Для студентов МФПУ «Синергия» по предмету Высшая математикаВысшая математикаВысшая математика
5,005422
2025-03-152025-10-13СтудИзба
➗Высшая математика➕Тест на 100% 🟰Отлично!👍
Ответы к экзамену Темы 1-6: Высшая математика вариант Итоговый тест
-50%
Описание
🔝"Высшая математика" 🎲
✔️ 🎓Синергия🎓✔️ Дата:0️⃣3️⃣.2️⃣5️⃣/Семестр1️⃣
▶️ Мой профиль -ссылка на все работы и вопросы... 🔜
Текущие:
Тема 1. Алгебра матриц
Тема 2. Теория определителей
Тема 3. Системы линейных алгебраических уравнений
Тема 4. Основы векторной алгебры и ее применение в геометрии
Тема 5. Элементы аналитической геометрии на плоскости
Тема 6. Элементы аналитической геометрии в пространстве
✔️ Коллекция содержит:
- 129 ответов ( Пожалуйста сравните в "поиске вопросов" или "по алфавиту")
- Итоговый тест
- PDF файл /Идеальное компьютерное качество
✔️ В файле PDF пользуйтесь навигацией вопросов по странице Ctrl+F

- Базисным минором матрицы называется всякий отличный от нуля минор, порядок которого равен … матрицы
- Вектор a{−4, 8, −9} имеет длину, равную …
- Векторное произведение векторов a {1;2;3} b {6;7;8} равно ...
- Векторное произведение векторов a{1, 2, 3} и b{4, 5, 6} равно …
- Всякий вектор на плоскости можно выразить в виде линейной комбинации любых двух … векторов
- Говоря о взаимном расположении прямых y1=7x-3 и y2=-1/7x+3 на плоскости, можно утверждать, что эти прямые ...
- Дан вектор a = {2, 3, 2}.
Найти вектор x, коллинеарный вектору a = {2, 3, 2} и удовлетворяющий условию (x, a) = 34. - Дана матрица A = ((1, 0, 1), (2, 3, 5), (0, 4, 8)). Найдем определитель матрицы:
|A| = 1 ⋅ 3 ⋅ 8 + 0 ⋅ 5 ⋅ 0 + 1 ⋅ 2 ⋅ 4 − 1⋅ 3 ⋅ 0 − 1 ⋅ 5 ⋅ 4 − 0 ⋅ 2 ⋅ 8 = 24 + 0 + 8 − 0 − 20 − 0 = 12.
Как был найден определитель матрицы? - Дана матрица A = ((1, 1, −2), (1, 1, 2), (1, 2, 1)). В результате операции транспонирования была получена матрица Aᵀ = ((1, 1, 1), (1, 1, 2), (−2, 2, 1)).
Каким образом была получена матрица Aᵀ? - Дана прямая 5x + 5y – 7 = 0. Какой угол образует с положительным направлением оси абсцисс данная прямая?
- Дана система уравнений {3x1-x2=1, 2x1+x2=5, x1-2x2=0, установите соответствие между характеристиками и их значениями:
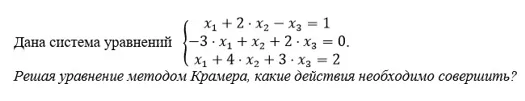
- Дана система уравнений {x₁ + 2 ⋅ x₂ − x₃ = 1, −3 ⋅ x₁ + x₂ + 2 ⋅ x₃ = 0, x₁ + 4 ⋅ x₂ + 3 ⋅ x₃ = 2.
Решая уравнение методом Крамера, какие действия необходимо совершить? - Два вектора образуют базис на плоскости тогда и только тогда, когда эти векторы …
- Две матрицы А и В называются … матрицами, если их размеры совпадают и их соответствующие элементы равны
- Дистрибутивность (*) умножения справа относительно сложения матриц выглядит так: …
- Для системы уравнений {3x₁ − x₂ = 1, 2x₁ + x₂ = 5, x₁ − 2x₂ = 0, установите соответствие между характеристиками и их значениями:
- Если вектор a {3; -4; 5} умножить на число 6 то сумма координат вектора 6а будет равна....
- Если какая-либо строка (столбец) матрицы состоит из одних нулей, то ее определитель равен …
- Если уравнение плоскости задано точкой A(−2, 2, 8) и нормалью n(1, 2, 3), то коэффициент при переменной y в данном уравнении равен …
- Если элементы двух строк (столбцов) матрицы …, то определитель равен нулю
