Глава 07 -ВТОРОЙ ЗАКОН ТЕРМОДИНАМИКИ (1062507), страница 2
Текст из файла (страница 2)
Однако создание подобного двигателя невозможно в силу второго закона термодинамики.
Поэтому одна из формулировок второго закона термодинамики предупреждает о невозможности построения такого двигателя. В отличие от «вечного» двигателя первого рода, создающего энергию из ничего, двигатель, действующий при наличии одного источника теплоты, называют «вечным» двигателем второго рода.
Формулировка второго закона термодинамики применительно к этому случаю гласит: вечный двигатель (perpetuum mobile) второго рода невозможен.
§ 32. Оценка экономичности циклов
Итак, в результате действия второго закона термодинамики в прямом цикле только часть теплоты, подводимой к рабочему телу, превращается в работу. Для оценки экономичности цикла используют отношение работы за цикл I к подводимой теплоте qr. Это отношение называют термическим коэффициентом полезного действия цикла (термическим к. п. д. цикла):
Обратные или холодильные циклы используются для переноса теплоты от тел менее нагретых к более нагретым. Этот процесс,
1 Попытки использовать в качестве верхнего источника теплоты солнце (гелиоэнергетику) или теплоту земных недр (геоэнергетику) пока не имеют практического значения. Однако эти установки следует считать перспективными не только для целей теплофикации, но п для выработки механической энергии. Само собой разумеется, что работа установок с использованием теплоты солнца или земных недр подчиняется всем законам термодинамики,
73
согласно второму закону термодинамики, не может протекать без затраты работы. В качестве основной характеристики эффективности обратных циклов принимается величина так называемого холодильного коэффициента к, равного отношению теплоты, отводимой от охлаждаемого тела qz, к затраченной для этого работе Z:
В дальнейшем основное внимание будет уделено прямым циклам, а холодильные циклы будут рассмотрены особо.
В термодинамике рассматриваются идеальные циклы, поэтому они только условно могут характеризовать работу реальных тепловых двигателей или теплосиловых установок. Несмотря на это, исследование их экономичности имеет большое значение.
Термические к. п. д. этих циклов оказывают решающее влияние на общую экономичность установок. Об этом будет подробно сказано при рассмотрении идеальных циклов двигателей внутреннего сгорания и различных теплосиловых установок.
Циклы, так же как и разомкнутые термодинамические процессы, могут быть обратимыми и необратимыми. Для необратимости цикла в целом достаточно, чтобы процесс протекал необратимо хотя бы на части цикла.
Как уже говорилось ранее, при обратимом протекании процессов расширения от рабочего тела будет получено максимальное количество энергии в форме работы, или, как говорят, рабочим телом будет совершена максимальная работа. В процессах сжатия в этом случае работа, совершенная над рабочим телом, будет минимальная. Поэтому очевидно, что при осуществлении обратимого цикла будет получена также максимальная полезная работа и она всегда будет больше работы необратимого цикла, протекающего в той же системе, в какой протекал обратимый цикл. При этом в обратимом цикле большая часть подведенной к рабочему телу теплоты будет превращена в полезную работу. Таким образом, у обратимого цикла по сравнению с необратимым термический коэффициент полезного действия будет выше.,
В данной конкретной термодинамической системе можно осуществить только .один единственный обратимый замкнутый процесс или цикл. Это вытекает из анализа обратимых и необратимых процессов, проведенного ранее. Такой обратимый цикл будет, очевидно, циклом максимальной экономичности в этой термодинамической системе.
§ 33. Цикл Карно
В развитии теории термодинамики большое значение имеет цикл максимальной экономичности в системе, имеющей только два источника теплоты различных постоянных температур. Впервые
такой цикл и его свойства были рассмотрены в работах С. Карно, поэтому он был назван циклом Карно.
Рассмотрим этот цикл. Имеется система с двумя источниками теплоты: источник теплоты с температурой T1 = const и хододиль-ник с температурой Tz = const, причем Т1 > T2 (рис. 27). Согласно сказанному выше в такой системе цикл максимальной экономичности должен протекать при подводе теплоты q{ к рабочему телу по изотерме Т1 = const и с отводом теплоты qz по изотерме Тг = const.
