Белов - БЖД (1006305), страница 59
Текст из файла (страница 59)
Отходы древесины широко используют для изготовления товаров культурно-бытового назначения и хозяйственного обихода главным образом методом прессования. Переработанные древесные отходы применяют в производстве древесно-стружечных плит, корпусов различных приборов и т. п.
Во многих странах промышленные отходы используют в качестве топлива на так называемых контейнерных теплоцентралях. Передвижная теплоэлектростанция монтируется на автомобиле с автоприцепом, она может работать, используя в качестве топлива опилки, щепу и другие отходы, отапливая небольшие помещения: школы, больницы, фермы и т. п.
Радикальное решение проблем защиты от промышленных отходов возможно при широком применении безотходных и малоотходных технологий и производств.
Под безотходной технологией, безотходным производством, безотходной системой понимают не просто технологию или производство того или иного продукта (или продуктов), а принцип организации функционирования производства. При этом рационально используются все компоненты сырья и энергия в замкнутом цикле (первичные сырьевые ресурсы – производство – потребление – вторичные сырьевые ресурсы), т. е. не нарушается сложившееся экологическое равновесие в биосфере.
Малоотходная технология является промежуточной ступенью при создании безотходного производства. При малоотходном производстве вредное воздействие на окружающую среду не превышает уровня, допустимого санитарными органами, но по техническим, экономическим, организационным или другим причинам часть сырья и материалов переходит в отходы и направляется на длительное хранение или захоронение. Основой безотходных производств является комплексная переработка сырья с использованием всех компонентов, поскольку отходы производства – это по тем или иным причинам неиспользованная часть сырья. Большое значение при этом приобретает разработка ресурсосберегающих технологий.
Малоотходная и безотходная технология должны обеспечить:
– комплексную переработку сырья с использованием всех его компонентов на базе создания новых безотходных процессов;
– создание и выпуск новых видов продукции с учетом требований повторного ее использования;
– переработку отходов производства и потребления с получением товарной продукции или любое полезное их использование без нарушения экологического равновесия;
– использование замкнутых систем промышленного водоснабжения;
– создание безотходных комплексов.
В машиностроении разработка малоотходных технологических процессов связана прежде всего с необходимостью увеличения коэффициента использования металла. Увеличение его не только дает технико-экономические выгоды, но и позволяет уменьшить отходы и вредные выбросы в окружающую среду.
В прокатном производстве в последние годы получили широкое распространение так называемые деталепрокатные станы (зубопрокатные, винтовой прокатки в винтовых камерах, поперечно-винтовой, клиновой и др.). В ряде случаев они позволяют отказаться от дальнейшей металлообработки и сэкономить на 10...35 % больше металла по сравнению с резанием. Так, внедрение стана винтовой прокатки по способу ВНИИметмаша для получения пустотелой спиральной буровой стали ПБС позволило не только получить значительную экономию металла (до 1000 т в год), но и улучшить условия труда шахтеров в результате снижения запыленности воздуха в шахтах, уменьшения вибрации и повышения скорости бурения на 10...15 %.
Порошковая металлургия позволяет создавать материалы и изделия с особыми, часто уникальными составами, структурой и свойствами, а иногда вообще недостижимыми при других технологических процессах. Это обеспечивает значительный экономический эффект (1...4 млн. руб. на 1000 т спеченных изделий) за счет снижения потерь материалов до 5...7 % и увеличения коэффициента использования металла в 2...3 раза (при металлообработке отливок и проката часто теряется в стружках до 60...70 % металла).
6.6. ЗАЩИТА ОТ ЭНЕРГЕТИЧЕСКИХ ВОЗДЕЙСТВИЙ
6.6.1. Обобщенное защитное устройство и методы защиты
При решении задач защиты выделяют источник, приемник энергии и защитное устройство, которое уменьшает до допустимых уровней поток энергии к приемнику [6.10].
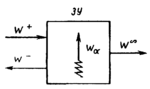
В общем случае защитное устройство (ЗУ) обладает способностями: отражать, поглощать, быть прозрачным по отношению к потоку энергии. Пусть из общего потока энергии W+, поступающего к ЗУ (рис. 6.26), часть Wα, поглощается, часть W отражается и часть W– проходит сквозь ЗУ. Тогда ЗУ можно охарактеризовать следующими энергетическими коэффициентами: коэффициентом поглощения τ= WαW+, коэффициентом отражения d = a/W+, коэффициентом передачи τ = W/W. Очевидно, что выполняется равенство р + а + т = 1. Сумма α+τ=1– p=v (где v = W^W^) характеризует неотраженный поток энергии W, прошедший в ЗУ. Если α = 1, то ЗУ поглощает всю энергию, поступающую от источника, при р = 1 ЗУ обладает 100 %-ной отражающей способностью, а равенство τ = 1 означает абсолютную прозрачность ЗУ: энергия проходит через устройство без потерь.
Рис. 6.26. Энергетический баланс защитного устройства
В соответствии с изложенным можно выделить следующие принципы защиты:
1) принцип, при котором р→ 1; защита осуществляется за счет отражательной способности ЗУ;
2) принцип, при котором α→1; защита осуществляется за счет поглощательной способности ЗУ;
3) принцип, при котором τ→ 1; защита осуществляется с учетом свойств прозрачности ЗУ.
