Глава 07 -ВТОРОЙ ЗАКОН ТЕРМОДИНАМИКИ (1062507), страница 4
Текст из файла (страница 4)
Обращаем внимание на то, что рост энтропии системы является следствием конечного перепада температур " между телами, обменивающимися теплом. Такой теплообмен присущ необратимому процессу.
Полученные результаты применимы к системе, состоящей из любого числа источников теплоты. 2. Обратимый круговой процесс (цикл) в системе с большим числом источников теплоты и холодильниками (рис. 34). Изменение энтропии источников теплоты
изменения энтропии источников теплоты и холодильников будут соответственно равны по абсолютным величинам изменениям энтропии рабочего тела на верхней и нижней ветвях цикла, а значит, и равны между собой.
Имея в виду все это, получаем изменение энтропии систем как сумму изменений энтропии ее отдельных частей:
В результате осуществления, обратимого цикла в изолированной системе энтропия не изменяется.
3. Необратимый цикл в изолированной системе с большим количеством источников теплоты и холодильников. Для простоты выводов рассмотрим цикл, имеющий верхнюю ветвь 1А2 обратимую и нижнюю 2В1 необратимую (рис. 35). Несмотря на это, полученные ниже выводы будут относиться к любым необратимым циклам.
Изменение энтропии источников теплоты
Изменение энтропии рабочего тела независимо от того, что цикл необратимый, будет равно нулю. Это определяется тем, что энтропия есть функция состояния, а рабочее тело и в этом случае возвращается в исходное состояние:
Изменение энтропии рабочего тела
Изменение энтропии нижних источников теплоты
Изменение энтропии холодильников
Так как изменения энтропии рабочего тела не происходит, то, очевидно, изменения ее по верхней (1А2) и нижней (2В1) ветвям цикла для рабочего тела равны, но различны по знаку. А в процессах теплообмена между рабочим телом и источниками теплоты перепады температуры бесконечно малы (обратимый цикл). Поэтому
И в этом цикле, так же как и в обратимом, изменения энтропии рабочего тела по верхней и по нижней ветвям должны быть равны друг другу по абсолютной величине. Но если изменение энтропии рабочего тела в процессе 1А2 численно равно изменению энтропии источников теплоты, то изменение энтропии холодильников будет больше изменения энтропии рабочего тела в процессе 2В1. Это будет вызвано тем, что необратимый процесс 2В1 протекает при температурах рабочего тела, больших, чем температуры соответствующих источников.
85
Необратимый цикл в изолированной системе приводит к возрастанию энтропии системы.
4. Рассматривая разомкнутые процессы в изолированной системе, приходим к выведу, что обратимые процессы 1-2 (рис. 36)
не могут вызвать роста энтропии системы, так как они проходят при бесконечно малых перепадах температур между рабочим телом и источниками теплоты. Наоборот, необратимые процессы (1' — 2'), протекая при конечных перепадах температур, приводят к росту энтропии системы.
В заключение приведем обобщающий вывод результатов, полученных выше на основе рассмотрения частных примеров. Известно, что процессы, в том числе и замкнутые, или циклы, вызывают изменения энтропии системы, определяемые одним из следующих уравнений:
для необратимых процессов
для обратимых процессов
Так как для изолированной системы dq = O. а температура (абсолютная) ни в каких случаях не может принимать каких-либо значений, кроме конечных положительных, то эти уравнения приводят к следующим выводам:
для обратимых процессов ds = 0 энтропия остается постоянной;
для необратимых процессов ds > 0: энтропия системы увеличивается
Итак, резюмируя полученные выводы, устанавливаем, что энтропия является удобным показателем характера процессов, происходящих в изолированной системе: неизменяемость энтропии системы свидетельствует о протекании в системе обратимых процессов рост энтропии системы является признаком необратимости происходящих в ней процессов и может служить мерой этой необратимости.
Если необратимые процессы вызывают увеличение энтропии системы, а при обратимых она остается постоянной, то возникает вопрос: могут ли в изолированной системе происходить процессы, приводящие к уменьшению ее энтропии? Этот вопрос, как будет показано ниже, очень важный. Однако современной науке неизвестны процессы, результатом которых явилось бы уменьшение энтропии изолированной системы.
§ 37. Влияние необратимых процессов на работоспособность изолированной системы
Необратимые процессы в изолированной системе приводят к снижению ее работоспособности. Покажем это на следующем примере.
