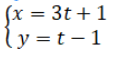
Ответ на вопрос №303329: Уравнение … является параметрическим уравнением прямой Уравнение … является параметрическим уравнением прямой - Ответ на вопрос №303329Уравнение … является параметрическим уравнением прямой - Ответ на вопрос №303329
2025-03-092025-03-09СтудИзба
Уравнение … является параметрическим уравнением прямой - Ответ на вопрос №303329
Вопрос
Уравнение … является параметрическим уравнением прямойОтвет
Этот вопрос в коллекциях
-50%

Я был поражен тем, как важно предпринимать действия. Недостаточно просто знать, нужно использовать знания. Мало хотеть чего-то, нужно делать. - Леонардо Да Винчи