На практике принципы обычно комбинируют, получая различные методы защиты. Наибольшее распространение получили методы защиты изоляцией и поглощением.
Методы изоляции используют тогда, когда источник и приемник энергии, являющийся одновременно объектом защиты, располагаются с разных сторон от ЗУ. В основе этих методов лежит уменьшение прозрачности среды между источником и приемником, т. е. выполнение условия τ→ 0. При этом можно выделить два основных метода изоляции: метод, при котором уменьшение прозрачности среды достигается за счет поглощения энергии ЗУ [т. е. условие τ→0 обеспечивается условием α→ 1 (рис. 6.27, а), и метод, при котором уменьшение прозрачности среды достигается за счет высокой отражательной способности ЗУ [т. е. условие τ→ 0 обеспечивается условием р → 1 (рис.6.27,б ).
В основе методов поглощения лежит принцип увеличения потока энергии, прошедшего в ЗУ, т. е достижение условия v -> I. Принципиально можно различать как бы два вида поглощения энергии ЗУ: поглощение энергии самим ЗУ за счет ее отбора от источника в той или иной форме, в том числе в виде необратимых потерь (характеризуется коэффициентом α, рис. 6.28, а) и поглощение энергии в связи с большой прозрачностью ЗУ (характеризуется коэффициентом τ, рис.6.28. б). Так как при v → 1 коэффициент р → 0, то методы поглощения используют для уменьшения отраженного потока энергии; при этом источник и приемник энергии обычно находятся с одной стороны от ЗУ.
Рис. 6. 27. Методы изоляции при расположении источника и приемника с разных сторон от ЗУ; а –энергия поглощается; б–энергия отражается
Рис. 6.28. Методы поглощения при расположении источника и приемника с одной стороны от ЗУ:
а – энергия отбирается; б – энергия пропускается •
При рассмотрении колебаний наряду с коэффициентом α часто используют коэффициент потерь η, который характеризует количество энергии, рассеянной ЗУ:
η= Ws/ωε=εs/2πε, (6.8)
где W и εу – средние за период колебаний Г, соответственно, мощность потерь и рассеянная за то же время энергия;ω–круговая частота, ω= 2π/Т,ε–энергия, запасенная системой.
В большинстве случаев качественная оценка степени реализации целей защиты может осуществляться двумя способами:
1) определяют коэффициент защиты kw виде отношения:
kв= поток энергии в данной точке при отсутствии ЗУ .
поток энергии в данной точке при наличии ЗУ '
2) определяют коэффициент защиты в виде отношения:
Эффективность защиты (дБ)
e=10lgkв. (6.9)
6.6.2. Защита от вибрации
Линейные вибросистемы состоят из элементов массы, упругости и демпфирования. В общем случае в системе действуют силы: инерции, трения, упругости и вынуждающие.
Сила инерции, как известно, равна произведению массы М на ее ускорение:
где v – виброскорость.
Сила Ем направлена в сторону, противоположную ускорению.
Упругий элемент принято изображать в виде пружины, не имеющей массы (рис. 6.29, а). Чтобы переместить конец пружины из точки с координатой Xo (ненапряженное состояние) в точку с координатой X1, к пружине необходимо приложить силу; при этом сила действия упругого элемента, или восстанавливающая сила, будет направлена в противоположную сторону и равна
FG=Gx(6.11)
где G–коэффициент жесткости, Н/м; х=х1 –xo–смещение конца пружины, м.
При вибрации упругих систем происходит рассеяние энергии в окружающую среду, а также в материале упругих элементов и в узлах сочленения деталей конструкции. Эти потери вызываются силами трения –диссипативными силами, на преодоление которых непрерывно и необратимо расходуется энергия источника вибрации*.
Если рассеяние энергии происходит в элементе демпфирования (рис. 6.29, б), т. е. в вязкой среде (среде с вязким сопротивлением), то диссипативная сила Fs прямо пропорциональна виброскорости и носит название демпфирующей:
Fs=SV. (6.12)
Сила Fs всегда направлена против скорости, коэффициент S (Н·с/м) называют импедансом, или сопротивлением элемента демпфирования.
Основные характеристики виброзащитных систем. К основным характеристикам виброзащитных систем отнесены собственная частота системы, механический импеданс и коэффициенты, определяющие процессы затухания вибраций и рассеяния энергии.
По аналогии с формулой (6.12) можно ввести общее понятие механического импеданса материальной точки при гармонической вибрации
Z=F/V или /Z/=|F/V|,
* Ниже рассматриваются только гармонические движения. Их удобно изучать с помощью вращающихся комплексных векторов. Вращающийся вектор будем обозначать волнистой линией над буквой, постоянный вектор–точкой: й= иmejwt =umej(wt+фw)
um=ejфum. Здесь постоянный вектор и называется комплексной амплитудой, объединяющей действительное значение амплитуды иm и начальный фазовый угол фu, w = 2Пf, где f–частота, Гц; t–время; j = - 1.
Рис 6 29 Схематическое изображение элементов упругости (а) и демпфирования (б)
где комплексное число i в полярной форме можно записать в виде z=zejфz Найдем импеданс элементов массы и упругости При заданной виброскорости v смещение х и ускорение а материальной точки находят интегрированием и дифференцированием:
Подставив ускорение а в формулу (6.10), определяют импеданс элемента массы или просто импеданс массы zM:















