Ценообразование на мировом рынке
6. Ценообразование на мировом рынке
1. Интернациональная стоимость и мировая цена товара
2. Факторы, влияющие на мировые цены
3. Сущность ннэквивалетного обмена
4. Методы анализа цен при подготовке сделок
5. Виды цен товаров в контрактах
6. Порядок внутреннего ценообразования на импортную продукцию
7. Ценовая политика в международной торговле
1. Интернациональная стоимость и мировая цена товара
Рекомендуемые материалы
Экономические условия производства в каждом отдельном национальном хозяйстве различны. Несовпадение уровней технического оснащения хозяйства, квалификации трудящихся и природных условий приводит к существенным различиям в среднем уровне производительности труда, т.е. затраты труда при изготовлении единицы одинаковой продукции по странам различны, т.е. в одинаковое рабочее время создается различная величина стоимости и различное количество единиц продукции.
Затраты труда в каждой стране выступают как индивидуальные затраты, а закон стоимости требует приравнивания различных индивидуальных затрат к общественным, поэтому обмен товаров должен происходить на основе не национальных затрат, а среднемировых, т.е. в основе обмена лежит не национальная, а интернациональная стоимость.
Интернациональная стоимость - это общественно необходимые затраты труда на производство товара при среднемировых общественно-нормальных условиях производства и среднемировом уровне производительности труда.
Под мировой ценой понимается денежное выражение интернациональной стоимости реализуемого на мировом рынке товара.
Четыре признака мировой цены:
1. Если по этой цене осуществляются крупные несвязанные коммерческие сделки.
2. Платежи осуществляются в СКВ
3. Цены сделок, осуществляемых в важнейших центрах мировой торговли.
4. Экспортные цены основных производителей товара.
2. Факторы, влияющие на мировые цены
Динамика изменения мировых цен на нефтепродукты.

Факторы, влияющие на мировые цены:
1. Политическая обстановка
2. Циклические кризисы перепроизводства
3. Влияние спроса и предложения
4. Инфляционные процессы
5. Государственная политика в области внешней торговли
6. Потребительские свойства товара
7. Влияние НТП
> С одной стороны он увеличивает мировые цены (за счет цены НТП)
> Если трудоемкость снизилась, то мировые цены падают
8. В условиях конкуренции фирмы стараются сопровождать свои товары максимальным количеством услуг
Выводы.
1. В основе цены конкретного товара лежит диалектическое единство стоимости (затрат труда) и потребительской стоимости
2. Цена конкретного товара есть денежное выражение системы ценообразующих факторов, действующих в период установления цены.
3. Сущность неэквивалентного обмена
Две точки зрения:
I. Неэквивалентность обмена заключается в том, что развитые страны продолжают развиваться за счет неразвитых, т.е. богатые еще раз грабят бедных.
II. Вторая точка зрения заключается в том, что эквивалентности вообще не существует, т.е. бедные (неразвитые страны) продают по цене ниже своей себестоимости, а многие виды продукции слаборазвитые страны вообще не могут произвести (или невыгодно произвести).
Но дискриминация есть - создание картелей (ТНК - транснациональные корпорации):
1. Корпорации снижают цены, остальные уходят с рынка
2. Если корпорация покупает 70 % сырья, то она может снизить цены.
3. Кредит с условием - купим у нас по более высокой цене.
Но развивающиеся страны имеют возможность противостоять дискриминации:
1. Диверсификация производства
2. Расширение круга торговых партнеров
3. Использование в своих интересах конкуренции между развитыми странами.
4. Развивать сотрудничество между себе подобными.
4. Методы анализа цен при подготовке сделок
Для подготовки конкретной сделки коммерсанту необходимо владеть информацией как общего, так и конкретного характера. Круг вопросов

Наиболее ответственным моментом подготовки внешнеторговой сделки является анализ цен и определение уровня конкурентных цен.
Основные методы анализа цен

