Для студентов СПбПУ Петра Великого по предмету Вычислительная математикаТема 15. Решение краевых задач для обыкновенных дифференциальных уравненийТема 15. Решение краевых задач для обыкновенных дифференциальных уравнений
5,0055
2022-11-142022-11-14СтудИзба
Ответы к заданиям: Тема 15. Решение краевых задач для обыкновенных дифференциальных уравнений
Описание
Пусть ищется решение уравнения на отрезке . Известно, что , , , . Тогда при все


Укажите различия между методами Галёркина и коллокации
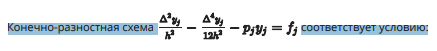
Конечно-разностная схема соответствует условию:


Характеристики ответов (шпаргалок) к заданиям
Предмет
Учебное заведение
Просмотров
23
Размер
677,07 Kb
Список файлов
Тест №15.pdf

Если нужен другой вариант работы или отдельная задача из любой работы, пишите в комментарии