шпора_электроника 2.0 (1075553)
Текст из файла
У проводников запрещенная зона отсутствует и валентная зона непосредственно примыкает к зоне проводимости.
Валентная зона – энергетич. зона хар-щая электроны, находящиеся на внешних слоях атома.
Зона проводимости – энергет. зона хар-ная для свободных электронов.
У диэлектриков ширина запрещенной зоны более 3 эВ(электрон вольт).
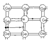
У ПП(полупроводников) ширина запр. зоны меньше 3 эВ. Строение кристалической решотки германия(или кремния)
При потере общей электронной пары одного электрона на его месте образуется вакансия (дырка), считается, что дырка положительно заряжена.
ni – концентрация электронов = рi – концентрация дырок = Ae -(Wз/(kT))
А – постоянная хар-щая материал ПП
Wз – ширина запрещенной зоны
k – постоянная больцмана
Т – температура в кельвинах
Проводимость ПП сильно зависит от температуры окруж. среды.
У кремния Wз = 1,12 эВ, у германия – 0,72эВ.
Предельная рабочая температура: кремн.=150 С, герм.=85 С.
На практике широко используются ПП с “n” или “p” типом проводимости.
ПП “n”-типа
Это ПП с преобладанием электронной проводимости. Для этого добавляют: мышьяк, фосфор (5 электронов на валентной орбите – донорная примесь).
Для ПП “n”-типа основными носителями являются электроны, не основными «дырки». При приложении внешнего воздействия 5-й волентный электрон отходит от орбиты и образуется положительный ион. В следствие ионизации атома мышьяка в объеме ПП организуется объемный положительный заряд.
Энергетич. диограмма ПП “n”-типа
Для ПП “n”-типа сохраняется пропорция Nn>>Pn : концентрация электр. в ПП “n”-типа гораздо больше чем в ПП “р”-типа.
Примесные проводники “р”
ПП “р”-типа образуются путем добавления акцепторных примесей (индий, алюминий).
Эл-н покидая общую к-валентную пару в сосодней с индием связи, занимает свободный энергетич. уровень во внешней оболочке атома индия, при этом к-вал. связь не образуется. Атом индия, приобретая лишний эл. преврашается в отрицательный ион. На месте выхода эл. из общей к-вал. пары в соседней с индием связи образуется «дырочка», таким образом формеруется дырочная проводимость в ПП.
Основным носителем в ПП “р”-типа являются дырки, а не основным – эл.
Рр>>Np
В объеме ПП “р”-типа в следствии образования отрицательных ионов образуется объемный отрицательный заряд.
Энергетич. диаграмма ПП “р”-типа
В ПП “п” и “р”-типа основные носители образуются в результате внедрения примеси, а неосновные – в результате термогенерации зарядов.
Примесь вносится до достижения концентрации отвечающей соотношению: Рр/Np=2..3
Nn/Pn=2..3
При этом удельная проводимость ПП возростает в 10-100.000 раз.
Характерной особенностью ПП рассматриваемых типов является соотношение:
Nn*Pn= Рр*Np=А2e -(Wз/(kT))
При привышении “t” нарушается условия Рр>>Np и Nn>>Pn в следствии увеличения числа носителей заряда под действием термогенерации. То есть основную роль начинают играть собственные носители заряда. В следствие термогенерации носителей заряда примесной ПП вырождается в собственный.
Время жизни носителей зарядов.
Временной интервал между моментом образования свободного эл. И его рекомбинацией с вакансией называется – «время жизни».
Допустим в примесном ПП под внешним воздействием создана концентрация носителей заряда: в ПП “n”-типа – N0=Nn+n(0); P0=Pn+p(0);
n(0) – организованные носители заряда созданные внешним воздействием.
(Nn/n(0))>>(Pn/p(0)) ; n(0) p(0);
Внешние воздействие приводит к относительному увеличению не основных носителей зарядов, при неизменной концентрации основных.
Процесс уменьшения концентрации не основных носителей заряда подчиняется экспоненциальному закону:
p(t)= p(0)*e-t/τ(p)
τp – время жизни
При значительной концентрац. Неосновных носителей зарядов постоянная времени – τ- соответствует времени в течении которого концентрация зарядов уменьшится в “e” раз. Обычно значение τ составляет 10-5 – 10-7 с. для уменьшения постоянной времени в ПП добавляют специальные примеси (золото, никель), создающих энергетич. зоны в запрещенной зоне, это так называемые «ловушки», обеспечивающие более быструю рекомбинацию в следствии большей вероятности встречи эл. И дырки.
Дрейфовое и дифузионное движение носит. зарядов.
В отсутсвие электр. поля в кристале и одинаковой концентрации носителей заряда в объеме ПП эл-ны и дырки находятся в хаотическом движении, распределенном по всем направлениям. В следствии этого электро ток в кристале = 0. Электр. поле и неравномерность распределения носителей концентрированного заряда является факторами создающими упорядоченное движение носителей зарядов, т.е. обуславливающими электр. ток в кристале.
Направленное движение носит-й зарядов под действием внешнего электр. поля называют дрейфовым, а под воздействием разницы концентрации носит. зарядов – дифузией.
В зависимости от характера движения носителей заряда различают соответственно дрейфовые и дифузионные составляющие тока в ПП, а в зависимости от типа носителя заряда – эл. и дырочные составляющие тока.
I=Ідиф+Ідрейф
Ідиф=Ідиф n + Ідиф p = (qDn*(dn/dx)) – (qDp*(dp/dx));
Iдрейф=Iдрейф n + Iдрейф p = qnμnE+qpμpE
q – заряд єл.
n,p – концентрация дырок и эл.
