Для студентов МФПУ «Синергия» по предмету Высшая математикаВысшая математика ( Темы 1-6 )Высшая математика ( Темы 1-6 )
5,00550
2026-01-01СтудИзба

➗Высшая математика➕Тест на 💯 %🟰Отлично! 🔥

Ответы к экзамену Темы 1-6: Высшая математика ( Темы 1-6 ) вариант Итоговый тест
-50%

Описание

🔝"Высшая математика" 🎲

Дата:0️⃣3️⃣.2️⃣5️⃣/Семестр1️⃣

▶️ Мой профиль -ссылка на все работы и вопросы...
​​​
Текущие:
Тема 1. Алгебра матриц
Тема 2. Теория определителей
Тема 3. Системы линейных алгебраических уравнений
Тема 4. Основы векторной алгебры и ее применение в геометрии
Тема 5. Элементы аналитической геометрии на плоскости
Тема 6. Элементы аналитической геометрии в пространстве

✔️ Коллекция содержит:✔️ Файл с вопросами сформируется автоматически после покупки коллекции.
✔️ В файле PDF пользуйтесь навигацией вопросов по странице Ctrl+F
✔️ Варианты вопросов:
  1. Базисным минором матрицы называется всякий отличный от нуля минор, порядок которого равен … матрицы
  2. Вектор a{−4, 8, −9} имеет длину, равную …
  3. Векторное произведение векторов a {1;2;3} b {6;7;8} равно ...
  4. Векторное произведение векторов a{1, 2, 3} и b{4, 5, 6} равно …
  5. Всякий вектор на плоскости можно выразить в виде линейной комбинации любых двух … векторов
  6. Говоря о взаимном расположении прямых y1=7x-3 и y2=-1/7x+3 на плоскости, можно утверждать, что эти прямые ...
  7. Дан вектор a = {2, 3, 2}.
    Найти вектор x, коллинеарный вектору a = {2, 3, 2} и удовлетворяющий условию (x, a) = 34.
  8. Дана матрица A = ((1, 0, 1), (2, 3, 5), (0, 4, 8)). Найдем определитель матрицы:
    |A| = 1 ⋅ 3 ⋅ 8 + 0 ⋅ 5 ⋅ 0 + 1 ⋅ 2 ⋅ 4 − 1⋅ 3 ⋅ 0 − 1 ⋅ 5 ⋅ 4 − 0 ⋅ 2 ⋅ 8 = 24 + 0 + 8 − 0 − 20 − 0 = 12.
    Как был найден определитель матрицы?
  9. Дана матрица A = ((1, 1, −2), (1, 1, 2), (1, 2, 1)). В результате операции транспонирования была получена матрица Aᵀ = ((1, 1, 1), (1, 1, 2), (−2, 2, 1)).
    Каким образом была получена матрица Aᵀ?
  10. Дана прямая 5x + 5y – 7 = 0. Какой угол образует с положительным направлением оси абсцисс данная прямая?
  11. Дана система уравнений {3x1-x2=1, 2x1+x2=5, x1-2x2=0, установите соответствие между характеристиками и их значениями:
  12. Дана система уравнений {x₁ + 2 ⋅ x₂ − x₃ = 1, −3 ⋅ x₁ + x₂ + 2 ⋅ x₃ = 0, x₁ + 4 ⋅ x₂ + 3 ⋅ x₃ = 2.
    Решая уравнение методом Крамера, какие действия необходимо совершить?
  13. Два вектора образуют базис на плоскости тогда и только тогда, когда эти векторы …
  14. Две матрицы А и В называются … матрицами, если их размеры совпадают и их соответствующие элементы равны
  15. Дистрибутивность (*) умножения справа относительно сложения матриц выглядит так: …
  16. Для системы уравнений {3x₁ − x₂ = 1, 2x₁ + x₂ = 5, x₁ − 2x₂ = 0, установите соответствие между характеристиками и их значениями:
  17. Если вектор a {3; -4; 5} умножить на число 6 то сумма координат вектора 6а будет равна....
  18. Если какая-либо строка (столбец) матрицы состоит из одних нулей, то ее определитель равен …
  19. Если уравнение плоскости задано точкой A(−2, 2, 8) и нормалью n(1, 2, 3), то коэффициент при переменной y в данном уравнении равен …
  20. Если элементы двух строк (столбцов) матрицы …, то определитель равен нулю
  21. Каноническое уравнение прямой, проходящей через точки A(-3,2) и B(7,-8), имеет вид …
  22. Каноническое уравнение прямой, проходящей через точки A(2,3) и B(0,5), имеет вид …
  23. Квадратная матрица – это матрица, у которой …
  24. Координаты середины отрезка с концами в точках A(-3,-2,5) и A(5,2,1) равны …
  25. Координаты середины отрезка с концами в точках A(3,2,5) и В(5,2,7) равны …
  26. Косинус угла между прямыми y1=-2x+5 и y2=2x-2 равен …
  27. Линейная комбинация векторов a1, …, an называется ...комбинацией, если хотя бы один из коэффициентов λ, …, λn отличен от нуля.
  28. Математик Джеймс Сильвестр ввел термин «матрица» в …
  29. Матрица А называется …, если ее определитель отличен от нуля
  30. Матрица называется … матрицей, если в каждой ее ненулевой строке имеется такой ненулевой элемент, что все остальные элементы столбца, содержащего этот элемент, равны нулю
  31. Матрица порядка n имеет … миноров (n– 1)-го порядка
  32. Матрица, дважды транспонированная, равна …
  33. Минор элемента матрицы совпадает с алгебраическим дополнением в случае, когда …
  34. Определитель квадратной матрицы равен … произведений элементов любой строки (столбца) на их алгебраические дополнения
  35. Ордината точки пересечения прямых y₁=2x+1 и y₂=-2x-1 равна …
  36. Ордината точки пересечения прямых y1=2x+1 и y2=-2x+3 равна …
  37. Переход от матрицы А к новой матрице, в которой строки и столбцы поменялись местами с сохранением порядка, называется … матрицы А
  38. Плоскости в пространстве называются параллельными, если они ...
  39. Понятие определителя вводится для … матриц
  40. Произведением матриц A = ((2, −5), (−3, 6), (4, 7)) и B = ((−3, 4), (5, −9)) называется матрица C, равная …
  41. Произведением матриц A = ((2, −5), (−3, 6), (4, 7)) и B = ((−3, 4), (5, −9)) называется матрица C, равная …
  42. Прямая, проходящая через основания перпендикуляра и наклонной, называется …
  43. Пусть дан вектор а{-3,7,2} , тогда длина вектора -4а равна...
  44. Пусть дана матрица A = ((1, −1, 2), (3, 4, −5), (7, −9, −8)),
    тогда определитель транспонированной матрицы равен …
  45. Пусть дана матрица A = ((2, 3, −4), (5, −6, −7), (8, 9, 1)), тогда определитель матрицы равен …
  46. Пусть дана матрица A = ((2, 3, −5), (4, −2, 6), (1, 1, −7)), тогда ее определитель равен …
  47. Пусть дана матрица A = ((2, 3, −5), (4, −2, 6), (1, 1, −7)), тогда определитель транспонированной матрицы равен …
  48. Пусть дана матрица A = ((2, 3, −5), (4, −2, 6), (1, 1, −7)), тогда сумма миноров M₁₃ + M₃₁ равна …
  49. Пусть дана матрица A = ((2, 3), (4, −5)), тогда ее определитель равен …
  50. Пусть дана матрица A = ((3, −2), (−1, 5)), тогда вторая степень матрицы A (A²) равна …
  51. Пусть дана система уравнений {2x₁ + 2x₂ + x₃ = −6, 3x₁ + 2x₂ − x₃ = −8, 4x₁ − x₂ − x₃ = −7, тогда ее решение равно,,,
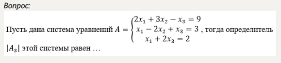
  52. Пусть дана система уравнений {2x₁ + 3x₂ − x₃ = 9, x₁ − 2x₂ + x₃ = 3, x₁ + 2x₃ = 2, тогда ее решение равно …
  53. Пусть дана система уравнений {3x + 2y − 4z = 8, 2x + 4y − 5z = 11, 4x − 3y + 2z = 1, тогда выражение x + y + z равно …
  54. Пусть дана система уравнений А={ 2x₁ − 3x₂ + x₃ = 5, x₁ + x₂ − 3x₃ = 7, 5x₁ − x₂ + 6x₃ = 1 ,тогда определитель lАl этой системы равен...
  55. Пусть дана система уравнений А={2x₁ − 3x₂ + x₃ = 5, x₁ + x₂ − 3x₃ = 7, 5x₁ −x₂ + 6x₃ = 1 тогда определитель
    1l этой системы равен...
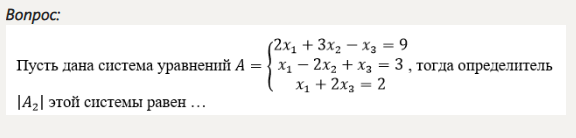
  56. Пусть дана система уравнений A = {2x₁ − 3x₂ + x₃ = 5, x₁ + x₂ − 3x₃ = 7, 5x₁ − x₂ + 6x₃ = 1, тогда определитель |A₂| этой системы равен …
  57. Пусть дана система уравнений A = {2x₁ − 3x₂ + x₃ = 5, x₁ + x₂ − 3x₃ = 7, 5x₁ − x₂ + 6x₃ = 1, тогда определитель |A₃| этой системы равен …
  58. Пусть даны векторы a{1, 2, 3} и b{8, 9, 10}, тогда сумма координат вектора a + b равна …
  59. Пусть даны векторы a{2, 3, 4} и b{5, 6, 7}, тогда сумма координат вектора a + b равна …
  60. Пусть даны векторы a{3,4,5} и b{6,7,8}, тогда сумма координат вектора a+b равна ...
  61. Разность координат нормального вектора плоскости 2x-y+3z-2=0 равна …
  62. Разностью матриц A = ((7, −3), (2, 0)) и B = ((5, −2), (−3, 8)) является матрица C, равная …
  63. Разностью матриц А и В называется … матрицы А с матрицей, противоположной матрице В
  64. Ранг матрицы при элементарных преобразованиях …
  65. Расположите в правильном порядке шаги решения системы уравнений методом Гаусса:
  66. Расположите выражения, известные для системы линейных уравнений {2x₁ + 3x₂ + 4x₃ + x₄ = 1, x₁ + 4x₂ + 3x₃ + 2x₄ = 3, 7x₁ + 5x₂ + 6x₃ + 7x₄ = 2, в порядке «основная матрица системы, расширенная матрица системы, матрица неизвестных, матрица правой части»:
  67. Расположите записи векторных операций в порядке «скалярное произведение векторов, векторное произведение векторов, смешанное произведение векторов»:
  68. Расположите значения миноров M₁₁, M₁₃, M₂₁, M₃₂ матрицы A = ((2, −7, 3), (4, 5, −2), (−8, 1, −3)) в порядке убывания:
  69. Расположите значения миноров М11, М22, М33, М23 матрицы
  70. Расположите обозначения взаимного расположения прямой l и плоскости α в порядке «прямая пересекает плоскость, прямая перпендикулярна плоскости, прямая параллельна плоскости»:
  71. Расположите прямые y₁, y₂ и y₃, заданные уравнениями, в порядке возрастания их угловых коэффициентов:
  72. Расположите прямые y₁, y₂ и y₃, заданные уравнениями, в порядке убывания их угловых коэффициентов:
  73. Расположите результаты умножения матрицы A = ((3, 4), (0, −7), (−2, 5)) на число α в порядке α = 2, α = −3, α = 5, α = −5:
  74. Расположите условия взаимного расположения в пространстве прямой, заданной уравнением (x − x₀) / l = (y − y₀) / m = (z − z₀) / n, и плоскости, заданной уравнением Ax + By + Cz + D = 0, в порядке «прямая параллельна плоскости, прямая перпендикулярная плоскости, прямая образует с плоскостью угол α»
  75. Расположите условия для векторов a{a₁, a₂, a₃} и b{b₁, b₂, b₃} в порядке «векторы коллинеарны, векторы перпендикулярны, векторы образуют острый угол»:
  76. Расстояние от точки A(1, −4) до прямой y = 4/3 x − 4 равно …
  77. Расстояние от точки A(1,5) до прямой 3x-4y-3=0 равно …
