1 (1075529), страница 5
Текст из файла (страница 5)
- KU (коэф-нт ус-ния по U);
- RВХ;
- RВЫХ.
Оп.Ус. имеет дифф-ный вход и несимметричный выход. Вх. и вых. сигналы отсчитываются относительно общего провода.
Оп.Ус используется: для работы с глубокой ООС (отрицательной обратной связью) в аналоговых ЭВМ для разнообразных математических операций (сложение, вычитание, умножение, деление, логарифмирование, дифф-вание, интегрирование и т.д.) - "операционный усилитель".
Оп.Ус - основным активным элементом аналоговой схемотехники, благодаря эл-ских пар-ов с габаритами, надежностью и ценой.
Оп.Ус содержат 2 или 3 каскада усиления.
Первый каскад (ДУ) собран по схеме Дифф.Ус. подавление синфазных помех и дрейфа нуля.
Входной каскад содержит цепи балансировки усилителя для устранения смещения нуля.
Второй каскад (УН) – осн. усиление по U (Дифф.Ус. с несимметричным выходом).
Усилитель мощности (УМ) содержит схему сдвига уровня U и вых. каскад по двухтактной бестрансформаторной схеме.
Недостаток трехкаскадного Оп.Ус - склонность к самовозбуждению и скорость нарастания вых. сигнала.
Новые Оп.Ус. на двухкаскадной схеме (отсутствует усилитель U-ия).
Для коэфф-та усил-ия во вх. каскаде исп-ся динам-кая нагрузка в виде токового зеркала, а в выходном - каскад сдвига уровня U-ия, где VT вкл. по схеме с общим “Э”.
Р
ассмотрим передаточную характеристику Оп.Ус. - зависимость UВЫХ от UВХ при несимметричном входе.
В зависимости от того, какой вход соединяется с общим проводом, а на какой вход подается UВХ, различают передаточную характеристику при инвертирующем включении Оп.Ус-я. и передаточную характеристику при неинвертирующем включении Оп.Ус-я.
При UBX передаточные характеристики линейны, затем UBЫX замедляется, а потом и вовсе = 0.
UВЫХ.MAX > 0 (“+”) и UВЫХ.MAX < 0 (“”) несколько < UПИТ (E1, и E2).
+UВЫХ.MAX и – UВЫХ.MAX зависят от RН : RН эти U-ия.
Передаточные характеристики проходят через начало координат, если Оп.Ус. сбалансирован.
Если балансировка не проводилась передаточные характеристики будут пересекаться при UВЫХ = 0.
Основные параметры Оп.Ус.:
КU (определяется наклоном лин. участка передаточной хар-ки = отношению приращения UВЫХ к вызвавшему это приращение UВХ. На практике КU (110 тысяч ; 110 миллионов);
U смещения (UCMЕЩ) - необходимо подать на вход Оп.Ус., чтобы его UВЫХ стало = 0. На практике UСМЕЩ (нескольких мкрВ ; десятки млВ);
UВЫХ.МАКС - различают: +UВЫХ.МАКС и –UВЫХ.МАКС (+UВЫХ –UВЫХ).
+ UВЫХ.МАКС и – UВЫХ.МАКС нормируются при зн-ниях UПИТ, RН и UВХ;
KОС.СФ (коэффициент ослабления синфазного сигнала) = отношение КУС дифф-ного сигнала к КПЕРЕДАЧИ синфазного сигнала. Выражается в децибелах;
IВХ - для дифф-ного Оп.Ус. – ср. арифм-кое зн-ние токов инвертирующего (IВХ.И) и неинвертирующего входов (IВХ.Н);
разность вх. токов ∆IВХ = IВН.Н – IВХ.И;
IВЫХ.МАКС – при оговоренном UВЫХ, не вызывающее необратимых изменений в Оп.Ус.;
UВХ.МАКС - не вызывающее необратимых изменений в Оп.Ус.;
предельное синфазное UВХ. (UВХ.СФ.МАКС) – не вызывающее необратимых изменений в в Оп.Ус.;
частота единичного усиления (f1) - КУС до 1. Характеризует быстродействие Оп.Ус-я в режиме малого сигнала;
скорость UВЫХ. (VUвых.макс) – отношение изменения UВЫХ от 10 до 90 % от установившегося значения ко времени, за которое это изменение произошло. Характеризует быстродействие Оп.Ус-я в режиме большого сигнала. Измеряется при ООС с общим КU = 110.
При анализе схем реальный Оп.Ус. заменяют их идеал-ыми моделями, в частности, идеальным Оп.Ус-ем, отвечающий след. требованиям:
-
KU = ∞;
-
RВХ = ∞;
-
RВЫХ = 0;
-
UСМ = 0;
-
KОС.СФ = ∞;
-
IВХ = 0;
-
KU не зависит от f-ы, т.е. полоса пропускания от 0 до ∞;
-
времена задержки, нарастания и спада = 0;
-
UВХ неограничен;
-
UВЫХ неограничен;
-
IВЫХ неограничен;
-
нелинейные искажения отсутствуют;
-
внутри Ус. нет источников шума.
51. Лин. схемы на операц. усилителях: инвертирующий усилитель, сумматор, неинвертирующий усилитель, повторитель напряжения, дифференциальный усилитель.