- Каноническое уравнение прямой, проходящей через точки A(-3,2) и B(7,-8), имеет вид …
- Каноническое уравнение прямой, проходящей через точки A(2,3) и B(0,5), имеет вид …
- Квадратная матрица – это матрица, у которой …
- Координаты середины отрезка с концами в точках A(-3,-2,5) и A(5,2,1) равны …
- Координаты середины отрезка с концами в точках A(3,2,5) и В(5,2,7) равны …
- Косинус угла между прямыми y1=-2x+5 и y2=2x-2 равен …
- Линейная комбинация векторов a1, …, an называется ...комбинацией, если хотя бы один из коэффициентов λ₁, …, λn отличен от нуля.
- Математик Джеймс Сильвестр ввел термин «матрица» в …
- Матрица А называется …, если ее определитель отличен от нуля
- Матрица называется … матрицей, если в каждой ее ненулевой строке имеется такой ненулевой элемент, что все остальные элементы столбца, содержащего этот элемент, равны нулю
- Матрица порядка n имеет … миноров (n– 1)-го порядка
- Матрица, дважды транспонированная, равна …
- Минор элемента матрицы совпадает с алгебраическим дополнением в случае, когда …
- Определитель квадратной матрицы равен … произведений элементов любой строки (столбца) на их алгебраические дополнения
- Ордината точки пересечения прямых y₁=2x+1 и y₂=-2x-1 равна …
- Ордината точки пересечения прямых y1=2x+1 и y2=-2x+3 равна …
- Переход от матрицы А к новой матрице, в которой строки и столбцы поменялись местами с сохранением порядка, называется … матрицы А
- Плоскости в пространстве называются параллельными, если они ...
- Понятие определителя вводится для … матриц
- Произведением матриц A = ((2, −5), (−3, 6), (4, 7)) и B = ((−3, 4), (5, −9)) называется матрица C, равная …
- Произведением матриц A = ((2, −5), (−3, 6), (4, 7)) и B = ((−3, 4), (5, −9)) называется матрица C, равная …
- Прямая, проходящая через основания перпендикуляра и наклонной, называется …
- Пусть дан вектор а{-3,7,2} , тогда длина вектора -4а равна...
- Пусть дана матрица A = ((1, −1, 2), (3, 4, −5), (7, −9, −8)),
тогда определитель транспонированной матрицы равен … - Пусть дана матрица A = ((2, 3, −4), (5, −6, −7), (8, 9, 1)), тогда определитель матрицы равен …
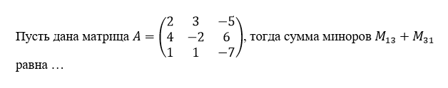
- Пусть дана матрица A = ((2, 3, −5), (4, −2, 6), (1, 1, −7)), тогда ее определитель равен …
- Пусть дана матрица A = ((2, 3, −5), (4, −2, 6), (1, 1, −7)), тогда определитель транспонированной матрицы равен …
- Пусть дана матрица A = ((2, 3, −5), (4, −2, 6), (1, 1, −7)), тогда сумма миноров M₁₃ + M₃₁ равна …
- Пусть дана матрица A = ((2, 3), (4, −5)), тогда ее определитель равен …
- Пусть дана матрица A = ((3, −2), (−1, 5)), тогда вторая степень матрицы A (A²) равна …
- Пусть дана система уравнений {2x₁ + 2x₂ + x₃ = −6, 3x₁ + 2x₂ − x₃ = −8, 4x₁ − x₂ − x₃ = −7, тогда ее решение равно,,,
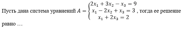
- Пусть дана система уравнений {2x₁ + 3x₂ − x₃ = 9, x₁ − 2x₂ + x₃ = 3, x₁ + 2x₃ = 2, тогда ее решение равно …
- Пусть дана система уравнений {3x + 2y − 4z = 8, 2x + 4y − 5z = 11, 4x − 3y + 2z = 1, тогда выражение x + y + z равно …
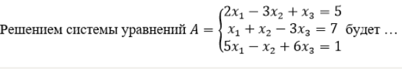
- Пусть дана система уравнений А={ 2x₁ − 3x₂ + x₃ = 5, x₁ + x₂ − 3x₃ = 7, 5x₁ − x₂ + 6x₃ = 1 ,тогда определитель lАl этой системы равен...