  78. Расстояние от точки A(2,4,1) до плоскости 2x-y+3z=2 равно …
  79. Расстояние от точки A(3,9,1) до плоскости 2x-y+3z=2 равно …
  80. Решением системы уравнений A ={2x₁ − 3x₂ + x₃ = 5, x₁ + x₂ − 3x₃ = 7, 5x₁ − x₂ + 6x₃ = 1 будет …
  81. Система линейных уравнений называется … системой линейных уравнений, если все свободные члены в этой системе равны нулю
  82. Система уравнений {x₁ − 2x₂ + 3x₃ = 0, −x₁ + 2x₂ + 4x₃ + 3x₄ = 0, −5x₂ + 2x₄ = 0 …
  83. Скалярное произведение векторов a {2, 5. 7} и b {-3, 4, -9} равно ...
  84. Скалярное произведение векторов a{2, 3, 4} и b{−1, −2, −3} равно …
  85. Сопоставьте миноры матриц A = ((2, 3, 4), (5, −6, 7), (−8, 9, 0)) с их значениями:
  86. Сумма координат вектора a = 2i + 3j − k равна …
  87. Сумма координат вектора a = 8i − 4k равна …
  88. Сумма координат нормального вектора плоскости 2x-y+3z-2=0 равна …
  89. Сумма координат середины отрезка с концами в точках A(-3,-2,5) и A(5,2,1) равна …
  90. Сумма координат середины отрезка с концами в точках A(3,2,5) и В(5,2,7) равна …
  91. Сумма координат точки пересечения прямых y1=3x+2 и y2=-2x+3 равна …
  92. Сумма координат точки пересечения прямых y₁=3x+5 и y₂=-2x+1 равна …
  93. Сумма элементов второй строки матрицы, обратной к матрице A = ((2, 3, 1), (0, 1, 0), (3, 1, 1)), равна …
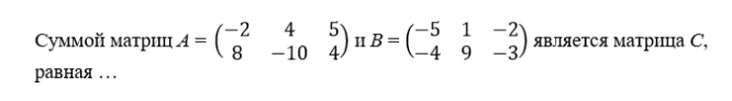
  94. Суммой матриц A = ((−2, 4, 5), (8, −10, 4)) и B = ((−5, 1, −2), (−4, 9, −3)) является матрица C, равная …
  95. Транспонированная матрица Aᵀ для матрицы A = ((2, −5), (−3, 6), (4, 7)) имеет вид: …
  96. Угол между прямыми x-3y+5=0 и 2x+4y-7=0 равен …
  97. Уравнение … является параметрическим уравнением прямой
  98. Уравнение … является уравнением прямой с угловым коэффициентом
  99. Уравнение плоскости, проходящей через точки A(-2,2,8), B(4,0,6) и C(2,0,6), имеет вид …
  100. Уравнение плоскости, проходящей через точки A(-2,2,8), B(4,5,6) и C(2,4,6), имеет вид …
  101. Уравнение прямой, проходящей через точки A(-2,-3) и B(-7,-5), имеет вид …
  102. Уравнение прямой, проходящей через точки A(2,3) и B(0,5), имеет вид …
  103. Установите соответствие между матрицей и ее видом:
  104. Установите соответствие между понятием и его определением:
  105. Установите соответствие между понятием и его определением:
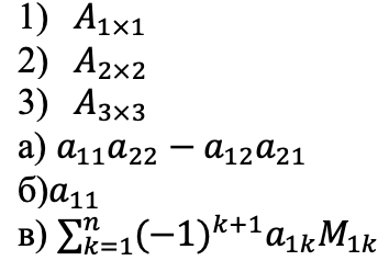
  106. Установите соответствие между размерностью матрицы и формулой для вычисления ее определителя:
  107. Установите соответствие между свойствами сложения матриц А и В и их записями:
  108. Установите соответствие между способом задания плоскости в пространстве и ее уравнением:
  109. Установите соответствие между способом задания прямой на плоскости и уравнением прямой:
  110. Установите соответствие между способом задания прямой на плоскости и уравнением прямой:
  111. Установите соответствие понятия и его характеристики
  112. Число, которое вычисляется по формуле a₁₁ ⋅ a₂₂ − a₁₂ ⋅ a₂₁ для матрицы A = ((a₁₁, a₁₂), (a₂₁, a₂₂)), называется …
  113. Числовой матрицей размера m х n называется
  114. Числовой множитель можно … за знак транспонирования
Показать/скрыть дополнительное описание

