Пупков К.А., Коньков В.Г. - Интеллектуальные исследования (Современнаяя теория управления) (1072100), страница 7
Текст из файла (страница 7)
Рис. 8
Динамические экспертные системы и база знаний. Формально ИС описывается следующей шестеркой:
(66)
где
- множество моментов времени;
и
- множества состояний системы, окружающей среды, мотивации, цели, прогнозируемого и реального результата;
и
- матрицы параметров;
- интеллектуальные операторы преобразования, использующие знания.
В этом описании сочетаются представления объектов системы в виде множества значений, либо множества высказываний, либо каких-то других форм. Динамические свойства ИС могут быть описаны в пространстве состояний. Интеллектуальные операторы, реализующие восприятие, представление, формирование понятия, суждения и умозаключения в процессе познания, являются формальным средством обработки сведений и знаний, а также принятия решения. Все эти аспекты должны быть положены в основу построения ДЭС, функционирующих в реальном времени и реальном мире.
Динамическая экспертная система есть некоторое комплексное образование, способное оценивать состояние системы и среды, сопоставлять параметры желаемого и реального результатов действия, принимать решение и вырабатывать управление, способствующее достижению цели. Для этого ДЭС должна обладать запасом знаний и располагать методами решения задач. Знания, передаваемые экспертной системе, можно разделить на три категории [7].
Сюда же входят связи, отношения и зависимости между понятиями и их свойствами, причем связи абстрактные, также выраженные словами и терминами. Концептуальное (на уровне понятий) знание - это знание, воплощенное в словах человеческой речи или, конкретнее, - в научно-технических терминах и, естественно, в стоящих за этими терминами классах и свойствах объектов окружающей среды. Концептуальное знание - это сфера главным образом фундаментальных наук, если учитывать, что понятие есть высший продукт высшего продукта материи - мозга.
Фактуальное, предметное знание - это совокупность сведений о качественных и количественных характеристиках конкретных объектов. Именно с этой категорией знания связываются термины «информация» и «данные», хотя такое употребление этих терминалов несколько принижает их значение. Любое знание несет информацию и может быть представлено в виде данных; фактуальное знание - это то, с чем всегда имели дело вычислительные машины и с чем они больше всего имеют дело до сих пор. Современную форму накопления данных принято называть базами данных. Конечно, для организации баз данных, для поиска в них нужной информации надо опираться на концептуальное знание.
Алгоритмическое, процедурное знание - это то, что принято называть словами «умение», «технология» и др. В вычислительном деле алгоритмическое знание реализуется в виде алгоритмов, программ и подпрограмм, но не всяких, а таких, которые могут передаваться из рук в руки и использоваться без участия авторов. Такая реализация алгоритмического знания называется программным продуктом. Наиболее распространенные формы программного продукта - пакеты прикладных программ, программные системы и другие, ориентированные на конкретную область применения ДЭС. Организация и использование пакетов прикладных программ базируется на концептуальном знании.
Ясно, что концептуальное знание является более высокой, определяю щей категорией знания, хотя с точки зрения практики другие категории могут казаться более важными. Именно поэтому, вероятно, концептуальное знание редко воплощается в форме, доступной для обработки на вычислительных машинах. А если воплощается, то чаще всего неполно и односторонне. Носителем концептуального знания остается в большинстве случаев человек. Это тормозит автоматизацию многих процессов.
Представление концептуального знания, а точнее, системы, реализующие все три категории знания, но выделяющие концептуальное знание на первый план и работающие на основе его интенсивного использования, называются базами знаний.
Создание и широкое применение баз знаний в ИС - одна из актуальнейших задач.
Концептуальную часть базы знаний будем называть моделью предметной области, алгоритмическую часть - программной системой, а фактуальную часть - базой данных.
Следующая функция ДЭС - решение задач. Задача может быть решена машиной только в том случае, если она формально поставлена (см. например, п1.2) - если для нее написана формальная спецификация. Последняя должна опираться на некоторую базу знаний. Модель предметной области описывает общую обстановку, в которой возникла задача, а спецификация - содержание задачи. В совокупности они позволяют установить, какие абстрактные связи и зависимости, в каких сочетаниях и в какой последовательности должны быть использованы для решения задачи. Прикладные программы представляют собой конкретные средства, стоящие за этими зависимостями, а также содержат алгоритмы для решения возникающих при этом уравнений. Наконец, база данных поставляет все исходные данные или часть их для выполнения этих алгоритмов, недостающие данные должны содержаться в спецификации.
Этим трем частям баз знаний соответствуют три этапа решения задачи:
построение абстрактной программы решения (включая возникновение задачи, ее постановку и спецификацию);
перевод задачи на подходящий машинный язык;
трансляция и выполнение программы.
Построение абстрактной программы связано с представлением и обработкой концептуального знания в ИС и по определению является достоянием искусственного интеллекта.
Искусственный интеллект связывают с обработкой текстов, устных сообщений на естественном языке, с анализом и обработкой информации (распознавание всех видов изображений, доказательство теорем, логический вывод и т.д.).
Функциями ДЭС являются также оценка результатов решения задачи, формирование параметров будущего результата действия, принятие решения об управлении, выработка управления и сличение параметров желаемого и реального результатов. Здесь предусматривается моделирование процессов для оценки возможных последствий и корректности решения задачи.