Изменение температуры от Т1 до Т2 и обратно должно происходить по адиабатам bс и da. Все остальные циклы, возможные в рассматриваемой системе, происходящие при нарушении условий равновесия в системе, будут необратимыми и поэтому менее экономичными.
Протекание цикла Карно нужно представлять следующим образом. При состоянии рабочего тела, соответствующем точке а, оно сообщается с источником теплоты и к нему подводится теплота % при постоянной температуре T1. В момент, соответствующий точке b, рабочее тело изолируется от источника теплоты, происходит адиабатное расширение при снижении температуры от Т1 до Tz. Как только рабочее тело придет в состояние, характеризуемое точкой с, оно сообщается с холодильником и создаются условия для протекания изотермического процесса от точки с к точке d при температуре Т = const. От точки d к начальному состоянию а рабочее тело приходит в результате адиабатного сжатия.
Вычислим абсолютные значения q1 и q2, имея в виду, что теплота подводится и отводится при Т = const. Согласно уравнению (112)
тогда
Определим термический к. п. д. цикла Карно считая, что рабочим телом является идеальный газ. Для цикла Карно. как и для всякого другого цикла, термический к. п. д. определяется уравнением (128)
75
По уравнению (123) для адиабат be и da
Отсюда следует, что
из этого следует, что количества теплоты ql и q.2 в случае совпадающих прямого и обратного циклов Карно, сохраняя свои абсолютные величины, меняют только знаки.
§ 34. Приведенная теплота
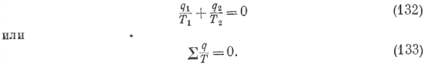
Для обратимого цикла Карно, как и для всякого цикла,
но для цикла Карно этот коэффициент выражается и через температуры источников теплоты:
Из сравнения этих уравнений имеем
Окончательное выражение для термического к. п. д. цикла Карно будет
Цикл Карно может быть не только прямым, но и обратным (рис. 28).
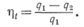
Если прямой цикл Карно является циклом максимальной экономичности в системе с двумя источниками теплоты постоянных температур, то обратный цикл Карно будет наиболее эффективным холодильным циклом в той же системе. Холодильный коэффициент обратного цикла Карно, согласно уравнению (129), определится следующим образом:
По аналогии с выводами для термического к. п. д. прямого шла Карно можно получить
Пусть прямой цикл abcda протекает при подводе к рабочему телу теплоты q1 и отводе от него теплоты q2. Если в той же системе осуществить обратный цикл adcba, то производимая работа в прямом цикле по абсолютной величине будет в точности равна работе, затрачиваемой на обратный цикл, т. е.
Если под величинами q1 и q.2 подразумевать алгебраические значения количеств теплоты, последнее уравнение может быть записано следующим образом:
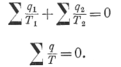
Отношение количеств подводимой или отводимой теплоты к со
ответствующей абсолютной температуре называется приведенной
теплотой.
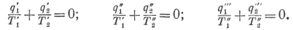
Уравнение (133) устанавливает, что для обратимого цикла Карно алгебраическая сумма приведенных количеств теплоты равна нулю. Этот вывод можно распространить и на другие обратимые циклы.
Рассмотрим цикл, состоящий из нескольких обратимых изотерм и адиабат (рис. 29). Если адиабаты 2—3 и 6—7 продолжить до пересечения с соответствующими изотермами, то весь цикл можно условно разделить на три части, каждая из которых представит
77
Суммируя левые части этих равенств, получаем
некоторый цикл Карно: 1а781, а2b6а; 345bЗ. Для каждого из этих циклов справедливо уравнение (132):
Наконец, рассмотрим произвольный обратимый цикл 1А2В1 рис. 30). Если через часть координатной плоскости, занятую
Для цикла Карно это даст следующее неравенство:
