- Пусть дана система уравнений А={2x₁ − 3x₂ + x₃ = 5, x₁ + x₂ − 3x₃ = 7, 5x₁ −x₂ + 6x₃ = 1 тогда определитель
lА1l этой системы равен... - Пусть дана система уравнений A = {2x₁ − 3x₂ + x₃ = 5, x₁ + x₂ − 3x₃ = 7, 5x₁ − x₂ + 6x₃ = 1, тогда определитель |A₂| этой системы равен …
- Пусть дана система уравнений A = {2x₁ − 3x₂ + x₃ = 5, x₁ + x₂ − 3x₃ = 7, 5x₁ − x₂ + 6x₃ = 1, тогда определитель |A₃| этой системы равен …
- Пусть даны векторы a{1, 2, 3} и b{8, 9, 10}, тогда сумма координат вектора a + b равна …
- Пусть даны векторы a{2, 3, 4} и b{5, 6, 7}, тогда сумма координат вектора a + b равна …
- Пусть даны векторы a{3,4,5} и b{6,7,8}, тогда сумма координат вектора a+b равна ...
- Разность координат нормального вектора плоскости 2x-y+3z-2=0 равна …
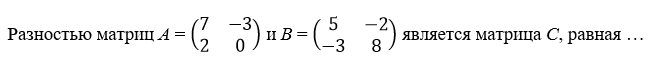
- Разностью матриц A = ((7, −3), (2, 0)) и B = ((5, −2), (−3, 8)) является матрица C, равная …
- Разностью матриц А и В называется … матрицы А с матрицей, противоположной матрице В
- Ранг матрицы при элементарных преобразованиях …
- Расположите в правильном порядке шаги решения системы уравнений методом Гаусса:
- Расположите выражения, известные для системы линейных уравнений {2x₁ + 3x₂ + 4x₃ + x₄ = 1, x₁ + 4x₂ + 3x₃ + 2x₄ = 3, 7x₁ + 5x₂ + 6x₃ + 7x₄ = 2, в порядке «основная матрица системы, расширенная матрица системы, матрица неизвестных, матрица правой части»:
- Расположите записи векторных операций в порядке «скалярное произведение векторов, векторное произведение векторов, смешанное произведение векторов»:
- Расположите значения миноров M₁₁, M₁₃, M₂₁, M₃₂ матрицы A = ((2, −7, 3), (4, 5, −2), (−8, 1, −3)) в порядке убывания:
- Расположите значения миноров М11, М22, М33, М23 матрицы
- Расположите обозначения взаимного расположения прямой l и плоскости α в порядке «прямая пересекает плоскость, прямая перпендикулярна плоскости, прямая параллельна плоскости»:
- Расположите прямые y₁, y₂ и y₃, заданные уравнениями, в порядке возрастания их угловых коэффициентов:
- Расположите прямые y₁, y₂ и y₃, заданные уравнениями, в порядке убывания их угловых коэффициентов:
- Расположите результаты умножения матрицы A = ((3, 4), (0, −7), (−2, 5)) на число α в порядке α = 2, α = −3, α = 5, α = −5:
- Расположите условия взаимного расположения в пространстве прямой, заданной уравнением (x − x₀) / l = (y − y₀) / m = (z − z₀) / n, и плоскости, заданной уравнением Ax + By + Cz + D = 0, в порядке «прямая параллельна плоскости, прямая перпендикулярная плоскости, прямая образует с плоскостью угол α»
- Расположите условия для векторов a{a₁, a₂, a₃} и b{b₁, b₂, b₃} в порядке «векторы коллинеарны, векторы перпендикулярны, векторы образуют острый угол»:
- Расстояние от точки A(1, −4) до прямой y = 4/3 x − 4 равно …
- Расстояние от точки A(1,5) до прямой 3x-4y-3=0 равно …
- Расстояние от точки A(2,4,1) до плоскости 2x-y+3z=2 равно …
- Расстояние от точки A(3,9,1) до плоскости 2x-y+3z=2 равно …
- Решением системы уравнений A ={2x₁ − 3x₂ + x₃ = 5, x₁ + x₂ − 3x₃ = 7, 5x₁ − x₂ + 6x₃ = 1 будет …
- Система линейных уравнений называется … системой линейных уравнений, если все свободные члены в этой системе равны нулю
- Система уравнений {x₁ − 2x₂ + 3x₃ = 0, −x₁ + 2x₂ + 4x₃ + 3x₄ = 0, −5x₂ + 2x₄ = 0 …