μn, μp – подвижность носителей зарядов
Dn, Dр – коэф. Дифузии
Е – напряженность поля
dn/dx, dр/dx – градиент поля
Dn = μn φ т
φ т = кТ/q – тепловой потенциал
ПП-вые диоды. ВАХ ПП-го диода.
Диодами назыв. Двухэлектродные элементы электро цепи, обладающие односторонней проводимостью тока.
ПП-вый диод состоит из ПП-вой структуры сочитающей в себе 2 слоя, один из которых обладает дырочной, а другой электронной проводимостью.
Принцип действия ПП-го диода основывается на специфике протекания процесса на границе раздела “n” и “р” обл. так наз. эл.-дырочный переход (р-n – переход).
Электрич. Процессы в р-n – переходе в отсутствии внешнего напряжения.
Наличие объемного заряда является главной особенностью р-n – перехода. Объемный заряд возникает при создании р-n – перехода. Благодаря тому, что концентрация акцепторной примеси гораздо больше концентрации донорной, равенство объемных зарядов слева и спрова от р-n – перехода достигается большей концентрацией зарядов в “n” – обл.
Равенство 0 тока через р-n – переход, в отсутствии внешнего напряжения соответствует уменьшению его дифузионной составляющей до величины дрейфовой составляющей. Равенство дрейфовой и дифуз. составл. (Ідиф =Ідрейф) достигается путем установления потенциального барьера в р-n – переходе (контактная разность потенциалов). Высота потенциального барьера зависит от t0, поскольку от t0 зависит тепловой потенциал (φ т)
Электро процессы в р-n – переходе при наличие внешнего напряжения.
Прямая ветвь ВАХ ПП диода.
Уменьшение потенциального барьера в основном за счет уменьшения объемного заряда в “n” – обл., облегчает переход основных носителей заряда под действием дифузии через границу раздела соседних областей, что приводит к увеличению дифуз. составл. Тока через р-n – переход. Указанное явление носит название инжекции носителей заряда через р-n – переход. В месте с тем дрейфовый ток через р-n – переход, создаваемый токами неосновных носителей заряда остается неизменным.
Iпр=Iа=Iдиф-Iдрейф
Дифуз. составляющая тока возростает за счет снижения потенциального барьера. Большая величина потенц. барьера является одной из причин большого падения напряжения в кремневых диодах, по сравнению с германиевыми. В несиметрич. р-n – переходе (Nа>>Nд ) так через р-n – переход определяется в основном дифузией дырок из “р” – обл. . “р”- слой осушествляющий эмиссию дырок через “р” слой назив. эмитером. Поскольку основой для получения р-n – структуры являются в основном ПП “n”-типа то “n”- слой назыв. базой.
Создаваемый в базовом слое положительный заряд компенсируется за счет рекомбинации дырок из “р”-обл. с электронами идущими от отрицательного полюса источника питания. Этот процесс непрерывен, т.е. создается электрический ток.
Ток в р-n – переходе определяется дифузией основных носителей, а ток в объеме базы или эмитера определяется дрейфом основных носителей.
Процесс в р-n – переходе при приложении обратного напряж.
Обратная ветвь ВАХ
При подключении обратного напряжения потенциальный барьер возростает, при этом увеличивается объемный заряд и его ширина. Возросший потенц. барьер затрудняет дифузию основных носителей через р-n – переход, следовательно дифузион. ток уменьшается. Дрейфовый ток обусловленый концентрацией не основных носителей зарядов можно считать неизменным однако он будет привышать дифузион. ток. Ток через р-n – переход будет равен:
Iобр=Iв=Iдрейф-Iдиф
При небольших обратных напряжениях (участок 0-1 обратной ветви ВАХ) увеличение обратного тока наблюдается за счет уменьшения дифуз. составляющей. После точки 1 обратной ветви ВАХ высота потенциального барьера такова, что инжекция основных носителей не происходит, в связи с этим дифуз. ток=0. обратный ток диода связан с концентрацией не основных носителей и площадью р-n – перехода. Поскольку у маломощных приборов площадь р-n – перехода незначительная, а у мощных – значительная, следовательно и обратный ток у мощных диодов – больше. Поскольку концентр. не основных носителей является функцией температуры то обратный ток назыв. тепловым. Кроме того концентр. не основных носит. связана с шириной запрещенной зоны. Поскольку ширина запрещ. зоны у кремния больше чем у германия - то и обратный ток кремния меньше обратного тока германия. Кроме того кремн. структуры применимы при более высоких обратных напряжениях, чем германиевого.
Полная ВАХ диода.
Характеристики
Тип файла документ
Документы такого типа открываются такими программами, как Microsoft Office Word на компьютерах Windows, Apple Pages на компьютерах Mac, Open Office - бесплатная альтернатива на различных платформах, в том числе Linux. Наиболее простым и современным решением будут Google документы, так как открываются онлайн без скачивания прямо в браузере на любой платформе. Существуют российские качественные аналоги, например от Яндекса.
Будьте внимательны на мобильных устройствах, так как там используются упрощённый функционал даже в официальном приложении от Microsoft, поэтому для просмотра скачивайте PDF-версию. А если нужно редактировать файл, то используйте оригинальный файл.
Файлы такого типа обычно разбиты на страницы, а текст может быть форматированным (жирный, курсив, выбор шрифта, таблицы и т.п.), а также в него можно добавлять изображения. Формат идеально подходит для рефератов, докладов и РПЗ курсовых проектов, которые необходимо распечатать. Кстати перед печатью также сохраняйте файл в PDF, так как принтер может начудить со шрифтами.















