Белов - БЖД (1006305), страница 63
Текст из файла (страница 63)
Из полученного выражения видно, что в изолированном объеме плотность потока энергии получает некоторое приращение, которое аналитически обусловлено наличием множителя (1–α)/α, который велик при коэффициенте α близком к нулю.
Защитное устройство бесконечной толщины. Во многих случаях информацию можно получить, исследуя вместо реальной конструкции теоретическое защитное устройство бесконечной толщины, оно представляет собой просто среду, бесконечно простирающуюся в направлении распространения волны. Таким образом, волна из одной среды проходит в другую среду (защитное устройство), предварительно попадая на границу раздела этих сред. При падении на плоскую границу раздела двух разных сред плоская волна частично отражается, частично проходит в другую среду, оставаясь плоской, но меняя при этом свое направление распространения, т. е. преломляясь. Таким образом в общем случае существуют три волны: падающая, отраженная и преломленная (прошедшая).
При прохождении границы раздела сред без поглощения должен соблюдаться закон сохранения энергии: W- + W˜ = W+. Кроме того, на границе должны выполняться специфические для волн данной природы условия: например, для звуковых волн по обе стороны границы должны быть равны звуковые давления – принцип непрерывности звукового давления; для электромагнитных волн на границе раздела двух сред непрерывны тангенциальные составляющие электромагнитного поля. Условие непрерывности при нормальном падении волн можно записать в виде равенства на границе амплитуд поля в среде j и среде j:[um]j=[um]. Усредненный поток энергии можно выразить через интенсивность: W= IS, а интенсивность – через амплитуду и импеданс среды с помощью формулы (6.25). Тогда закону сохранения энергии можно придать виц (рис. 6.39)
W и т, U т, и т – амплитуда, соответственно, падающей, отраженной и прошедшей волн, a z k = Zk/Sk – импеданс на единицу площади (k = /, у).
В среде i существуют падающая и отраженная волна, которые на границе создают суммарную амплитуду [u,n]i == и^т + "w» в среде у существует только преломленная волна:
[Urn]} == иЩ. Условие непрерывности и закон сохранения энергии позволяют найти амплитудный коэффициент отражения Ry и амплитудный коэффициент передачи Тц при' падении волны на границу (/, j) из среды /:
При этом имеем Ту = 1 + 7?у, Ry = –Rj,. Так как значение коэффициента отражения лежит между –I и +1, то значение коэффициента передачи заключено в интервале от 0 до 2 и он всегда положителен. При равных площадях (S, = Sj) соотношения (6.34) примут такой же вид, который можно получить простой заменой ^ на ^, а при равных импсдансах сред to == ^) – заменой ^ на \/S„ (k = /, /). Амплитудные коэффициенты отражения и передачи при нормальном падении волн связаны с соответствующими энергетическими коэффициентами соотношениями:
Защитное устройство конечной толщины. В общем случае защитное устройство имеет конечную толщину. При этом волна, падая на защитное устройство, частично отражается, а частично может проходить сквозь него. Отражательную способность защитного устройства характеризуют коэффициентом отражения энергетическим и амплитудным. Прозрачные свойства защитою устройства характеризуют соответствующими коэффициентами передачи. Амплитудные коэффициенты отражения и передачи па границах разных сред будем обозначать соответственно через Ry и t{j. Эти величины определены соотношениями (6.34). Амплитудные коэффициенты отражения и передачи защитного устройства будем обозначать соответственно через R и Г, при этом в комплексной форме
где U+т и Uт- –соответственно амплитуда падающей и отраженной волны на входе в защитное устройство; Uт –амплитуда волны на выходе из защитною устройства.
Рассмотрим случай, когда гармоническая волна падает из среды 1 (рис. 6.40) на защитное устройство произвольной толщины h, состоящее из среды 2, ограниченной с другой стороны средой з, при этом S1 = S2 = S3. Примем, что импедансы сред соответственно равны Z1, Z2, Z3 волновое поле в среде 2 на длине h затухает по экспоненциальному закону е, где h – коэффициент распространения. При неравных импедансах сред часть энергии на границе (7, 2) отражается обратно в среду 7 в соответствии с формулой (6.34). Амплитуда падающей волны равна и+^п- Обозначив амплитуду отраженной волны через U, имеем: U= Rum.
