☀️Практические задания 1-3 | Высшая математика ОСЭК | 100% правильно ☀️
Описание
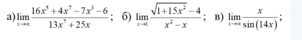
Найти указанные пределы:
а)lim x→∞ 16x5 + 4x7 - 7x3 - 6/ 13x7 +25x
б) lim x→ 1 √1+15x2 - 4/ x2-x
в) lim x→∞ x/sin (14x)

Найти производные первого порядка данных функций
a) y = 13/7x7 - 12x5 + x
б) y = ln (5x + cos x)
в) y = -8x2 + x - 4x5 / √x2 - 7

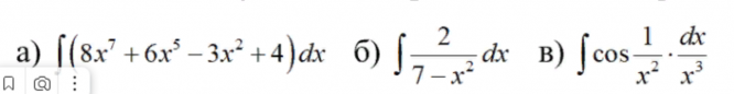
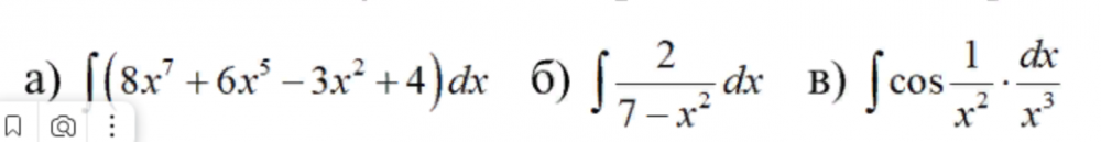
Вычислить следующие неопределенные интегралы
а) ∫ (8x7 + 6x5 - 3x2 + 4) dx
б) ∫ 2/7-x 2 dx
в) ∫ cos 1/x2 * dx/x3

Задание 1
Решите систему линейных уравнений методом Гаусса и методом Крамера
- x1 - 1x2 + 2x3 = -1
- x1 - 3x2 + x3 - 4x4 = -5
- 5x1 - 2x2 + 4x3 = -1
Решить систему линенйных уравнений
- x1 - 2x2 + 2x3 -x4 = 0
- x1 -3x2 + x3 - 4x4 = -5
- 2x1 - 5x2 + 3x3 - 5x4 = -5

Задание №1
1. В домашней библиотеке у Василия Петровича собрано 43 книги по научной фантастике. Он хочет взять с собой в отпуск 3 книги для чтения. Сколькими способами Василий Петрович может это сделать?
2. В кино отправились 9 друзей. Сколькими разными способами они могут встать в очередь на кассе?
3. Таблица, размером 99*99, раскрашена в шахматном порядке в белый и черный цвета. Верхняя левая клетка – черная. Сколькими способами можно указать в таблице два квадрата – белый и черный?
Задание №2
1. При игре в кости бросаются два игральных кубика и подсчитывается сумма выпавших очков. Найти вероятность событий: А – сумма равна 6; В – сумма больше 8.
2. Из имеющихся 16 телевизоров 11 готовы к продаже, а 5 требуют дополнительной регулировки. Найти вероятности событий: А – из случайно отобранных 4 телевизоров все хорошие, В – два хорошие и два нет, С – один хороший и три нет, D – хороших нет.
3. Туристическая группа состоит из 10 юношей и 6 девушек. По жребию (случайным образом) выбирают 3 дежурных. Найти вероятность того, что будут выбраны 1 девушка и 2 юноши.Показать/скрыть дополнительное описание
Задание 1 Найти указанные пределы: а)lim x→∞ 16x5 + 4x7 - 7x3 - 6/ 13x7 +25x б) lim x→ 1 √1+15x2 - 4/ x2-x в) lim x→∞ x/sin (14x) Задание 2: Найти производные первого порядка данных функций a) y = 13/7x7 - 12x5 + x б) y = ln (5x + cos x) в) y = -8x2 + x - 4x5 / √x2 - 7 Задание 3 Вычислить следующие неопределенные интегралы а) ∫ (8x7 + 6x5 - 3x2 + 4) dx б) ∫ 2/7-x 2 dx в) ∫ cos 1/x2 * dx/x3 Задание 1 Решите систему линейных уравнений методом Гаусса и методом Крамера x1 - 1x2 + 2x3 = -1 x1 - 3x2 + x3 - 4x4 = -5 5x1 - 2x2 + 4x3 = -1 Задание 2 Решить систему линенйных уравнений x1 - 2x2 + 2x3 -x4 = 0 x1 -3x2 + x3 - 4x4 = -5 2x1 - 5x2 + 3x3 - 5x4 = -5 Задание №1 1.
В домашней библиотеке у Василия Петровича собрано 43 книги по научной фантастике. Он хочет взять с собой в отпуск 3 книги для чтения. Сколькими способами Василий Петрович может это сделать? 2. В кино отправились 9 друзей. Сколькими разными способами они могут встать в очередь на кассе? 3. Таблица, размером 99*99, раскрашена в шахматном порядке в белый и черный цвета. Верхняя левая клетка – черная. Сколькими способами можно указать в таблице два квадрата – белый и черный? Задание №2 1. При игре в кости бросаются два игральных кубика и подсчитывается сумма выпавших очков. Найти вероятность событий: А – сумма равна 6; В – сумма больше 8. 2. Из имеющихся 16 телевизоров 11 готовы к продаже, а 5 требуют дополнительной регулировки.
Найти вероятности событий: А – из случайно отобранных 4 телевизоров все хорошие, В – два хорошие и два нет, С – один хороший и три нет, D – хороших нет. 3. Туристическая группа состоит из 10 юношей и 6 девушек. По жребию (случайным образом) выбирают 3 дежурных. Найти вероятность того, что будут выбраны 1 девушка и 2 юноши..
Файлы условия, демо
Характеристики ответов (шпаргалок) к зачёту
Список файлов