Пример официальных цен на лондонской бирже металлов (ЛБМ) - 1998 ЛБМ 16.09.98
| Металл | СПОТ | Форвард, 3 мес. | Фьючерс, 6 мес. | Цена урегулирования | |||
| покупка | продажа | покупка | продажа | покупка | продажа | ||
| Олово | 6660 | 6680 | 6815 | 6820 | 7000 | 7100 | 6680 |
|
|
Виды скидок:
1. Общие скидки (10-15 %)
2. Предметные
- Бонусная скидка - скидка за увеличивающееся количество покупаемого товара (до
10%)
- Дилерские скидки или (мировые правила) куртаж (вознаграждение посредника) - Сконто - за оплату наличными
- Сезонные скидки
Поправки к цене:
1. Поправки к условиям поставки (например, СIF или FOB)
2. По условиям платежа (наличный или товарный кредит)
3. По техническим характеристикам
При установлении цены на товар на основании найденных источников составляется конкурентный лист, в котором производится приведение полученных данных с учетом скидок и поправок к условиям нашего будущего предложения.
Желательно найти 4-5 сделок (у нас в примере 2 контракта США и Германия).
Под конкурентным листом ставится подпись менеджера ______
Менеджер ОВЭС
Конкурентный лист утверждает генеральный директор.
Утверждено генеральным директором Конкурентный лист (продажа сеялки)
| № п/п | Этапы приведения и содержание поправок | Исходные данные | Конкурентные материалы | |||
| Контракт США № | Контракт Германии № | |||||
| исходные данные | величина поправки | исходные данные | величина поправки | |||
| 1. | ||||||
| 1.1. | Цена в иностранной валюте | 400$ | 4280 € | |||
| 1.2 | 1000 руб. | 30 руб. | 35 руб. | |||
| 1.3 | 12000 | 15 000 | ||||
| 2. | Приведение по | |||||
| 2.1 | 2004 г. | 1998 г. | + 3200 руб. | 2002 г. | + 1000 руб. | |
| 2.2. | По базисным условиям | FOB | FOB | CIF-Хельсинки | - 2000 руб. | |
| 2.3. | По кредитным сделкам | наличными | наличными | Товарный кредит | - 1000 руб. | |
| 2.4. | Скидки по прочим условиям: а) на количество | 100 ед. товара | 1000 ед. | + 1500 руб. | 100 ед. Коммерческое предложение 18 мес. | |
| б) на уторговывание (общие) | (хотим) контракт | контракт | - 1000 руб. | |||
| в) на технические гаран- | 12 мес. | 12 мес. | - 50 руб. | |||
| 2.5 | + 4700 руб. | - 3050_руб. | ||||
| 2.6. | Цена приведенная по | 16700 руб. | 11950 руб. | |||
| 3. | Приведение по техниче- | захват 5 м | захват 3 м | - 4200 руб. | захват 5 м | |
| 4 | 12500 руб. | 11950 руб. | ||||
| 5. | Средняя цена | 12225 руб. |
Пример уторговывания
На международной выставке-продаже фирма Caterpillar продавала трактор с прицепом. Вторая фирма "X" - аналогичный трактор.
| ' | Caterpillar | Фирма "X" |
| Цена | 24 000$ | 20 000$ |
| За функции | 20 000$ | |
| За долговечность | 3 000$ | |
| За повышенную надежность | 2 000$ | |
| За повышенный тех. сервис | 2 000$ | |
| За повышенный срок службы комплектующих изделий | 1 000$ | |
| Итого: | 28 000$ | |
| Общая скидка | 4 000$ | |
| Итого: | 24 000$ |
Покупатель выбирает, естественно, трактор Caterpillar с массой преимуществ и большой скидкой.
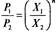
Зависимость удельной цены от количественных характеристик

Формула Верим
Описывает установление цены в зависимости от размеров или единиц мощности.