- Скалярное произведение векторов a {2, 5. 7} и b {-3, 4, -9} равно ...
- Скалярное произведение векторов a{2, 3, 4} и b{−1, −2, −3} равно …
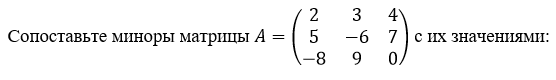
- Сопоставьте миноры матриц A = ((2, 3, 4), (5, −6, 7), (−8, 9, 0)) с их значениями:
- Сумма координат вектора a = 2i + 3j − k равна …
- Сумма координат вектора a = 8i − 4k равна …
- Сумма координат нормального вектора плоскости 2x-y+3z-2=0 равна …
- Сумма координат середины отрезка с концами в точках A(-3,-2,5) и A(5,2,1) равна …
- Сумма координат середины отрезка с концами в точках A(3,2,5) и В(5,2,7) равна …
- Сумма координат точки пересечения прямых y1=3x+2 и y2=-2x+3 равна …
- Сумма координат точки пересечения прямых y₁=3x+5 и y₂=-2x+1 равна …
- Сумма элементов второй строки матрицы, обратной к матрице A = ((2, 3, 1), (0, 1, 0), (3, 1, 1)), равна …
- Суммой матриц A = ((−2, 4, 5), (8, −10, 4)) и B = ((−5, 1, −2), (−4, 9, −3)) является матрица C, равная …
- Транспонированная матрица Aᵀ для матрицы A = ((2, −5), (−3, 6), (4, 7)) имеет вид: …
- Угол между прямыми x-3y+5=0 и 2x+4y-7=0 равен …
- Уравнение … является параметрическим уравнением прямой
- Уравнение … является уравнением прямой с угловым коэффициентом
- Уравнение плоскости, проходящей через точки A(-2,2,8), B(4,0,6) и C(2,0,6), имеет вид …
- Уравнение плоскости, проходящей через точки A(-2,2,8), B(4,5,6) и C(2,4,6), имеет вид …
- Уравнение прямой, проходящей через точки A(-2,-3) и B(-7,-5), имеет вид …
- Уравнение прямой, проходящей через точки A(2,3) и B(0,5), имеет вид …
- Установите соответствие между матрицей и ее видом:
- Установите соответствие между понятием и его определением:
- Установите соответствие между понятием и его определением:
- Установите соответствие между размерностью матрицы и формулой для вычисления ее определителя:
- Установите соответствие между свойствами сложения матриц А и В и их записями:
- Установите соответствие между способом задания плоскости в пространстве и ее уравнением:
- Установите соответствие между способом задания прямой на плоскости и уравнением прямой:
- Установите соответствие между способом задания прямой на плоскости и уравнением прямой:
- Установите соответствие понятия и его характеристики
- Число, которое вычисляется по формуле a₁₁ ⋅ a₂₂ − a₁₂ ⋅ a₂₁ для матрицы A = ((a₁₁, a₁₂), (a₂₁, a₂₂)), называется …
- Числовой матрицей размера m х n называется
- Числовой множитель можно … за знак транспонирования
Дана Система уравнений расстояние от точки разность координат уравнение плоскости пусть дана матрица сумма координат точки пересечения прямых говоря о взаимном расположении уравнение является параметрическим сумма элементов второй строки матрицы дан вектор дистрибутивность пусть дан вектор базисным минором вектор A векторное произведение векторов всякий вектор на плоскости дана прямая два вектора образуют базис если какая либо строка матрицы если элементы двух строк матрицы каноническое уравнение прямой квадратная матрица это косинус угла между прямыми.
Список вопросов
Сумма координат нормального вектора плоскости 2x-y+3z-2=0 равна …
Сумма элементов второй строки матрицы, обратной к матрице A = ((2, 3, 1), (0, 1, 0), (3, 1, 1)), равна … ![]()