Имеем систему, состоящую из двух тел с различными температурами рабочего тела (рис. 37, а). В этой системе максимальная работа может быть произведена в обратимом цикле Карно.
Таким образом, максимальная работа системы
Пусть теперь в той же системе цикл Карно протекает при конечном перепаде температур между источником теплоты (тело I) и рабочим телом на верхней изотерме, т. е. необратимо. Для простоты представим следующую схему протекания цикла: от тела 1 теплота q1 передается некоторому промежуточному телу 1', имеющему постоянную температуру T1’ < T1 (рис. 37, б). От промежуточного тела теплота q1 переходит к рабочему телу при бесконечно малом перепаде температур. Дальнейшее протекание процессов ничем не отличается от рассмотренного выше. При такой схеме необратимость процессов, протекающих в системе, обуславливается только передачей теплоты от тела к проме-
87
жуточному телу 1' при конечном перепаде температур (прямой теплообмен).
Распространяя на этот случай выводы, полученные выше, при рассмотрении прямого теплообмена между двумя телами, заключаем, что переход теплоты от тела / к телу /' приведет к росту энтропии:
Так как все остальные процессы, протекающие в системе, обратимые и не приводят к росту энтропии, то полученное значение s явится увеличением энтропии всей системы scucm и может быть принято за показатель степени необратимости" процессов в ней.
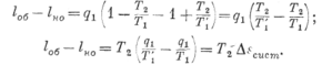
Разность работ lоб - lно определит уменьшение работоспособности системы, называемое необратимостью процессов в ней;
Определим максимальную работу системы в новых условиях:
Полученный результат может быть сформулирован следующим образом: при протекании в изолированной системе необратимых процессов ее работоспособность уменьшается прямо пропорционально приращению энтропии и минимальной температуре в системе. Pocт энтропии системы является, следовательно, показателем снижения ее работоспособности.
§ 38. Стремление изолированной системы к тепловому равновесию
При более подробном исследовании необратимых процессов в изолированной системе можно установить, "что эти процессы, являясь самопроизвольными, т. е. способными происходить сами по себе, без создания особых условий, приводят с течением времени к уменьшению разности температур между отдельными телами системы, причем этот процесс выравнивания температур в системе сопровождается также выравниванием и некоторых других параметров.
Такое некомпенсируемое выравнивание параметров в системе приводит к снижению ее работоспособности, несмотря на то, что общий запас энергии системы не изменяется. Наконец, неполном
выравнивании температур и давлений между всеми компонентами системы в ней больше не будет существовать условий для возникновения каких-либо процессов; наступает состояние теплового равновесия системы.
Так как пределом некомпенсируемого процесса выравнивания температур в системе является ее тепловое равновесие, при котором работоспособность системы равна нулю, то нетрудно сделать следующий вывод: так как при протекании необратимых процессов в системе ее энтропия росла, то после достижения системой состояния теплового равновесия она уже может увеличиваться, так как достигает максимального своего значения.
Таким образом, энтропия является мерой необратимости протекающих в системе процессов.
Из сказанного можно сделать следующий вывод: при осуществлении в изолированной системе необратимых процессов ее энергия остается постоянной, энтропия стремится к максимуму. Последнее является признаком стремления системы к состоянию теплового равновесия, которое неминуемо наступает с момента, когда температуры и давления отдельных элементов системы принимают практически равные значения. Состояние теплового равновесия системы принято называть «тепловой смертью» ее.
Вывод о неизбежности тепловой смерти изолированной системы некоторые ученые пытались распространить на окружающий нас мир, на вселенную. Исходя из того, что все известные виды энергии в конце концов переходят в тепловую форму и что все самопроизвольные процессы, протекающие в природе, являются необратимыми, Клаузиус в 1867 г. в работе «О втором основном законе термодинамики» сделал заключения, что энтропия вселенной стремится к некоторому максимуму и что чем больше вселенная приближается к этому предельному состоянию, тем больше исчезают поводы к дальнейшим изменениям.
Такие заключения Клаузиуса, одного из наиболее видных физиков-термодинамиков второй половины прошлого столетия, привели его и некоторых других ученых того и более позднего периода к антинаучным утверждениям о неизбежности «тепловой смерти» вселенной.
