где P1 и Р2 - цены сравниваемых изделий,
X1 и Х2 - значения основного параметра сравниваемых изделий,
n - коэффициент торможения, указывает зависимость изменения цены от основного параметра.
Значение коэффициента торможения для различных видов товаров приводится в специальной литературе. Например, для насосов n = 0,5, для тракторов n = 0,75, и т.п. (можно вывести самостоятельно).
Пример. Установление цены на цинковый концентрат.

где Х- определяемая мировая цена за одну тонну цинкового концентрата,
Цц - средняя цена за 1 тонну цинка на ЛБМ,
Пц - процентное содержание цинка в концентрате,
К - коэффициент, учитывающий потери цинка при переработке концентрата в цинк самой высшей чистоты (98 %),
Сп - стоимость переработки концентрата в чистый цинк.
Задача.
Пц = 69 %, Цк = 120 $/тонну, Цц = 250 $, К = 9 %, Сп = 60 $/тонну

=> Мы не берем! Так как цена предложения 120$
Факторы, влияющие на мировые цены:
1. Политическая обстановка
2. Циклические кризисы перепроизводства
3. Влияние спроса и предложения
4. Инфляционные процессы
5. Государственная политика в области внешней торговли
6. Потребительские свойства товара
7. Влияние НТП
> С одной стороны он увеличивает мировые цены (за счет цены НТП)
> Если трудоемкость снизилась, то мировые цены падают
8. В условиях конкуренции фирмы стараются сопровождать свои товары максимальным количеством услуг
Выводы
1. В основе цены конкретного товара лежит диалектическое единство стоимости (затрат труда) и потребительской стоимости
2. Цена конкретного товара есть денежное выражение системы ценообразующих факторов, действующих в период установления цены.
3. Сущность неэквивалентного обмена
Две точки зрения:
1. Неэквивалентность обмена заключается в том, что развитые страны продолжают развиваться за счет неразвитых, т.е. богатые еще раз грабят бедных.
2. Вторая точка зрения заключается в том, что эквивалентности вообще не существует, т.е. бедные (неразвитые страны) продают по цене ниже своей себестоимости, а многие виды продукции слаборазвитые страны вообще не могут произвести (или невыгодно произвести).
Но дискриминация есть - создание картелей (ТНК - транснациональные корпорации):
1. Корпорации снижают цены, остальные уходят с рынка
2. Если корпорация покупает 70 % сырья, то она может снизить цены.
3. Кредит с условием - купим у нас по более высокой цене.
Но развивающиеся страны имеют возможность противостоять дискриминации:
1. Диверсификация производства
2. Расширение круга торговых партнеров
3. Использование в своих интересах конкуренции между развитыми странами.
4. Развивать сотрудничество между себе подобными.
4. Методы анализа цен при подготовке сделок
Для подготовки конкретной сделки коммерсанту необходимо владеть информацией как общего, так и конкретного характера.
Круг вопросов

Наиболее ответственным моментом подготовки внешнеторговой сделки является анализ цен и определение уровня конкурентных цен.
Основные методы анализа цен