Разность координат нормального вектора плоскости 2x-y+3z-2=0 равна …
Пусть дана матрица A = ((2, 3, −4), (5, −6, −7), (8, 9, 1)), тогда определитель матрицы равен …
![]()

Сумма координат точки пересечения прямых y1=3x+2 и y2=-2x+3 равна …
Расстояние от точки A(2,4,1) до плоскости 2x-y+3z=2 равно …
Дана система уравнений {x₁ + 2 ⋅ x₂ − x₃ = 1, −3 ⋅ x₁ + x₂ + 2 ⋅ x₃ = 0, x₁ + 4 ⋅ x₂ + 3 ⋅ x₃ = 2.
Решая уравнение методом Крамера, какие действия необходимо совершить?![]()
Решая уравнение методом Крамера, какие действия необходимо совершить?

Векторное произведение векторов a {1;2;3} b {6;7;8} равно ...
Решением системы уравнений A ={2x₁ − 3x₂ + x₃ = 5, x₁ + x₂ − 3x₃ = 7, 5x₁ − x₂ + 6x₃ = 1 будет …
![]()

Уравнение плоскости, проходящей через точки A(-2,2,8), B(4,5,6) и C(2,4,6), имеет вид …
Расстояние от точки A(3,9,1) до плоскости 2x-y+3z=2 равно …
Расположите прямые y₁, y₂ и y₃, заданные уравнениями, в порядке возрастания их угловых коэффициентов:
Пусть дана матрица A = ((1, −1, 2), (3, 4, −5), (7, −9, −8)),
тогда определитель транспонированной матрицы равен …
![]()
тогда определитель транспонированной матрицы равен …

Пусть дан вектор а{-3,7,2} , тогда длина вектора -4а равна... ![]()

Транспонированная матрица Aᵀ для матрицы A = ((2, −5), (−3, 6), (4, 7)) имеет вид: …
![]()

Расположите прямые y₁, y₂ и y₃, заданные уравнениями, в порядке убывания их угловых коэффициентов:
Уравнение … является параметрическим уравнением прямой
Пусть даны векторы a{3,4,5} и b{6,7,8}, тогда сумма координат вектора a+b равна ...
![]()

Пусть дана система уравнений {2x₁ + 3x₂ − x₃ = 9, x₁ − 2x₂ + x₃ = 3, x₁ + 2x₃ = 2, тогда ее решение равно … ![]()

Пусть дана система уравнений А={ 2x₁ − 3x₂ + x₃ = 5, x₁ + x₂ − 3x₃ = 7, 5x₁ − x₂ + 6x₃ = 1 ,тогда определитель lАl этой системы равен...
![]()

Установите соответствие между способом задания плоскости в пространстве и ее уравнением:D. A(x – x₀) + B(y – y₀) + C(z – z₀)
E. |(x – x₁, y – y₁, z – z₁), (x₂ – x₁, y₂ – y₁, z₂ – z₁), (m, n, p)| = 0
F. Ax + By +Cz + D = 0
E. |(x – x₁, y – y₁, z – z₁), (x₂ – x₁, y₂ – y₁, z₂ – z₁), (m, n, p)| = 0
F. Ax + By +Cz + D = 0
Матрица называется … матрицей, если в каждой ее ненулевой строке имеется такой ненулевой элемент, что все остальные элементы столбца, содержащего этот элемент, равны нулю
Говоря о взаимном расположении двух прямых y1=3x+5 и y2=-2x+1 на плоскости, можно утверждать, что эти прямые …
Уравнение прямой, проходящей через точки A(2,3) и B(0,5), имеет вид …
Разность координат нормального вектора плоскости 3x-2y+z-1=0 равна …
Дан вектор a = {2, 3, 2}.
Найти вектор x, коллинеарный вектору a = {2, 3, 2} и удовлетворяющий условию (x, a) = 34.![]()
Найти вектор x, коллинеарный вектору a = {2, 3, 2} и удовлетворяющий условию (x, a) = 34.

