Для студентов ТГУ по предмету Высшая математикаВысшая математика 3Высшая математика 3
5,0053244
2025-10-092025-10-09СтудИзба
Ответы к заданиям: Высшая математика 3
Новинка
Описание
ТГУ Росдистант. Высшая математика 3. Промежуточные тесты. Итоговый тест.
Список вопросов
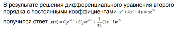
Общее решение дифференциального уравнения имеет вид ![]()

Область D на плоскости XOY ограничена линиями Тогда равен
![]()

Область D на плоскости XOY ограничена линиями y=2x; y=5x ; x=1. Плотность вещества на D – . Если yc есть y-координата центра масс области D, то 45yc равно
Квадратная область D в плоскости XOY ограничена прямыми x = 0, x = 1, y = 0, y = 1 и разделена прямыми x = 0.5, y = 0.5 на 4 квадратные части со сторонами Δx = 0.5, Δy = 0.5. Тогда интегральная сумма для функции f(x,y) на области D может иметь вид:
Общее решение дифференциального уравнения имеет вид ![]()

Общее решение дифференциального уравнения имеет вид ![]()

Общее решение дифференциального уравнения имеет вид ![]()

Общее решение дифференциального уравнения имеет вид ![]()

Общее решение дифференциального уравнения имеет вид ![]()

На области D интегральная сумма для функции f(x,y) может иметь вид
![]()

Общее решение дифференциального уравнения имеет вид ![]()

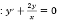
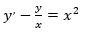
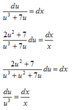
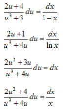
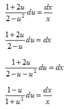
Решить дифференциальное уравнение ![]()

Решить дифференциальное уравнение ![]()

Общее решение дифференциального уравнения имеет вид ![]()

Общее решение дифференциального уравнения имеет вид ![]()

Решить дифференциальное уравнение ![]()

Решить дифференциальное уравнение ![]()

Решить дифференциальное уравнение ![]()

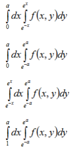
Область D на плоскости XOY ограничена линиями {y=e}^x, {y=e}^{-x}, x=1. Если S – площадь области D, то 6 S равно
![]()

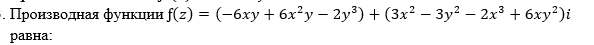
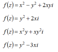
Производная функции ƒz=-6xy+6x2y-2y3+3x2-3y2-2x3+6xy2i равна:
![]()

Производная функции ƒz=x2-y2+2xyi равна:
![]()

Если функция ƒz=e-ycosx-x+e-ysinx-yi дифференцируема, то найдите производную.
![]()

Область D на плоскости XOY ограничена линиями y=0, y=Inleft(xright), x=1, x=e^2. Тогда iint_{D}{frac{3y}{x}dxdy} равен ![]()

Если D – круг r=2sinvarphi, то iint_{D} r dvarphi dr равен ![]()

Если D – часть круга r=3,0levarphilefrac{pi}{2} , то iint_{D}{(3sinvarphi-2cosvarphi)r^2dvarphi dr} равен ![]()

Если D – часть круга r=4,0levarphilefrac{pi}{2} , то iint_{D}{(sinvarphi-cosvarphi)dvarphi dr} равен
![]()

Тело ограничено сверху поверхностью z=3y/x. Боковая поверхность тела параллельна оси OZ. Основание тела – область D на плоскости XOY, которая ограничена линиями {y=0, y=Inleft(xright), x=1, x=e}^2.
Тогда объём тела равен
![]()
Тогда объём тела равен

Общее решение дифференциального уравнения имеет вид ![]()

Область D на плоскости XOY ограничена линиями y=tgleft(xright), y=0, x=pi/4. Плотность вещества на D –rho=sqrt2xcos(x)Если M – масса области D, то (M+pi/4) равно
![]()

Область D на плоскости XOY ограничена линиями y=arctgleft(xright), y=0, x=1. Плотность вещества на D –rho=frac{64}{pi^2(1+x^2)}Тогда масса области D равна
![]()

Область D на плоскости XOY ограничена линиями y=0, y=x^2, x=0, x=2. Тогда iint_{D}3xydxdy равен
![]()

Область D на плоскости XOY ограничена линиями . Плотность вещества на D –. Если xc есть x-координата центра масс области D, то равно
![]()

Тело ограничено сверху поверхностью . Боковая поверхность тела параллельна оси OZ. Основание тела – область D на плоскости XOY, которая ограничена линиями Тогда объём тела равен
![]()

Область D на плоскости XOY ограничена линиями .Плотность вещества на D – . Тогда масса области D равна
![]()

Если D – часть кольца , то равен
![]()

Область D на плоскости XOY ограничена линиями .Тогда, если то равно
![]()

Общий интеграл дифференциального уравнения имеет вид ![]()

Общее решение дифференциального уравнения имеет вид ![]()

Общее решение уравнения имеет вид ![]()

Общий интеграл дифференциального уравнения имеет вид ![]()

Общий интеграл дифференциального уравнения имеет вид ![]()

Общий интеграл дифференциального уравнения имеет вид ![]()

Общий интеграл дифференциального уравнения имеет вид ![]()

Общий интеграл дифференциального уравнения имеет вид ![]()

Общее решение дифференциального уравнения имеет вид ![]()

Общее решение дифференциального уравнения имеет вид ![]()

Общее решение дифференциального уравнения имеет вид ![]()

Общий интеграл дифференциального уравнения имеет вид ![]()

Общее решение дифференциального уравнения имеет вид ![]()

Общее решение дифференциального уравнения имеет вид ![]()

Общее решение дифференциального уравнения имеет вид ![]()

Общее решение дифференциального уравнения имеет вид ![]()

Общее решение дифференциального уравнения имеет вид
![]()

Общий интеграл дифференциального уравнения имеет вид
![]()

Общее решение дифференциального уравнения имеет вид ![]()

Решить дифференциальное уравнение ![]()

Общее решение дифференциального уравнения имеет вид ![]()

Решить дифференциальное уравнение ![]()

Общее решение дифференциального уравнения имеет вид ![]()

Общее решение дифференциального уравнения имеет вид ![]()

Общее решение дифференциального уравнения имеет вид ![]()

Общее решение дифференциального уравнения имеет вид ![]()

Общее решение дифференциального уравнения имеет вид ![]()

Общий интеграл дифференциального уравнения имеет вид: ![]()

Общее решение дифференциального уравнения имеет вид ![]()

Общее решение дифференциального уравнения имеет вид ![]()

Общий интеграл дифференциального уравнения имеет вид ![]()

Общий интеграл дифференциального уравнения имеет вид ![]()

Общее решение дифференциального уравнения имеет вид

Общее решение дифференциального уравнения имеет вид ![]()

Общий интеграл дифференциального уравнения имеет вид ![]()

Характеристики ответов (шпаргалок) к заданиям
Тип
Коллекция: Ответы (шпаргалки) к заданиям
Предмет
Учебное заведение
Просмотров
1
Качество
Идеальное компьютерное
Количество вопросов

Если нужен другой вариант работы или отдельная задача из любой работы, пишите в комментарии