флуорескамин не обладает собственной флуоресценцией, но позволяет флуориметрически детектировать собственные производные с первичными аминами. Реакция протекает в боратном буферном растворе с рН 9.5-10 за несколько минут при комнатной температуре [65, 66]. При взаимодействии со вторичными аминами образует нефлуоресцирующие продукты, поэтому является специфичным реагентом на первичные аминосоединения. Так как реагент не флуоресциреут, реакия используется как для пред-, так и для послеколоночной дериватизации аминокислот и пептидов. Флуоресцентные продукты не очень стабильны в водных элюентах, и чувствительность определения в 2-5 раз ниже, чем в случае ОФА. 400/480 нм.
Флуорескамин и фталевый альдегид – не флуоресцирующие реагенты, которые взаимодействуют с первичными аминами в щелочной среде с образованием флуоресцирующих производных аминов, аминокислот. Производные фталевого альдегила отличаются большей интенсивностью, чем производные флуорескамина, кроме того фталевый альдегид растворим в воде, что привлекательно для проведения модифицирования в водных средах.
В работе [67] по определению гидразинов с фталальдегилами и флуорескамином на фильтровальной бумаге установлены слабо-кислые среды как оптимальные для реакций дериватизации: рН 3-4 для флуорескамина, рН 4-6 для о-, м-, п-фталальдегидов. Пределы обнаружения при λвозб.=366нм составили 0.006-0.015 мкг/см2 для гидразина со всеми реагентами, 0.15 мкг/см2 для НДМГ с флуорескамином. Продукт реакции НДМГ с ОФА образовался примерно через сутки, продуктов его реакции с другими фталальдегидами при концентрации 0.15 мкг/см2 обнаружено не было.
Сравнение реагентов, проведенное авторами [68], позволило выделить желательные области применения для каждого из них: использование ФИТЦ наиболее выгодно в клинической и/или химии белков при условии достаточного количества материала пробы; ОФА метод боле всего подходит для рутинных анализов первичных аминокислот в биологических жидкостях, и комбинацию реагентов ОФА и ФМОК следует использовать для одновременного определения первичных и вторичных аминов. Наиболее чувствительным реагентом оказался ОФА, который обладает в 2 раза большей чувствительностью к аминокислотам, чем дансилхлорид, и в 6 раз по сравнению с ФИТЦ. ОФА также продемонстрировал лучшую воспроизводимость среди остальных реагентов. Дериватизация с ФИТЦ не подлежит полной автоматизации из-за необходимости удаления избытка реагента. Работа с этим реагентом также влечет достаточно быстрый износ колонки даже несмотря на тщательную пробоподготовку и изпользование предколонок [69]. При смене предколонки через каждые 120 инжекций на конкретной колонке можно произвести 700 анализов с ОФА или ФМОК, 150 – с ФИТЦ, либо 400 – с дансил хлоридом.
Бензофуразаны
Галоген-бензофуразаны являются флуорогенами и взаимодействуют с первичными и вторичными аминами при 50-60°С в щелочной среде(pH 8-9). Реакция с фторидом протекает более чем в 10 раз быстрее, чем с хлоридом БФЗ, и завершается за 1 мин. Поскольку продукт гидролиза обоих реагентов интенчивно флуоресцирует, они применяются только для предколоночной дериватизации. Пределы обнаружения аминопроизводных составляют около пмоль.
Реагенты на основе бензофуразана (2,1,3-бензоксидиазол) - очень популярная тема исследований в последние годы [70, 71, 72, 73]. Бензофуразановый скелет обуславливает сильную флуоресценцию, а ввод различных заместителей позволяет варьировать реакционную способность и люминесцентные свойства [].
Широкий спектр замещенных фуразанов, используемых в ВЭЖХ для определения аминов, аминокислот и пептидов, мало изучен для определения гидразина и его метилзамещенных аналогов.
4-7-замещенные фуразаны обладают большим квантовым выходом флуоресценции и длинными волнами поглощения/испускания, которые позволяют исключить наложение флуоресценции от примесей, например, из биологических матриц. Особенностью таких фуразанов является сильная зависимость интенсивности флуоресценции от заместителей в положениях 4 и 7. Показано [], что можно синтезировать такие модификаторы, которые не обладают собственной флуоресценцией, но образуют флуоресцирующие продукты с аналитом. Например, 4-хлор- и 4-фтор-нитрофуразаны, интенсивно поглощающие при 338 и 331 нм соответственно, образуют соединения с аминами флуоресцирующие при λвозб.= 450-470 нм и λисп.= 520-540 нм. При этом продукты реакции с другими нуклеофилами не обладают флуоресценцией. Реакция с аминогруппой протекает при нагревании (60-80 ºС) в течение 20-40 минут, в нейтральной или щелочной среде. В работе [74] изучена зависимость относительной интенсивности флуоресценции БЗФ производного амина от растворителя и показано, что предпочтительнее использовать органические полярные растворители.