Медиана – это прямая, проходящая из вершины A к середине стороны BC. Нужно найти координаты точки середины стороны . Запишите уравнение прямой, проходящей через две заданные точки A и M.
Линейная комбинация векторов a1, …, an называется ...комбинацией, если хотя бы один из коэффициентов λ₁, …, λn отличен от нуля.
![]()

Сумма координат середины отрезка с концами в точках A(3,2,5) и В(5,2,7) равна …
Вектор a{−4, 8, −9} имеет длину, равную …

Сумма координат точки пересечения прямых y₁=3x+5 и y₂=-2x+1 равна …
Всякий вектор на плоскости можно выразить в виде линейной комбинации любых двух … векторов
Косинус угла между прямыми y1=-2x+5 и y2=2x-2 равен …
Сумма координат середины отрезка с концами в точках A(-3,-2,5) и A(5,2,1) равна …
Расположите значения миноров M₁₁, M₁₃, M₂₁, M₃₂ матрицы A = ((2, −7, 3), (4, 5, −2), (−8, 1, −3)) в порядке убывания: ![]()

Пусть дана система уравнений A = {2x₁ + 3x₂ − x₃ = 9, x₁ − 2x₂ + x₃ = 3, x₁ + 2x₃ = 2, тогда определитель |A₁| этой системы равен … ![]()

Если уравнение плоскости задано точкой A(−2, 2, 8) и нормалью n(1, 2, 3), то коэффициент при переменной z в данном уравнении равен … ![]()

Сумма координат вектора a = 8i − 4k равна …
Неверно, что произведение матриц А и В вводится только в том случае, когда …
Координаты середины отрезка с концами в точках A(-3,-2,5) и A(5,2,1) равны …
Разностью матриц A = ((7, −3), (2, 0)) и B = ((5, −2), (−3, 8)) является матрица C, равная …
![]()

Пусть дана матрица A = ((2, 3, −5), (4, −2, 6), (1, 1, −7)), тогда сумма миноров M₁₃ + M₃₁ равна … ![]()

Пусть дан вектор а{-3,7,2} , тогда длина вектора -2а равна...
Дистрибутивность (*) умножения справа относительно сложения матриц выглядит так: …
Пусть дана матрица A = ((3, −2), (−1, 5)), тогда вторая степень матрицы A (A²) равна …
![]()

Ордината точки пересечения прямых y1= 2x+1 и y2= -2x+3 равна …
Расположите обозначения взаимного расположения прямой l и плоскости α в порядке «прямая пересекает плоскость, прямая перпендикулярна плоскости, прямая параллельна плоскости»:
Установите соответствие между понятием и его определением:D. вектор, начало и конец которого совпадают
E. векторы, лежащие на одной прямой или на параллельных прямых
F. длина соответствующего отрезка
E. векторы, лежащие на одной прямой или на параллельных прямых
F. длина соответствующего отрезка
Скалярное произведение векторов a {2, 5. 7} и b {-3, 4, -9} равно ...
![]()

Сумма координат вектора a = 2i + 3j − k равна …
![]()

Матрица, дважды транспонированная, равна …
Расположите записи векторных операций в порядке «скалярное произведение векторов, векторное произведение векторов, смешанное произведение векторов»:
Расстояние от точки A(1, −4) до прямой y = 4/3 x − 4 равно …
![]()

Векторное произведение векторов a{1, 2, 3} и b{4, 5, 6} равно …
Математик Джеймс Сильвестр ввел термин «матрица» в …
Матрица порядка n имеет … миноров (n– 1)-го порядка
Расположите выражения, известные для системы линейных уравнений {2x₁ + 3x₂ + 4x₃ + x₄ = 1, x₁ + 4x₂ + 3x₃ + 2x₄ = 3, 7x₁ + 5x₂ + 6x₃ + 7x₄ = 2, в порядке «основная матрица системы, расширенная матрица системы, матрица неизвестных, матрица правой части»: ![]()

Два вектора образуют базис на плоскости тогда и только тогда, когда эти векторы …
Дана прямая 5x + 5y – 7 = 0. Какой угол образует с положительным направлением оси абсцисс данная прямая?
Неверно, что матрицы в паре … можно перемножить (укажите 2 варианта ответа)
Пусть дана система уравнений A = {2x₁ + 3x₂ − x₃ = 9, x₁ − 2x₂ + x₃ = 3, x₁ + 2x₃ = 2, тогда определитель |A| этой системы равен … ![]()

Вектор а {4;-8;11} имеет длину равную…
Пусть даны векторы a{1, 2, 3} и b{8, 9, 10}, тогда сумма координат вектора a + b равна … ![]()

