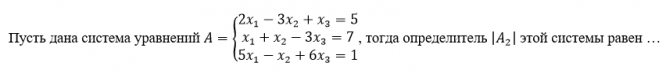
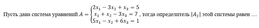
Ответ на вопрос №303118: Пусть дана система уравнений A = {2x₁ − 3x₂ + x₃ = 5, x₁ + x₂ − 3x₃ = 7, 5x₁ − x₂ + 6x₃ = 1, тогда определитель |A₂| этой системы равен … Пусть дана система уравнений A = {2x₁ − 3x₂ + x₃ = 5, x₁ + x₂ − 3x₃ - Ответ на вопрос №303118Пусть дана система уравнений A = {2x₁ − 3x₂ + x₃ = 5, x₁ + x₂ − 3x₃ - Ответ на вопрос №303118
2025-03-092025-03-09СтудИзба
Пусть дана система уравнений A = {2x₁ − 3x₂ + x₃ = 5, x₁ + x₂ − 3x₃ - Ответ на вопрос №303118
Вопрос
Пусть дана система уравнений A = {2x₁ − 3x₂ + x₃ = 5, x₁ + x₂ − 3x₃ = 7, 5x₁ − x₂ + 6x₃ = 1, тогда определитель |A₂| этой системы равен …
Ответ
Этот вопрос в коллекциях
-50%

Я был поражен тем, как важно предпринимать действия. Недостаточно просто знать, нужно использовать знания. Мало хотеть чего-то, нужно делать. - Леонардо Да Винчи