 Дана Система уравнений расстояние от точки разность координат уравнение плоскости пусть дана матрица сумма координат точки пересечения прямых говоря о взаимном расположении уравнение является параметрическим сумма элементов второй строки матрицы  дан вектор дистрибутивность пусть дан вектор  базисным минором вектор A векторное произведение векторов всякий вектор на плоскости дана прямая два вектора образуют базис если какая либо строка матрицы если элементы двух строк матрицы  каноническое уравнение прямой квадратная матрица это косинус угла между прямыми.

Список вопросов

Разность координат нормального вектора плоскости 2x-y+3z-2=0 равна …
Говоря о взаимном расположении прямых y1=7x-3 и y2=-1/7x+3 на плоскости, можно утверждать, что эти прямые ...
Сумма координат нормального вектора плоскости 2x-y+3z-2=0 равна …
Сумма координат точки пересечения прямых y1=3x+2 и y2=-2x+3 равна …
Сумма элементов второй строки матрицы, обратной к матрице A = ((2, 3, 1), (0, 1, 0), (3, 1, 1)), равна …
Дана система уравнений {x₁ + 2 ⋅ x₂ − x₃ = 1, −3 ⋅ x₁ + x₂ + 2 ⋅ x₃ = 0, x₁ + 4 ⋅ x₂ + 3 ⋅ x₃ = 2.
Решая уравнение методом Крамера, какие действия необходимо совершить?
Матрица называется … матрицей, если в каждой ее ненулевой строке имеется такой ненулевой элемент, что все остальные элементы столбца, содержащего этот элемент, равны нулю
Пусть дан вектор а{-3,7,2} , тогда длина вектора -4а равна...
Расстояние от точки A(2,4,1) до плоскости 2x-y+3z=2 равно …
Пусть дана матрица A = ((1, −1, 2), (3, 4, −5), (7, −9, −8)),
тогда определитель транспонированной матрицы равен …
Пусть дана матрица A = ((2, 3, −4), (5, −6, −7), (8, 9, 1)), тогда определитель матрицы равен …
Разность координат нормального вектора плоскости 3x-2y+z-1=0 равна …
Дан вектор a = {2, 3, 2}.
Найти вектор x, коллинеарный вектору a = {2, 3, 2} и удовлетворяющий условию (x, a) = 34.
Пусть дана система уравнений А={ 2x₁ − 3x₂ + x₃ = 5, x₁ + x₂ − 3x₃ = 7, 5x₁ − x₂ + 6x₃ = 1 ,тогда определитель lАl этой системы равен...
Вектор a{−4, 8, −9} имеет длину, равную …
Уравнение прямой, проходящей через точки A(2,3) и B(0,5), имеет вид …

Всякий вектор на плоскости можно выразить в виде линейной комбинации любых двух … векторов
Решением системы уравнений A ={2x₁ − 3x₂ + x₃ = 5, x₁ + x₂ − 3x₃ = 7, 5x₁ − x₂ + 6x₃ = 1 будет …
Пусть дана система уравнений {2x₁ + 3x₂ − x₃ = 9, x₁ − 2x₂ + x₃ = 3, x₁ + 2x₃ = 2, тогда ее решение равно …
Линейная комбинация векторов a1, …, an называется ...комбинацией, если хотя бы один из коэффициентов λ, …, λn отличен от нуля.

Уравнение … является параметрическим уравнением прямой

Косинус угла между прямыми y1=-2x+5 и y2=2x-2 равен …
Если уравнение плоскости задано точкой A(−2, 2, 8) и нормалью n(1, 2, 3), то коэффициент при переменной z в данном уравнении равен …
Пусть дана система уравнений A = {2x₁ + 3x₂ − x₃ = 9, x₁ − 2x₂ + x₃ = 3, x₁ + 2x₃ = 2, тогда определитель |A₁| этой системы равен …
Сумма координат вектора a = 8i − 4k равна …
Медиана – это прямая, проходящая из вершины A к середине стороны BC. Нужно найти координаты точки середины стороны . Запишите уравнение прямой, проходящей через две заданные точки A и M.
Пусть дан вектор а{-3,7,2} , тогда длина вектора -2а равна...
Пусть дана система уравнений A = {2x₁ + 3x₂ − x₃ = 9, x₁ − 2x₂ + x₃ = 3, x₁ + 2x₃ = 2, тогда определитель |A| этой системы равен …
Два вектора образуют базис на плоскости тогда и только тогда, когда эти векторы …
Расположите выражения, известные для системы линейных уравнений {2x₁ + 3x₂ + 4x₃ + x₄ = 1, x₁ + 4x₂ + 3x₃ + 2x₄ = 3, 7x₁ + 5x₂ + 6x₃ + 7x₄ = 2, в порядке «основная матрица системы, расширенная матрица системы, матрица неизвестных, матрица правой части»:
Пусть дана матрица A = ((2, 3, −5), (4, −2, 6), (1, 1, −7)), тогда сумма миноров M₁₃ + M₃₁ равна …
Векторное произведение векторов a{1, 2, 3} и b{4, 5, 6} равно …
Пусть дана система уравнений А={2x₁ − 3x₂ + x₃ = 5, x₁ + x₂ − 3x₃ = 7, 5x₁ −x₂ + 6x₃ = 1 тогда определитель
1l этой системы равен...
Пусть даны векторы a{1, 2, 3} и b{8, 9, 10}, тогда сумма координат вектора a + b равна …
Угол между прямыми x-3y+5=0 и 2x+4y-7=0 равен …
Пусть дана система уравнений A = {2x₁ + 3x₂ − x₃ = 9, x₁ − 2x₂ + x₃ = 3, x₁ + 2x₃ = 2, тогда определитель |A₂| этой системы равен …
Расстояние от точки A(1,5) до прямой 3x-4y-3=0 равно …
Пусть дана матрица A = ((2, 3, −5), (4, −2, 6), (1, 1, −7)), тогда ее определитель равен …
Ордината точки пересечения прямых y₁=2x+1 и y₂=-2x-1 равна …
Скалярное произведение векторов a{2, 3, 4} и b{−1, −2, −3} равно …
Пусть дана система уравнений {3x + 2y − 4z = 8, 2x + 4y − 5z = 11, 4x − 3y + 2z = 1, тогда выражение x + y + z равно …
Расстояние от точки A(3,9,1) до плоскости 2x-y+3z=2 равно …
Пусть даны векторы a{3,4,5} и b{6,7,8}, тогда сумма координат вектора a+b равна ...
Пусть дана система уравнений {2x₁ + 2x₂ + x₃ = −6, 3x₁ + 2x₂ − x₃ = −8, 4x₁ − x₂ − x₃ = −7, тогда ее решение равн
Сумма координат середины отрезка с концами в точках A(-3,-2,5) и A(5,2,1) равна …
Вектор a{4, −8, 11} имеет длину, равную …