Пример официальных цен на лондонской бирже металлов (ЛБМ) - 1998 ЛБМ 16.09.98
| Металл | СПОТ | Форвард, 3 мес. | Фьючерс, 6 мес. | Цена урегулирования | |||
| покупка | продажа | покупка | продажа | покупка | продажа | ||
| Олово | 6660 | 6680 | 6815 | 6820 | 7000 | 7100 | 6680 |
|
|
Виды скидок:
1. Общие скидки (10-15 %)
2. Предметные
> Бонусная скидка - скидка за увеличивающееся количество покупаемого товара (до 10%)
~> Дилерские скидки или (мировые правила) куртаж (вознаграждение посредника)
> Сконто - за оплату наличными
> Сезонные скидки
Поправки к цене:
1. Поправки к условиям поставки (например, СIF или FOB)
2. По условиям платежа (наличный или товарный кредит)
3. По техническим характеристикам
При установлении цены на товар на основании найденных источников составляется конкурентный лист, в котором производится приведение полученных данных с учетом скидок и поправок к условиям нашего будущего предложения.
Желательно найти 4н-5 сделок (у нас в примере 2 контракта США и Германия).
Под конкурентным листом ставится подпись менеджера ______
Менеджер ОВЭС
Конкурентный лист утверждает генеральный директор.
Утверждено генеральным директором Конкурентный лист (продажа сеялки)
| № п/п | Этапы приведения и содержание поправок | Исходные данные | Конкурентные материалы | |||
| Контракт США № | Контракт Германии № | |||||
| исходные данные | величина поправки | исходные данные | величина поправки | |||
| I. | Коммерческие условия | |||||
| 1.1. | Цена в иностранной валюте | 400$ | 4280 € | |||
| 1.2. | Курс валюты | 1000 руб. | 30 руб. | 35 руб. | ||
| 1.3. | Цена в рублях | 12000 | 15 000 | |||
| 2. | Приведение по коммерческим условиям | |||||
| 2.1. | По срокам сделок | 2004 г. | 1998 г. | + 3200 руб. | 2002 г. | + 1000 руб. |
| 2.2. | По базисным условиям | FOB | FOB | CIF-Хельсинки | - 2000 руб. | |
| 2.3. | По кредитным сделкам | наличными | наличными | Товарный кредит | - 1000 руб. | |
| 2.4. | Скидки по прочим условиям: а) на количество | 100 ед. товара | 1000 ед. контракт 12 мес. | + 1500 руб. | 100 ед. Коммерческое предложение 18 мес. | |
| б) на уторговывание (общие) | (хотим) контракт 12 мес. | - 1000 руб. | ||||
| в) на технические гарантии | - 50 руб. | |||||
| 2.5. | Суммарная поправка | + 4700 руб. | - 3050 руб. | |||
| 2.6. | Цена приведенная по коммерческим условиям | 16700 руб. | 11950 руб. | |||
| 3. 4. | Приведение по техническим характеристикам | захват 5м | захват Зм | - 4200 руб. | захват 5 м | |
| Цена приведенная | 12500 руб. | 11950 руб. | ||||
| 5. | Средняя цена | 12225 руб. |
Пример уторговывания
На международной выставке-продаже фирма Caterpillar продавала трактор с прицепом. Вторая фирма "X" - аналогичный трактор.
| Caterpillar | Фирма "X" | |
| Цена | 24 000$ | 20 000$ |
| За функции | 20 000$ | |
| За долговечность | 3 000$ | |
| За повышенную надежность | 2 000$ | |
| За повышенный тех. сервис | 2 000$ | |
| За повышенный срок службы комплектующих изделий | 1000$ | |
| Итого: | 28 000$ | |
| Общая скидка | 4 000$ | |
| Итого: | 24 000$ | 20 000$ |
Покупатель выбирает, естественно, трактор Caterpillar с массой преимуществ и большой скидкой.
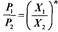
Зависимость удельной цены от количественных характеристик

Формула Берим
Описывает установление цены в зависимости от размеров или единиц мощности.

где P1 и P2 - цены сравниваемых изделий,
X1 и X2 - значения основного параметра сравниваемых изделий,
n - коэффициент торможения, указывает зависимость изменения цены от основного
параметра.
Значение коэффициента торможения для различных видов товаров приводится в специальной литературе. Например, для насосов n = 0,5, для тракторов n = 0,75, и т.п. (можно вывести самостоятельно).
Пример. Установление цены на цинковый концентрат.

