Глава 06 ТД процессы (1062506), страница 3
Текст из файла (страница 3)
Разделив правую и левую части этого уравнения на cv, получим
63
Отношение
тогда
Разделив правую и левую части последнего уравнения на про-
изведение pv, получаем
Преобразовав и пропотенцировав это уравнение, получим окончательно следующее уравнение адиабатного процесса, выраженное через переменные pv:
Из уравнения видно, что коэффициент k является показателем адиабаты.
На рис. 25 показаны изотермический и адиабатный процессы. В том, что при адиабатном расширении давление падает более интенсивно, чем при изотермическом, легко убедиться на основе следующих соображений; для адиабаты
для изотермы
в обоих случаях отношение — одно и то же и при изотермическом расширении меньше единицы. Показатель адиабаты k = cp / cv > 1, поэтому, очевидно,
Уравнение адиабаты (114) можно записать следующим образом:
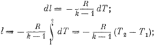
Для вычисления работы газа в адиабатном процессе удобно воспользоваться равенством, вытекающим из уравнения первого закона термодинамики;
После интегрирования, считая что cv и ср постоянны, имеем
Из уравнения Майера получаем
теперь
окончательно:
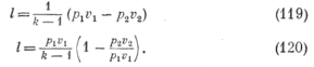
Уравнение (117) можно записать следующим образом:
Если же в уравнении (117) газовую постоянную Л ввести в скобки, a RT заменить на pv, то
на этом основании p2 < p2’.
Подобным же образом можно установить, что при адиабатном сжатии давление растет более интенсивно, чем при изотермическом.
Заменив в этом уравнении отношение давлений — по уравнению
(115), после преобразовании получаем
65
Пример4. Во время изобарного сжатия 10 кг воздуха при температуре t1=127o C объем изменяется в 2 раза. Определить работу сжатия и количество отведенной теплоты cp=1 кдж/(кг*град).
Пример5. 1 кг воздуха при давлении p1=104 кн/м2 и температуре 27оС расширяется изотермически до давления p2=100 кн/м2. Определить объем воздуха в начале и конце процесса, изменение внутренней энергии и энтальпии.
Вопросы для самопроверки.
1 Какие условия необходимы для обратимости процесса?
2 Какие обратимые процессы идеального газа вы знаете?
3 Каковы соотношения между параметрами в основных процессах идеального газа?
4 Как выражается уравнение первого закона термодинамики для каждого из рассмотренных процессов?
если же в уравнение (120) подставить отношение объемов из уравнения (116)j_To после преобразований будем иметь
Сравнивая уравнения (118) и (121) и имея в виду, что р1v1 = = RT1 легко установить связь между объемами и температурами в адиабатном процессе:
Подобным же образом из уравнений (118) и (122) устанавливается связь между давлениями и температурами:
Изменение внутренней энергии в адиабатном процессе
Изменение энтальпии
Пример 1. В цилиндре с подвижным поршнем находится 1 кг газа, который при нагревании совершает работу 8000 дж. Определить изменение внутренней энергии тела, если ему сообщается 9 кдж теплоты. По первому закону термодинамики:
Пример 2. 5 кг воздуха нагревается при постоянном объеме v=const. Начальные параметры: p0=300 кн/м2, t0=27oC. Конечное давление pk=1200 кн/м2.
Определить количество подведенной теплоты, изменение внутренней энергии и энтальпии 1 кг воздуха, если cv= 0,713 кдж/(кг*град), cp~ 1 кдж/(кг*град).
Пример 3. Воздух всасывается при t1=-23oC и нагревается в калорифере при p=const до температуры t2=27oC. Какое количество теплоты надо затратить для нагревания 100 кг наружного воздуха?
68
