Расположите значения миноров М11, М22, М33, М23 матрицы


Расположите прямые y₁, y₂ и y₃, заданные уравнениями, в порядке убывания их угловых коэффициентов:
Расстояние от точки A(1, −4) до прямой y = 4/3 x − 4 равно …
Транспонированная матрица Aᵀ для матрицы A = ((2, −5), (−3, 6), (4, 7)) имеет вид: …
Векторное произведение векторов a {1;2;3} b {6;7;8} равно ...
Координаты середины отрезка с концами в точках A(3,2,5) и В(5,2,7) равны …
Уравнение плоскости, проходящей через точки A(-2,2,8), B(4,5,6) и C(2,4,6), имеет вид …
Установите соответствие между способом задания прямой на плоскости и уравнением прямой:D. y = y₀ + k(x − x₀)
E. (x − x₁) / (x₂ − x₁) = (y − y₁) / (y₂ − y₁)
F. x / a + y / b = 1
Уравнение прямой, проходящей через точки A(-2,-3) и B(-7,-5), имеет вид …
Расположите прямые y₁, y₂ и y₃, заданные уравнениями, в порядке возрастания их угловых коэффициентов:
Сумма координат середины отрезка с концами в точках A(3,2,5) и В(5,2,7) равна …
Дистрибутивность (*) умножения справа относительно сложения матриц выглядит так: …
Сумма координат точки пересечения прямых y₁=3x+5 и y₂=-2x+1 равна …
Говоря о взаимном расположении двух прямых y1=3x+5 и y2=-2x+1 на плоскости, можно утверждать, что эти прямые …
Расположите значения миноров M₁₁, M₁₃, M₂₁, M₃₂ матрицы A = ((2, −7, 3), (4, 5, −2), (−8, 1, −3)) в порядке убывания:
Установите соответствие между способом задания плоскости в пространстве и ее уравнением:D. A(x – x₀) + B(y – y₀) + C(z – z₀)
E. |(x – x₁, y – y₁, z – z₁), (x₂ – x₁, y₂ – y₁, z₂ – z₁), (m, n, p)| = 0
F. Ax + By +Cz + D = 0
Пусть дана матрица A = ((3, −2), (−1, 5)), тогда вторая степень матрицы A (A²) равна …
Дана система уравнений {3x1-x2=1, 2x1+x2=5, x1-2x2=0, установите соответствие между характеристиками и их значениями:
D. 2
E. 3
F. 0
Ордината точки пересечения прямых y1= 2x+1 и y2= -2x+3 равна …
Неверно, что произведение матриц А и В вводится только в том случае, когда …
Вектор а {4;-8;11} имеет длину равную…
Неверно, что матрицы в паре … можно перемножить (укажите 2 варианта ответа)
Установите соответствие между способом задания прямой на плоскости и уравнением прямой:D. Ax + By + C = 0
E. A(x − x₀) + B(y − y₀) = 0
F. (x − x₀) / A = (y − y₀) / B
Дана прямая 5x + 5y – 7 = 0. Какой угол образует с положительным направлением оси абсцисс данная прямая?
Установите соответствие между размерностью матрицы и формулой для вычисления ее определителя:D. a₁₁
E. a₁₁a₂₂-a₁₂a₂₁
F. Σ (−1)ᵏ⁺¹a₁ₖM₁ₖ
Матрица порядка n имеет … миноров (n– 1)-го порядка
Математик Джеймс Сильвестр ввел термин «матрица» в …
Установите соответствие между свойствами сложения матриц А и В и их записями:E. А + А = В + А
F. (А + В) + С = А + (В + С)
G. А + 0 = 0 + А
H. А + (-а) = (-а) + А + 0
Расположите записи векторных операций в порядке «скалярное произведение векторов, векторное произведение векторов, смешанное произведение векторов»:

Матрица, дважды транспонированная, равна …
Сумма координат вектора a = 2i + 3j − k равна …
Скалярное произведение векторов a {2, 5. 7} и b {-3, 4, -9} равно ...
Разностью матриц A = ((7, −3), (2, 0)) и B = ((5, −2), (−3, 8)) является матрица C, равная …
Установите соответствие между понятием и его определением:D. вектор, начало и конец которого совпадают
E. векторы, лежащие на одной прямой или на параллельных прямых
F. длина соответствующего отрезка
Расположите обозначения взаимного расположения прямой l и плоскости α в порядке «прямая пересекает плоскость, прямая перпендикулярна плоскости, прямая параллельна плоскости»:
Если уравнение плоскости задано точкой A(−2, 2, 8) и нормалью n(1, 2, 3), то коэффициент при переменной y в данном уравнении равен …
Координаты середины отрезка с концами в точках A(-3,-2,5) и A(5,2,1) равны …
Две матрицы А и В называются … матрицами, если их размеры совпадают и их соответствующие элементы равны
Если какая-либо строка (столбец) матрицы состоит из одних нулей, то ее определитель равен …
Установите соответствие между способом задания плоскости в пространстве и ее уравнением:
Пусть дана система уравнений A = {2x₁ + 3x₂ − x₃ = 9, x₁ − 2x₂ + x₃ = 3, x₁ + 2x₃ = 2, тогда определитель |A₃| этой системы равен …
Плоскости в пространстве называются параллельными, если они ...
Установите соответствие между понятием и его определением:D. направленные отрезки
E. векторы, длина которых равна единице
F. векторы, лежащие в одной плоскости или в параллельных плоскостях
Расположите условия для векторов a{a₁, a₂, a₃} и b{b₁, b₂, b₃} в порядке «векторы коллинеарны, векторы перпендикулярны, векторы образуют острый угол»:
Установите соответствие понятия и его характеристикиD. система уравнений, имеющая хотя бы одно решение
E. система уравнений, не имеющая решений
F. совместная система уравнений, имеющая единственное решение
Число, которое вычисляется по формуле a₁₁ ⋅ a₂₂ − a₁₂ ⋅ a₂₁ для матрицы A = ((a₁₁, a₁₂), (a₂₁, a₂₂)), называется …
Пусть дана матрица A = ((2, 3, −5), (4, −2, 6), (1, 1, −7)), тогда определитель транспонированной матрицы равен …
Понятие определителя вводится для … матриц
Определитель квадратной матрицы равен … произведений элементов любой строки (столбца) на их алгебраические дополнения
Числовой матрицей размера m х n называется
Суммой матриц A = ((−2, 4, 5), (8, −10, 4)) и B = ((−5, 1, −2), (−4, 9, −3)) является матрица C, равная …
Расположите результаты умножения матрицы A = ((3, 4), (0, −7), (−2, 5)) на число α в порядке α = 2, α = −3, α = 5, α = −5:
Тип ответа: Сортировка:
Квадратная матрица – это матрица, у которой …
Расположите условия взаимного расположения в пространстве прямой, заданной уравнением (x − x₀) / l = (y − y₀) / m = (z − z₀) / n, и плоскости, заданной уравнением Ax + By + Cz + D = 0, в порядке «прямая параллельна плоскости, прямая перпендикулярная плоскости, прямая образует с плоскостью угол α»

Характеристики ответов (шпаргалок) к экзамену

Учебное заведение
Номер задания
Программы
Просмотров
617
Качество
Идеальное компьютерное
Количество вопросов
❓ Как копировать вопросы во время теста в Синергии?
Картинка-подпись
Я был поражен тем, как важно предпринимать действия. Недостаточно просто знать, нужно использовать знания. Мало хотеть чего-то, нужно делать. - Леонардо Да Винчи

