Система уравнений {x₁ − 2x₂ + 3x₃ = 0, −x₁ + - Ответ на вопрос по Высшая математика №306678
-32%
Вопрос
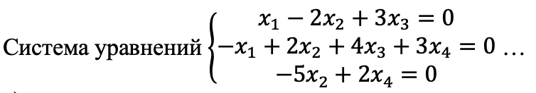
Система уравнений {x₁ − 2x₂ + 3x₃ = 0, −x₁ + 2x₂ + 4x₃ + 3x₄ = 0, −5x₂ + 2x₄ = 0 …
- имеет одно решение
- имеет бесконечно много решений
- не имеет решений
Ответ
Этот вопрос в коллекциях
-50%
Коллекция: ➗Высшая математика➕Тест на 💯 %🟰Отлично! 🔥
500 249 руб.

Я был поражен тем, как важно предпринимать действия. Недостаточно просто знать, нужно использовать знания. Мало хотеть чего-то, нужно делать. - Леонардо Да Винчи

