Данные литературы указывают на то, что 4-хлор-7-нитробензофуразан (БФЗ) может оказаться перспективным модификатором для замещенных гидразинов (Рис. 9).
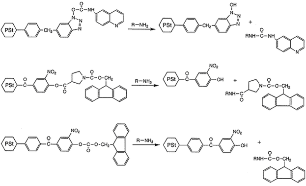
Твердофазные реагенты.
По сравнению с дериватизацией в растворе, твердофазные реагенты демонстрируют лучшую селективность и простоту манипуляций [75, 76, 77]. Проведение дериватизации в твердой фазе также перспективно сочетать с одновременной сорбцией, что может позволить автоматизировать весь процесс анализа. Некоторые твердофазные реагенты приведены на рисунке:
* * *
Обзор реагентов позволяет выделить наиболее перспективные для дериватизации и ОФ ВЭЖХ определения гидразинов. Низких пределов обнаружения позволяют достичь ароматические диальдегиды, такие как ОФА и НДА, которые, к тому же, селективны к гидразинам, поскольку не требуют присутствия дополнительных нуклеофилов в реакционной системе. Перспективным является использование коричного альдегида, продукт конденсации которого с НДМГ обладает большим квантовым выходом флуоресценции. Альтернативным вариантом может служить использование п-диметиламинокоричного альдегида, который показал хорошие результаты при определении алифатических аминов и, в отличие от коричного, растворим в водных системах. При дальнейшем развитии способов определения НДМГ с дансил хлоридом и дБФЗ и сочетания с подходящим методом концентрирования также возможно достижение низких пределов его обнаружения. БФЗ, способный к образованию флуоресцирующих роизводных с аминами (в отличие от нефлуоресцентного дБФЗ), также вызывает интерес к разработке способа определения гидразинов.
Свойства дериватизирущих реагентов для определения гидразина и его производных приведены в таблице 3. Указанными реагентами и реакционными системами можно оперировать при сочетании способа определения с системой разделения компонентов пробы.
Талица 3. Свойства дериватизирущих реагентов для определения гидразина и его производных.
| Характеристики дериватизации | Модификатор | ||||||||
| п-нитробенз альдегид | Коричный альдегид | п-ДМАКА | ОФА | НДА | АДА | Дансил-хлорид | 4-хлор-7-нитробензофуразан | 4-хлор-5,7-динитробензофуразан | |
| Время реакции, мин | 20 мин | 10 мин | 15-20 мин | <3 мин | 2-10 мин | <1мин | 40-60 | 30-50 мин | <5 мин |
| Подготовка образца | Простая | Простая | Простая | Простая | простая | Простая | Простая | Простая | Простая |
| Возможность автоматизации | Нет | Нет | ? | Да | Да | Да | Да | Да | Да |
| Необходимость удаления реагента | Нет | Нет | Нет | Нет | Нет | Нет | Нет | Нет | Нет |
| Экстракция растворителем | Да | Да | Нет | Нет | Нет | Да | Да | Да | |
| Количественный выход | Да | Да | Да | Да | Да | Да | Да | Да | Да |
| Устойчивость производных во время анализа | Да | Да | Да | Нет | Да | Да | Да | Да | Да |
| Мешающие продукты реакции | Нет | Да | Нет | Нет | Нет | Да | Нет | Нет | |
| Объект определения | НДМГ | НДМГ | Амины | Ги, ММГ | Ги, ММГ НДМГ | Ги | НДМГ | Амины | Ги, НДМГ |
| Детектирование | СФД | СФД, ФЛД | ФЛД | ФЛД | ФЛД, СФД | ФЛД | ФЛД | ФЛД, СФД | СФД |
| Предел обнаружения (масса вещества в вводимой пробе) | нг | нг | мкг | нг | нг | мкг | мкг | мкг | |
| Воспроизводимость | Хорошая | Хорошая | Хорошая | Хорошая | Хорошая | Хорошая | Хорошая | Хорошая | Хорошая |
1.2. Методы определения гидразинов
1.2.1. Спектрофотометрические, флуориметрические и проточно-инжекционные методы
Существующие методы количественного определения гидразинов можно условно разделить на две группы. К первой группе относятся методы прямого определения этих соединений, основанные, в основном, на окислительно-восстановительных свойствах гидразинов. Методы второй группы используют предварительную дериватизацию гидразинов. Новые свойства образующихся производных позволяют расширить круг подходов, применяемых для определения гидразина и его замещенных аналогов.















