Неопределенный интеграл, таблица интегралов
Лекция 1 Неопределенный интеграл, таблица интегралов.
Функция
называется первообразной для функции
, если
.
Теоремы о первообразных.
Теорема. Если
- первообразная для функции
, то
(
- константа) - тоже первообразная для функции
.
Доказательство.
.
Теорема. Пусть
- две первообразных для функции
, тогда они различаются на некоторую константу (
- константа).
Рассмотрим функцию
, она непрерывна и дифференцируема на всей числовой оси, как и функции
. Тогда для любых конечных значений
по формуле конечных приращений Лагранжа
.
Следовательно, 
Рекомендуемые материалы
Неопределенным интегралом
(интеграл от функции
по
) называется совокупность всех первообразных функций для функции
.
.
Функция
, стоящая под знаком интеграла, называется подинтегральной функцией, а выражение
- подинтегральным выражением..
Свойства неопределенного интеграла.
Свойства неопределенного интеграла можно условно разделить на две группы. В первую группу собраны свойства, вытекающие из того, что интегрирование – операция, обратная дифференцированию. Во вторую группу собраны свойства линейности. Эти свойства вытекают из того, что интегрирование, как и дифференцирование – линейная операция и определяют линейную операцию.
Первая группа свойств.
1)
.
2) 
3) 
4)
.
Докажем первое свойство.
Так как 
Здесь
- первообразная для
.
Докажем второе свойство.
Обозначим
Тогда
, а
по первому свойству. Поэтому функции
являются первообразными для функции
. Следовательно, по теоремам о первообразных, они различаются на константу, т.е.
или 
Третье свойство следует из первого: 
Четвертое свойство следует из второго, если вспомнить, что с дифференциалом первого порядка можно обращаться как с алгебраическим выражением (свойство инвариантности формы записи первого дифференциала).
Поэтому надо доказать два первых свойства.
Вторая группа свойств.
1) свойство суперпозиции 
2) свойство однородности
.
Доказательства того и другого свойств проводятся аналогично. Дифференцируем (по свойствам первой группы) левую и правую часть равенства, приходим к тождеству. Затем из теорем о первообразных заключаем, что левая и правая часть равенства, как первообразные одной и той же функции, различаются на константу. Эта константа может быть формально включена в неопределенный интеграл в левой или правой части равенства.
Для того, чтобы вычислить интеграл от функции, проще всего «угадать» первообразную для этой функции по таблице для производных, переписав эту таблицу в обратном порядке. Запишем интегралы для основных элементарных функций.
1)
. Эти формулы лучше запомнить, они очень часто встречаются.
2) 
3) 
4) 
Справедливость этих формул легко проверить, дифференцируя правую часть соотношения и получая подинтегральную функцию.
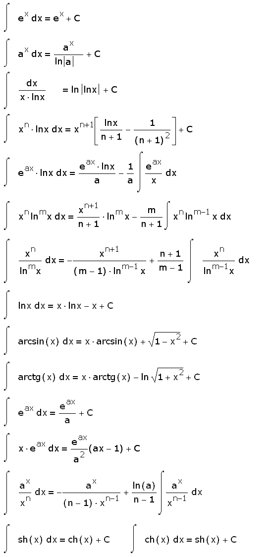
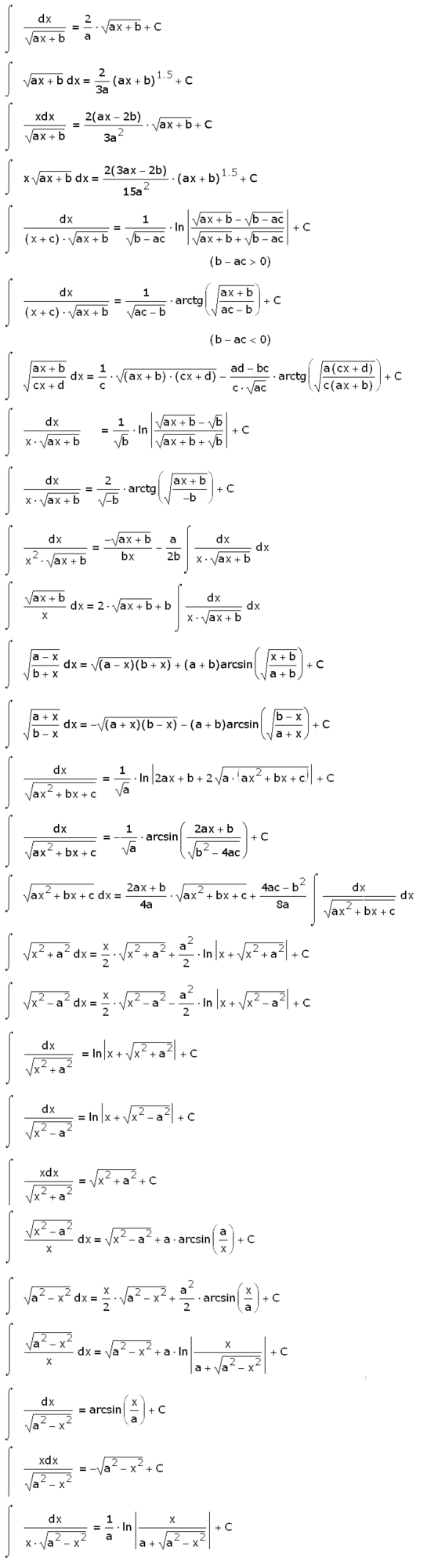
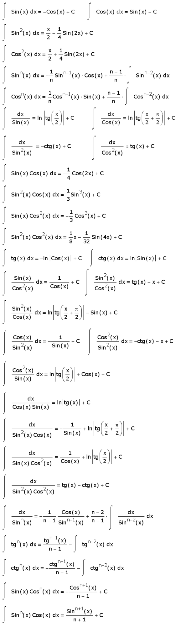
Основные формулы

Интегралы от рациональных функций (23 шт)

Интегралы от трансцендентных функций (15 шт)

Бесплатная лекция: "Комбинаторная литература, факториальные перестановки" также доступна.
Интегралы от иррациональных функций (27 шт)

Интегралы от тригонометрических функций (31 шт)
