Отметим, что в реальных случаях существует проблема описания исследуемых объектов. Такое описание неправомерно считать частью спецификации задачи, поскольку относительно одного объекта ставится, как правило, много задач, что, естественно, требуется учитывать при формировании базы знаний. Кроме того, может оказаться, что возникшую задачу не решить до конца автоматически, например, из-за неполноты спецификации или описания объекта. Поэтому в ИС целесообразен на определенных стадиях интерактивный режим работы с ДЭС. Надо помнить, что модель предметной области описывает общую обстановку (знание), а спецификация - содержание задачи.
Очень важными проблемами являются создание единой программной среды и синтез алгоритмов непосредственно по постановке задачи.
В зависимости от цели, которая стоит перед ИС, база знаний, алгоритмы решения задачи, принятия решения, выработки управления могут, естественно, иметь различное представление, зависящее, в свою очередь, от характера решения задач. Соответственно этому можно видеть три типа ДЭС.
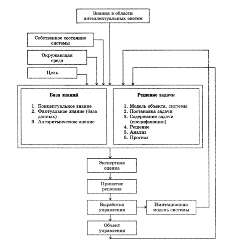
Структура ДЭС первого типа дана на рис. 9.
Здесь предполагается, что концептуальные и фактуальные знания точно отражают процессы и сведения, относящиеся к некоторой предметной области. Тогда решение задачи, возникающей в этой области, будет получено на основе строгих математических методов, в соответствии с постановкой и спецификацией. Результаты исследования решения и прогноз используются для получения экспертной оценки и принятия решения о необходимости управления. Затем на основе подходящего алгоритма управления, имеющегося в базе знаний, формируется управляющее воздействие. Эффективность и непротиворечивость этого воздействия, прежде чем оно поступит на объект управления, оценивается с помощью имитационной математической модели. Оценка должна выполняться быстрее реальных процессов в ИС.
Однако ДЭС, реализующие принятие решения, представляют собой сложные программные комплексы, предназначенные для автоматического принятия решения или для помощи лицам, принимающим решения, и при оперативном управлении сложными системами и процессами, как правило, работают в условиях жестких временных ограничений.
Рис. 9
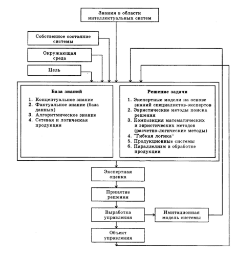
В отличие от ДЭС первого типа, предназначенных для поиска оптимального решения и базирующихся на строгих математических методах и моделях оптимизации, ДЭС второго типа в основном ориентированы на решение трудно формализуемых задач в отсутствие полной и достоверной информации. Здесь используются экспертные модели, построенные на основе знаний экспертов - специалистов в данной проблемной области, и эвристические методы поиска решения. Одной из основных проблем при проектировании ДЭС второго типа является выбор формального аппарата для описания процессов принятия решений и построение на его основе модели принятия решений, адекватной проблемной области (семантически корректной). В качестве такого аппарата обычно используют продукционные системы. Однако основные исследования ведутся в контексте алгоритмической (детерминированной) трактовки продукционной системы с присущей ей последовательной схемой поиска решения.
Рис. 10
Получающиеся в результате модели зачастую неадекватны реальным проблемным областям, характеризующимся недетерминизмом процесса поиска решения (рис. 10). Выход из такого положения - параллелизм при поиске.
Реально следует ориентироваться на объединение ДЭС первого и второго типа в расчетно-логическую ДЭС третьего типа, где база знаний сочетает описание в виде строгих математических формул с информацией экспертов, а также соответственно - математические методы поиска решения с нестрогими эвристическими методами, причем вес того или другого компонента определяется возможностью адекватного описания предметной области и способом отыскания решения (рис. 11).
При разработке ДЭС возникают следующие проблемы:
определение состава базы знаний и ее формирование;
разработка новых и использование известных теорий и методов для описания информационных процессов в ИС;
разработка способов представления и организации использования знаний;
разработка алгоритмов и программного обеспечения с распараллеливанием и использованием «гибкой» логики;
отыскание подходящих вычислительных сред для реализации параллельных алгоритмов при формировании ДЭС.
Наряду с изложенным важно отметить, что ДЭС должны обладать свойством адаптации к динамической проблемной области, способностью ввода новых элементов и связей в описание ситуаций, изменения правил и стратегии функционирования объектов в процессе принятия решения и выработки управления, работы с неполной, нечеткой и противоречивой информацией и т.д.
Требования к ДЭС. Динамические экспертные системы функционируют в составе ИС, имеющих обратные связи, и поэтому важно обеспечить устойчивую работу таких ИС. С традиционных позиций можно считать, что длительность реакции ДЭС на входные воздействия, т.е. время, затрачиваемое на обработку входной информации и выработку управляющего воздействия, есть чистое запаздывание. На основе частотного анализа можно оценить изменение фазовых свойств системы и тем самым определить запас устойчивости. При необходимости можно произвести коррекцию системы посредством фильтров.
Однако с точки зрения классической теории управления ИС являются многообъектными многосвязными системами, анализ устойчивости которых обычными способами весьма затруднителен.
