Отзывы

Отзыв
Тест МТИ сдал на отлично. Спасибо
Спасибо ! Сдать на отлично , всегда приятно ! 🔥👍
Поделитесь ссылкой:
Базовая цена: 500 249 руб.
Помощь в прохождение теста Высшая математика Услуга за 499 руб.
Расширенная гарантия +3 недели гарантии, +10% цены
Несколько человек купили за последний месяц
Рейтинг покупателей
5 из 5
Поделитесь ссылкой:
Сопутствующие материалы

Подобрали для Вас услуги

-33%
Вы можете использовать полученные ответы для подготовки к экзамену в учебном заведении и других целях, не нарушающих законодательство РФ и устав Вашего учебного заведения.
Свежие статьи
Популярно сейчас
Почему делать на заказ в разы дороже, чем купить готовую учебную работу на СтудИзбе? Наши учебные работы продаются каждый год, тогда как большинство заказов выполняются с нуля. Найдите подходящий учебный материал на СтудИзбе!
Ответы на популярные вопросы
Да! Наши авторы собирают и выкладывают те работы, которые сдаются в Вашем учебном заведении ежегодно и уже проверены преподавателями.
Да! У нас любой человек может выложить любую учебную работу и зарабатывать на её продажах! Но каждый учебный материал публикуется только после тщательной проверки администрацией.
Вернём деньги! А если быть более точными, то автору даётся немного времени на исправление, а если не исправит или выйдет время, то вернём деньги в полном объёме!
Да! На равне с готовыми студенческими работами у нас продаются услуги. Цены на услуги видны сразу, то есть Вам нужно только указать параметры и сразу можно оплачивать.
Отзывы студентов
Ставлю 10/10
Все нравится, очень удобный сайт, помогает в учебе. Кроме этого, можно заработать самому, выставляя готовые учебные материалы на продажу здесь. Рейтинги и отзывы на преподавателей очень помогают сориентироваться в начале нового семестра. Спасибо за такую функцию. Ставлю максимальную оценку.
Лучшая платформа для успешной сдачи сессии
Познакомился со СтудИзбой благодаря своему другу, очень нравится интерфейс, количество доступных файлов, цена, в общем, все прекрасно. Даже сам продаю какие-то свои работы.
Студизба ван лав ❤
Очень офигенный сайт для студентов. Много полезных учебных материалов. Пользуюсь студизбой с октября 2021 года. Серьёзных нареканий нет. Хотелось бы, что бы ввели подписочную модель и сделали материалы дешевле 300 рублей в рамках подписки бесплатными.
Отличный сайт
Лично меня всё устраивает - и покупка, и продажа; и цены, и возможность предпросмотра куска файла, и обилие бесплатных файлов (в подборках по авторам, читай, ВУЗам и факультетам). Есть определённые баги, но всё решаемо, да и администраторы реагируют в течение суток.
Маленький отзыв о большом помощнике!
Студизба спасает в те моменты, когда сроки горят, а работ накопилось достаточно. Довольно удобный сайт с простой навигацией и огромным количеством материалов.
Студ. Изба как крупнейший сборник работ для студентов
Тут дофига бывает всего полезного. Печально, что бывают предметы по которым даже одного бесплатного решения нет, но это скорее вопрос к студентам. В остальном всё здорово.
Спасательный островок
Если уже не успеваешь разобраться или застрял на каком-то задание поможет тебе быстро и недорого решить твою проблему.
Всё и так отлично
Всё очень удобно. Особенно круто, что есть система бонусов и можно выводить остатки денег. Очень много качественных бесплатных файлов.
Отзыв о системе "Студизба"
Отличная платформа для распространения работ, востребованных студентами. Хорошо налаженная и качественная работа сайта, огромная база заданий и аудитория.
Отличный помощник
Отличный сайт с кучей полезных файлов, позволяющий найти много методичек / учебников / отзывов о вузах и преподователях.
Отлично помогает студентам в любой момент для решения трудных и незамедлительных задач
Хотелось бы больше конкретной информации о преподавателях. А так в принципе хороший сайт, всегда им пользуюсь и ни разу не было желания прекратить. Хороший сайт для помощи студентам, удобный и приятный интерфейс. Из недостатков можно выделить только отсутствия небольшого количества файлов.
Спасибо за шикарный сайт
Великолепный сайт на котором студент за не большие деньги может найти помощь с дз, проектами курсовыми, лабораторными, а также узнать отзывы на преподавателей и бесплатно скачать пособия.
Популярные преподаватели
Добавляйте материалы
и зарабатывайте!
Продажи идут автоматически
6936
Авторов
на СтудИзбе
265
Средний доход
с одного платного файла
Обучение Подробнее
{user_main_secret_data}