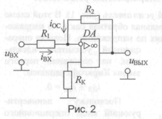
Рассмотрим инвертирующий усилитель (рис. 1). В этой схеме имеет место параллельная отрицательная обратная связь по напряжению. Найдем коэффициент усиления по напряжению. Полагая операционный усилитель идеальным, на основании первого закона Кирхгофа запишем:
iВХ + iОС = 0
Поскольку неинвертирующий вход операционного усилителя имеет нулевой потенциал, то и инвертирующий вход также будет иметь нулевой потенциал, хотя он и не заземлен. Говорят, что инвертирующий вход является точкой виртуального (кажущегося) нуля. Тогда
Отсюда находим
Мы полагали, что вх. токи операц. усилителя = 0. В реал. операц. Ус. вх. токи малы, но 0. Оценим влияние вх. токов на работу Ус. Пусть uВХ = 0. Для вх. тока операц. Ус. IВХ.И и резисторы R1 и R2 включены параллельно. Ток IВХ.И создаст на них падение U-ия
UВХ.И = IВХ.И(R1 || R2).
Это напряжение будет усилено операционным усилителем, т.е. входной ток IВХ.И приводит к разбалансировке операционного усилителя. Чтобы уменьшить влияние входных токов в цепь неинвертирующего входа включают компенсирующий резистор RК = R1 || R2 (рис. 2). Тогда ток IВХ.И создаст на резисторе RK падение напряжения UВХ.Н = IВХ.НRК.
Дифф-ное U на входе операционного усилителя
UВХ = UВХ.Н UВХ.И =
= (IВХ.Н IВХ.И) (R1||R2) = IВХ(R1||R2)
Е
сли разность входных токов ∆IВХ = 0, то Uвх = 0, т. е. в схеме будет иметь место полная компенсация входных токов.
Реально ∆IВХ = (0,1 ÷ 0,2)IВХ введение RK разбалансировку в 5÷10 раз.
На основе инвертирующего вкл. операц-ого Ус. м.б. построен аналоговый сумматор (рис. 3). Найдем зависимость
uВЫХ аналогового сумматора от uВХ1, uВХ2, uВХ3, полагая операц. Ус. идеальный.
Согласно первому закону Кирхгофа
iВХ1 + iВХ2 + iВХ3 + iОС = 0
Принимая во внимание, что инвертирующий вход операц. усилителя является точкой виртуального нуля:
Отсюда
Из последних соотношений следует, что схема рис. 3 выполняет математическую операцию суммирования, при этом масштабный коэффициент может быть единичным, может быть неединичным и может быть индивидуальным по каждому из входов.
Сопротивление компенсирующего резистора в схеме рис. 3 может быть определено из соотношения RK = R1||R2||R3||R4. Очевидно, что аналоговый сумматор может иметь произвольное количество входов.
Инвертирующее вкл. операц. Ус. используется также в преобразователе ток - U (рис. 4). Найдем зависимость UВЫХ от IВХ.
На основании первого закона Кирхгофа при условии, что операционный усилитель идеальный, запишем: iВХ + iОС = 0
Поскольку инвертирующий вход операционного усилителя является точкой виртуального нуля, то
iВХ + (uВЫХ / R) = 0
Разрешив последнее уравнение относительно uВЫХ, получим uВЫХ = RiВХ
uВЫХ преобразователя пропорционально iВХ. Сопротивление компенсирующего резистора RK должно равняться сопротивлению резистора R в цепи обратной связи (рис. 4). Рассмотренный преобразователь ток-напряжение широко используется в составе цифро-аналоговых преобразователей.
Н
а основе инвертирующего включения операц. усилителя может быть построен преобразователь напряжение - ток (рис. 5). Найдем зависимость выходного тока преобразователя iВЫХ от входного напряжения uВЫХ.
Согласно первому закону Кирхгофа, полагая операц.усилитель идеальным, можно записать:
iВХ + iОС = 0
Поскольку инвертирующий вход операционного усилителя является точкой виртуального нуля, то
iВЫХ + (uВХ / R) = 0
iВЫХ = uВХ / R
Из последнего соотношения находим: т.е. iВЫХ пропорционален uВХ.
В
схеме рис. 5 ни один из выводов нагрузки RH не заземлен. В этом случае говорят, что преобразователь имеет незаземленную нагрузку. R компенсирующего резистора RK = R || RH.
Рассмотрим неинвертирующий Ус. (рис.6).
В этой схеме имеет место последовательная отрицательная обратная связь по напряжению, которая увеличивает входное сопротивление и уменьшает выходное сопротивление усилителя. Найдем КU. Если на неинвертирующий вход подано uВХ.Н = uВХ на инвертирующем входе установится то же самое U: uВХ.И = uВХ, т.е.
Е
сли R2 = 0, а R1 = ∞, то KU = 1. Такую схему называют повторителем напряжения (рис.7).
Неинвертирующий усилитель хуже инвертирующего, так как операционный усилитель работает в нем с большим синфазным напряжением (uВХ.СФ = uВХ).
Рассмотрим дифференциальное включение операционного усилителя, которое представляет собой комбинацию инвертирующего и неинвертирующего включений (рис. 8).
При дифф-ном вкл. операц. Ус. UВЫХ пропорц-но разности uВХ2 и uВХ1 на его входах.
И
спользуя метод суперпозиции (наложения), находим выходное напряжение усилителя как сумму откликов на воздействия uВХ1 и uВХ2:
