Координаты середины отрезка с концами в точках A(3,2,5) и В(5,2,7) равны …
Две матрицы А и В называются … матрицами, если их размеры совпадают и их соответствующие элементы равны
Угол между прямыми x-3y+5=0 и 2x+4y-7=0 равен …
Если какая-либо строка (столбец) матрицы состоит из одних нулей, то ее определитель равен …
Минор элемента матрицы совпадает с алгебраическим дополнением в случае, когда …
Ранг матрицы при элементарных преобразованиях …
Если элементы двух строк (столбцов) матрицы …, то определитель равен нулю
Если вектор a {3; -4; 5} умножить на число 6 то сумма координат вектора 6а будет равна....
Матрица А называется …, если ее определитель отличен от нуля
Расположите значения миноров М11, М22, М33, М23 матрицы

Для системы уравнений {3x₁ − x₂ = 1, 2x₁ + x₂ = 5, x₁ − 2x₂ = 0, установите соответствие между характеристиками и их значениями:
D. 2
E. 3
F. 0

E. 3
F. 0
Уравнение прямой, проходящей через точки A(-2,-3) и B(-7,-5), имеет вид …
Пусть дана система уравнений A = {2x₁ − 3x₂ + x₃ = 5, x₁ + x₂ − 3x₃ = 7, 5x₁ − x₂ + 6x₃ = 1, тогда определитель |A₃| этой системы равен …
![]()

Базисным минором матрицы называется всякий отличный от нуля минор, порядок которого равен … матрицы
Расположите в правильном порядке шаги решения системы уравнений методом Гаусса:
Система линейных уравнений называется … системой линейных уравнений, если все свободные члены в этой системе равны нулю
Установите соответствие между способом задания прямой на плоскости и уравнением прямой:D. y = y₀ + k(x − x₀)
E. (x − x₁) / (x₂ − x₁) = (y − y₁) / (y₂ − y₁)
F. x / a + y / b = 1
E. (x − x₁) / (x₂ − x₁) = (y − y₁) / (y₂ − y₁)
F. x / a + y / b = 1
Уравнение плоскости, проходящей через точки A(-2,2,8), B(4,0,6) и C(2,0,6), имеет вид …
Сумма координат нормального вектора плоскости 3x-y+2z+1=0 равна …
Сопоставьте миноры матриц A = ((2, 3, 4), (5, −6, 7), (−8, 9, 0)) с их значениями:
D. 56
E. -36
F. -6

E. -36
F. -6
Вектор a{4, −8, 11} имеет длину, равную …
![]()

Числовой множитель можно … за знак транспонирования
Каноническое уравнение прямой, проходящей через точки A(-3,2) и B(7,-8), имеет вид …
![]()



Разностью матриц А и В называется … матрицы А с матрицей, противоположной матрице В
Прямая, проходящая через основания перпендикуляра и наклонной, называется …
Произведением матриц A = ((2, −5), (−3, 6), (4, 7)) и B = ((−3, 4), (5, −9)) называется матрица C, равная … ![]()

- ((−7452, 9355), (7484, −9323))
- ((1076, −1325), (−1060, 1341))
- ((−148, 195), (156, −187))
- ((24, −25), (−20, 29))
Произведением матриц A = ((2, −5), (−3, 6), (4, 7)) и B = ((−3, 4), (5, −9)) называется матрица C, равная …

Переход от матрицы А к новой матрице, в которой строки и столбцы поменялись местами с сохранением порядка, называется … матрицы А
Характеристики ответов (шпаргалок) к экзамену
Тип
Коллекция: Ответы (шпаргалки) к экзамену
Предмет
Учебное заведение
Номер задания
Вариант
Программы
Просмотров
556
Качество
Идеальное компьютерное
Количество вопросов

❓ Как копировать вопросы во время теста в Синергии?

Я был поражен тем, как важно предпринимать действия. Недостаточно просто знать, нужно использовать знания. Мало хотеть чего-то, нужно делать. - Леонардо Да Винчи
Комментарии

EVGEN YAMALSKIY: Тест МТИ сдал на отлично. Спасибо
Спасибо ! Сдать на отлично , всегда приятно ! 🔥👍

Отзыв
Тест МТИ сдал на отлично. Спасибо