где Х- определяемая мировая цена за одну тонну цинкового концентрата, Цц - средняя цена за 1 тонну цинка на ЛБМ, Пч - процентное содержание цинка в концентрате,
К - коэффициент, учитывающий потери цинка при переработке концентрата в цинк самой высшей чистоты (98 %), С„ - стоимость переработки концентрата в чистый цинк.
Задача.
Пц = 69 %, Цк = 120 $/тонну, Цц = 250 $, К = 9 %, Сп = 60 $/тонну
- 60 = 90$
=> Мы не берем! Так как цена предложения 120$
5. Виды цен товаров в контрактах
В контракте цена может быть зафиксирована в момент его заключения или определяться в течение срока его действия или к моменту исполнения контракта. Различают следующие виды цен:
1. Твердая цена устанавливается в момент подписания контракта и не подлежит изменению в течение срока его действия.
2. Подвижная цена - это зафиксированная цена при заключении контракта, которая может быть пересмотрена в дальнейшем, если рыночная цена данного товара изменится, при этом указывается источник контроля, (для металлов, например, ЛБМ).
3. Цена с последующей фиксацией - отличается от подвижной тем, что цена не устанавливается сразу, а определяется только в момент исполнения контракта.
4. Скользящая цена состоит из 2-х частей:
> Базовой, устанавливаемой на дату подписания контракта.
> Переменной части, определяемой на период изготовления товара

где С1 - окончательная цена,
С2 - базовая цена,
А - коэффициент торможения или неизменяемая доля в переменной части цены. (0,1- 0,2)
В, D - доли, которые занимают в цене отдельные составляющие (материалы, ЗП, энергетика и т.п.).
(B + D+...) = l
M1, M0 - индексы цен на материалы для изготовления продукции на период их закупки (M1) и установления базовой цены (М0).
Р1, Р0 - индексы ЗП на момент изготовления продукции (P1) и установления базовой цены (Ро) (подписание контракта).

6. Порядок внутреннего ценообразования
Структура цены на Российских предприятиях

Затраты импортера
5
Ст - таможенная стоимость товара, пересчитанная в рубли по официальному курсу на дату подачи таможенной декларации, включающая в себя, кроме контрактной цены, все валютные расходы импортера Ви до места ввоза товара на таможенную территорию России.
,
Коф - официальный курс,
Пт - таможенная пошлина, определяемая по ставке таможенного тарифа в процентах от таможенной стоимости.
Ак - сумма акциза, взимаемая с подакцизных товаров по ставкам акцизного сбора в процентах от таможенной стоимости.
,
А - ставка акцизов в процентах,
НДСт - налог на добавленную стоимость,
,
Н - ставка НДС в процентах,
Тсб - таможенный сбор, взимаемый в качестве оплаты за услуги таможенных органов.
,
Ди дополнительные расходы импортера, которые он несет в процессе доставки товара до своего пункта назначения.
НДСДи - налог на добавленную стоимость с дополнительных расходов.

Ци - цена на импортный товар,
Тнадб - торговая надбавка.
7. Ценовая политика в международной торговле
| М п/п | Метод установления | Применение |
| 1 | Стратегия снятия сливок | Пользующиеся спросом товары-новинки (сначала высокие цены -> затем их снижение) |
| 2 | Прорыв на рынок посредством низких цен | Товары с большим объемом производства и высокой эластичностью спроса Японский прием: 2 V -> 2/3 Со |
| 3 | Ориентация на средние рыночные цены | Слабомонополизированные товарные рынки |
| 4 | Ориентация на ценового лидера | Рынок, где доминируют несколько (3 - 5) фирм, одна из них признается ценовым лидером. |
| 5 | Ценовая дискриминация в зависимости: a) от покупателя b) от вариантов товаров c) от места продажи d) от времени продажи | искусство торговаться в зависимости от упаковки престижность сезонность |
| 6 | Политика психологического ценообразования | Метод воздействия на покупателя |
| 7 | Рекомендуем посмотреть лекцию "Формирование территориальных структур в дореволюционной России". Политика стимулирования комплексных задач (продаж) | Основному изделию придается много дополнительных устройств, качеств, принадлежностей на основное изделие -минимизированный метод. |
| 8 | Политика оптимального уровня цен (целевая политика по прибыли) | |
|
|
|

