Другая часть энергии пройдет в среду 2 и, изменившись пропорционально коэффициенту передачи Гц на границе (7, 2), претерпит в среде 2 затухание по закону е2 , так что амплитуда волны в среде 2, которую обозначим через U, определится выражением й\ = Т^е^й+т- Эта волна на границе (2, 3) частично отразится и создаст в среде 2 отраженную волну, амплитуда которой с учетом затухания станет равной й^ == ^R^T^e'2^ и частично пройдет в среду J. Амплитуда прошедшей волны будет равна ид = ^^ТчзТ^ hu-^m. Волна с амплитудой йч, частично пройдет в среду 7: и^ =Г2l7l27г23^-2u^4m, а частично отразится от границы (7, 2^ и снова будет распространяться в среде 2 в виде волны с амплитудой us = rzi ТЬ^зе"3^-* /и. Процесс отражения и прохождения волн на границе сред (1, 2 и 2, 3) будет продолжаться до полного затухания волн
Рис. 6.39. Баланс энергии на границе раздела сред
Рис. 6.40. Схема защитного устройства конечной толщины
Суммируя все волны, из которых в среде 7 формируется общая отраженная волна, можно получить для амплитуды этой волны следующее выражение
Пользуясь формулой бесконечной геометрической прогрессии, найдем амплитудный коэффициент отражения защитного устройства
В среде 3 суперпозиция распространяющихся волн создаст волну, прошедшую сквозь защитное устройство. Амплитуда этой волны на выходе из защитного устройства
Просуммировав, получим согласно формуле (6.35) амплитудный коэффициент прозрачности защитного устройства конечной толщины:
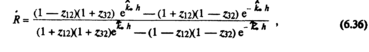
С помощью формул (6.34) преобразуем коэффициенты R и Г к виду:
где zi2 = а/О и 02 = o/q. Полученные соотношения носят общий характер и их можно применять при решении задач защиты как от звуковых, так и от электромагнитных полей,
Если по обе стороны от защитного устройства находится одна и та же среда, то импедансы ^и ^ равны. Тоща формулы (6.36) и (6.37) преобразуются к виду:
Амплитудные коэффициенты R и Т при нормальном падении волн связаны с энергетическими коэффициентами р и т соотношениями: р = В.2, т = Г2, эффективность защиты
В некоторых случаях для расчета эффективности защиты удобно использовать следующую запись:
е = е. + е + <?., (6.40)
Ж f. Л ^
где ^ = (201g^)8A, ^ = 201g|T U вц = 201g|(l– рце-2V)! – слагаемые эффективности за счет ослабления волн соответственно в материале защитного устройства, при прохождении границы раздела сред (1, 2) и при многократных отражениях внутри защитного устройства. Так как с увеличением частоты коэффициент h возрастает, то ^ -> 0 и эффективность изоляции высокочастотных полей е w ek •+- е^
Прогнозирование шума. Условие безопасности при наличии звукового поля можно записать в виде неравенства
L,(f) ^(Д (6.41)
где Lp(f) = 201gp^(/)/A и 1н(/) –соответственно уровни звукового давления и их нормативные значения. Неравенство (6.41) должно выполняться на всех среднегеометрических частогах/== 63,125, 250, 500,1000, 2000, 4000, 80000 Гц и во всех точках рассматриваемого пространства с учетом времени звукового воздействия. Из соотношения (6.26) следует
L^L-L, (6.42)
Референтные значения звукового давления, интенсивности и им-педанса равны: а = 2 • 10'5 Па, 1 = 1012 Вт/м2 = 400 Па • с/м.
Характеристический импеданс среды для звука равен произведению скорости звука в среде сна ее плотность p:z = рс. Для атмосферного воздуха при р == 1,29 кг/м3 и с = 331 м/с ^ = 430 кг/(м2 • с). В табл. 6.8 приведены значения импеданса г для разных сред.
Таблица 6.8. Плотность, скорость звука и характеристический импеданс для некоторых сред и материалов
| Среда, материал | Плотность ρ, кг/м3 | Скорость звука с, м/с | Импеданс z= рс, Па∙ с/м |
| Водород | 0,084 | 1310 | 110 |
| Вода | 1000 | 1450 | 1,45 • 106 |
| Бензин | 750 | 1190 | 0,89 • 106 |
| Алюминий | 2650 | 6220 | 16,5 • 106 |
| Медь | 8930 | 4620 | 41,1 • 106 |
| Сталь | 6110 | 7800 | 47,6 106 |
| Стекло | 2500 | 4900...5900 | (12...15) • 106 |
| Полистирол | 1160 | 2670 | 2,94 • 106 |
| Железобетон | 2400 | 4500 | 11•106 |
| Кирпич | 1500 | 2750 | 4,1 • 106 |
| Пробка | 240 | 500 | 0,12∙106 |
| Резина (техниче | 1200 | 60 | 0,72 • 106 |
| ская) |
При распространении звука в атмосфере значение импсданса будет зависеть от температуры и давления. Значение ^ = 400 Па • с/м будуг соответствовать условиям, когда, например, давление и температура будут соответственно равны 0,9 • 105 Па (675 мм рт. ст.) и –27 °С или 1,013 • 1015 Па и +38,8 °С. Однако при изменении давления и температуры в пределах обычной атмосферы уровень импеданса 2^= lOlg^* незначителен и им пренебрегают, полагая, что Lp(f) = Z//).
Уровень интенсивности или плотности потока энергии можно определить, используя зависимости (6.29), (6.30), (6.33).
Для расчета уровня шума в изолированном объеме используют уравнение (6.33), которое записывают в децибелах в виде















