Глава 16 Истечение газов и паров (1062515), страница 2
Текст из файла (страница 2)
Рассмотрим более подробно явления, происходящие в суживающихся соплах (а до сих пор речь шла только о таких соплах), которыми определяется характер процесса изменения состояния рабочего тела при истечении, что дает исчерпывающее разъяснение этому кажущемуся противоречию.
Уравнение (284) для расхода было бы справедливо, если бы газообразные тела были способны в надкритической сйласти расшириться в сопле от состояния, определяемого параметрами в сосуде p-i, Vi, до давления pz в окружающей среде; при этом удельный объем в устье сопла изменялся бы в зависимости от [3 по закону адиабаты (рис. 127).
Однако экспериментально установлено, что в суживающемся сопле паро-газообразные вещества, расширяясь, не могут снизить
199
своего давления ниже некоторого критического рк, определяемого критическим значением к
Это и является причиной того, что в надкритической области расход и скорость остаются постоянными. Как бы ни уменьшалось
давление р2 в окружающей среде, после достижения давлением рy в устье критического значения рк оно не будет больше уменьшаться.
Расширение паро-газообраз-ных тел при истечении через суживающиеся сопла в надкритической области проходит в два этапа: от параметров в сосуде р1, v1 до критических рk, vk они расширяются в суживающемся сопле и дальше от критических параметров до давления в окружающей среде — вне сопла.
Сказанное наглядно иллюстрируется графиками изменений давлений в окружающей среде р2 и в устье ру в зависимости от изменений (рис. 128). Между р2 и при р1 = const зависимость представляется прямой ОА, так как согласно принятому выше обозначению
В подкритической области давление рy в устье и давление р2 в окружающей среде равны (газ в сопле полностью расширяется до давления среды). При крити-
ческом отношении давлении p2/p1=К давление в устье равно критическому: ру = р2 = рк. В надкритической области давление в устье остается постоянным и равным критическому, несмотря на уменьшение давления p2 среды до нулевого значения. Очевидно, что расход и скорость истечения (скорость газа на выходе из сопла) определяются не отношением давления в окружающей среде к давлению в сосуде p2 / p1, а отношением давления в
устье сопла к давлению в сосуде py / p1 Графики, приводимые на
рис. 128, показывают, что в подкритической области между этими отношениями не существует различия. В надкритической же области отношение py / p1 остается постоянным, равным , несмотря на дальнейшее уменьшение. Эта особенность паро-газообразных тел, т. е. то, что они в устье суживающегося сопла не могут при-нять значения давления, меньшего критического, и является единственной причиной постоянства скорости и расхода в надкри-тической области (рис 127).
§ 78. Определение критических скорости и расхода
Итак, в надкритической области скорость истечения из суживающегося сопла и секундный расход т остаются постоянными и равными тем значениям этих величин, которые они получают при критическом отношении давлений К.
Для вычисления критических значений скорости и расхода необходимо знать к, т. е. такое значение отношения давлений
p2/p1 , при котором величина расхода, вычисляемая по уравнению (284), максимальна. Для определения К можно поступить следующим образом: задаваясь различными значениями , вычислять т и в некотором масштабе строить график т = f (); по этому графику и находится то значение = к, при котором т = mтах
Если провести такое графическое исследование уравнения расхода (284), то можно установить, что K имеет различное значение для различных газов, но для большинства из них К = 0,5.
Известен и строго аналитический способ вычисления K про-водимый методами - высшей математики. Выводится следующее уравнение:
Из уравнения (287) следует, что критическое отношение давлений зависит только от свойств рабочего тела и определяется показателем адиабаты.
Для идеального газа с постоянной теплоемкостью; при k = 1,7 к = 0,482 — одноатомные газы;
при k = 1,41 к = 0,528 — двухатомные газы;
при k = 1,3 к = 0,546 — трехатомные газы.
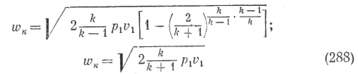
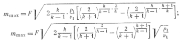
Если в уравнения для определения скорости (280) и секундного расхода (284) вместо отношения давлений p2/p1 подставить вели-
201
чину (3 из уравнения (287), то полупим выражения для определения критической скорости и максимального расхода:
§ 79. Физический смысл критической скорости
По уравнению (288) критическая скорость
Проходя через сопло, газ адиабатно расширяется от состояния, определяемого параметрами в сосуде, до состояния в выходном сечении сопла. Поэтому
или для газа определенной атомности
При k = 1,7 = 3,52 — одноатомные газы; при k = 1,41 = 3,38 — двухатомные газы; при k = 1,3 = 3,33 — трехатомные газы.
или для газа определенной атомности
Отсюда
но
поэтому
Из уравнения (287)
имеем
При k — 1,7 = 2,29 — одноатомные газы; при k = 1,41 = 2,14 — двухатомные газы; при k = 1,3 = 2,09 — трехатомные газы.
Уравнение для критической скорости (289) может быть упрощено:
т, е. критическая скорость идеального газа пропорциональна корню квадратному из абсолютной температуры рабочего тела перед
соплом.
Для вычисления критической скорости по теплоперепаду в уравнение (277) вместо теплоперепада (i1 — i2) необходимо подставить (i1 — iK). Критическую энтальпию iK определяют по адиабатному процессу расширения от начального состояния p1vl до критической изобары рк (рис. 125). Изобару находят из соотношения = р1 / рк
Итак,
Подставляя уравнения (293) и (294) в уравнение (288), получаем
или окончательно
Из физики известно, что таким образом выражается скорость звука в среде с параметрами рк, vк. Значит, в устье суживающегося или цилиндрического сопла при критическом режиме истечения Устанавливается скорость, равная местной скорости звука. На этом основании часто критическую скорость называют звуковой.
203
§ 80. Расширяющееся сопло (сопло Л аваля)
При истечении газа из суживающегося сопла при .условии, когда p2 < pk работоспособность потока будет в координатных осях р — v определяться площадью 12'ka (рис. 129). Если бы
газ смог расшириться до давления р2 среды, то в этом случае его работоспособность, выражаемая пл. 12bа, была бы больше. Но для этого необходимо, чтобы скорость на выходе из сопла стала больше звуковой, чего в суживающемся сопле или цилиндрической насадке достигнуть невозможно.
Однако, если изменить определенным образом продольный профиль сопла, по которому движется газ, то можно в нем обеспечить полное расширение газа до давления среды даже в том случае, если р2 < рк; при этом газ из него будет вытекать со сверхзвуковой скоростью.
Сопло, обеспечивающее такие условия истечения, было предложено и выполнено впервые шведским инженером Лавалем и получило поэтому название сопла Л аваля. Оно отличается от рассмотренного выше суживающегося сопла тем, что суживающаяся часть дополняется конической расширяющейся с углом конусности 10—12° (рис. 130). Процессы, протекающие в этом сопле, состоят в следующем: в суживающейся части паро-газо-
образное тело расширяется от начального давления р1 до критического рк, причем
в минимальном сечении устанавливается критическая скорость. Профиль расширяющейся части сопла выбирается таким, чтобы было обеспечено дальнейшее плавное расширение рабочего тела без отрыва потока от стенок сопла и образования вихрей. Площадь выходного сечения сопла определяется расчетом из уравнения (282); при этом длина расширяющейся части определится допустимым углом конусности 10—12°.
Минимальное сечение сопла Лаваля, в котором скорость, а также давление и все другие параметры паро-газообразных тел
достигают критических значений, называется критическим сечением.
Из рассмотренной схемы работы сопла Лаваля следует, что для вычисления скорости истечения из него следует пользоваться уравнениями (277) или (280) с подстановкой в них соответствено
полного отношения давлении — или полного теплоперепада
(i1 - i2)- Ясно также, что так как в критическом сечении скорость и плотность такие же, как и в устье суживающегося сопла, рас-код газа через сопла Лаваля будет определяться максимальным расходом в минимальном сечении.
§ 81. Действительные скорость истечения и секундный расход
В проведенном выше вычислении скорости истечения и секундного расхода предполагалось, что сопло не оказывает никакого сопротивления протекающему по нему телу.
В действительности движение газа по каналу всегда сопровождается трением его о стенки. Кроме того, в реальном потоке имеется внутреннее вязкостное трение отдельных струек потока между собой. Вязкостное трение обусловливается тем, что в реальном потоке скорости газа по сечению неодинаковы. В центре сечения скорость будет максимальной, а вблизи стенки минимальной. Наличие трения требует затраты части энергии потока на его преодоление.
В результате скорость течения по соплу и скорость истечения будут меньше тех, которые получились бы при вычислении их по ранее выведенным уравнениям, справедливым для идеального потока без наличия трения. Такие скорости называют теоретическими скоростями истечения.
Отношение действительной скорости истечения к теоретической называют коэффициентом скорости или скоростным коэффициентом:
















