Для студентов МГТУ им. Н.Э.Баумана по предмету Интегралы и дифференциальные уравнения (ИиДУ)Определенный интегралОпределенный интеграл
5,00521
2014-05-192024-09-10СтудИзба
ДЗ 1: Определенный интеграл вариант 18
-62%
Описание
- Вычислить площадь фигфуры, которая расположена на плоскости Oxy.
- Фигура расположена в плоскости Oxy, вращается около координатной оси. Вычислить объем полученного тела вращения.
- Вычислить площадь фигуры.
- Вычислить длину дуги кривой.
- Вычислить площадь поверхности, полученной при вращении заданных линий вокруг заданной оси.
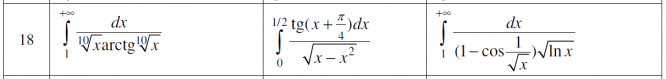
- Исследовать несобственные интегралы (а,б,в) на сходимость.
Характеристики домашнего задания
Учебное заведение
Семестр
Номер задания
Вариант
Просмотров
2695
Качество
Фото рукописных листов
Размер
15,92 Mb
Список файлов
Определенный интеграл.pdf

Вам все понравилось? Получите кэшбэк - 40 рублей на Ваш счёт при покупке. Поставьте оценку и напишите положительный комментарий к купленному файлу. После Вы получите деньги на ваш счет.